Frequency and Mortality of Adult Meningitis, Pneumonia, or Bacteremia in Colombia from 2015 to 2022: A Retrospective Database Study in a Health Maintenance Organization.

IF 2.3 Q2 ECONOMICS
Journal of Health Economics and Outcomes Research Pub Date : 2025-09-17 eCollection Date: 2025-01-01 DOI:10.36469/001c.141461
Juan M Reyes Sánchez, Carlos Bello, Jhon Bolaños López, Jair Arciniegas, Farley J González, Manuela Duque, Jose M Oñate, Mónica García, Omar Escobar, Lidia Serra, Jennifer Onwumeh-Okwundu, Florence Lefebvre d'Hellencourt, Jorge La Rotta, Mark A Fletcher
{"title":"Frequency and Mortality of Adult Meningitis, Pneumonia, or Bacteremia in Colombia from 2015 to 2022: A Retrospective Database Study in a Health Maintenance Organization.","authors":"Juan M Reyes Sánchez, Carlos Bello, Jhon Bolaños López, Jair Arciniegas, Farley J González, Manuela Duque, Jose M Oñate, Mónica García, Omar Escobar, Lidia Serra, Jennifer Onwumeh-Okwundu, Florence Lefebvre d'Hellencourt, Jorge La Rotta, Mark A Fletcher","doi":"10.36469/001c.141461","DOIUrl":null,"url":null,"abstract":"<p><strong>Background: </strong>Meningitis, pneumonia, and bacteremia, prevalent community-acquired diseases that can lead to multi-organ failure, are influenced by age, comorbidities, and living conditions. Despite meningitis surveillance in Colombia, information on pneumonia and bacteremia remains limited. This study aims to determine frequency of these diseases among Colombian patients and estimate related healthcare resources.</p><p><strong>Objective: </strong>To measure the frequency and mortality of meningitis, pneumonia, and bacteremia in all diagnosed adult patients in Colombia from 2015 to 2022.</p><p><strong>Methods: </strong>This retrospective study analyzed adult (≥18 years) patients, from structured data collection (International Classification of Diseases, Tenth Revision) in a health maintenance organization (HMO). Diagnosis of a first meningitis, pneumonia, or bacteremia episode-unknown cause (bacterial etiology undetermined)-between 2015 and 2022 was reviewed. Index date was defined as when the diagnosis was registered. Frequency was calculated by dividing the number of cases by the number of members in the HMO system over the study period.</p><p><strong>Results: </strong>Among 112 205 patients, 96.0% had pneumonia, 6.2% bacteremia, and 0.4% meningitis, not mutually exclusive. Inpatient pneumonia incidence, which peaked in 2019 and dropped post-COVID pandemic, was 167 cases per 100 000 person-years in 2022. Incidence of meningitis, pneumonia, and bacteremia was higher in patients over 60 years. Common comorbidities were chronic obstructive pulmonary disease and cardiovascular disease. Bacteremia incidence decreased from 143 cases per 100 000 in 2015 to 69.6 in 2022. Meningitis incidence dropped from 5.3 to 2.2 cases per 100 000 in the COVID period. All-cause mortality rates were 12.0%, 33.5% and 13.8% for pneumonia, bacteremia, and meningitis, respectively.</p><p><strong>Discussion: </strong>This study is the first to use health electronic databases from an HMO to estimate the burden of these diseases in Colombian patients. Incidence was consistent with COVID-period patterns observed in other studies. Mortality rates were higher with bacteremia. Comorbidities like chronic pulmonary disease, cardiovascular disease, kidney diseases, and dementia were linked with increased incidence and mortality, emphasizing the need for targeted healthcare interventions and vaccination programs.</p><p><strong>Conclusion: </strong>Incidence and mortality, whether pneumonia (inpatient or outpatient), bacteremia, or meningitis with bacteremia, vary with age and comorbidities, while all-cause mortality was greater for bacteremia than pneumonia or meningitis.</p>","PeriodicalId":16012,"journal":{"name":"Journal of Health Economics and Outcomes Research","volume":"12 2","pages":"141461"},"PeriodicalIF":2.3000,"publicationDate":"2025-09-17","publicationTypes":"Journal Article","fieldsOfStudy":null,"isOpenAccess":false,"openAccessPdf":"https://www.ncbi.nlm.nih.gov/pmc/articles/PMC12448433/pdf/","citationCount":"0","resultStr":null,"platform":"Semanticscholar","paperid":null,"PeriodicalName":"Journal of Health Economics and Outcomes Research","FirstCategoryId":"1085","ListUrlMain":"https://doi.org/10.36469/001c.141461","RegionNum":0,"RegionCategory":null,"ArticlePicture":[],"TitleCN":null,"AbstractTextCN":null,"PMCID":null,"EPubDate":"2025/1/1 0:00:00","PubModel":"eCollection","JCR":"Q2","JCRName":"ECONOMICS","Score":null,"Total":0}
引用次数: 0

Abstract

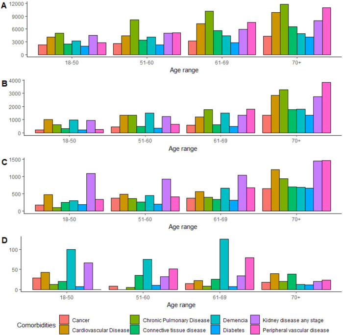
Background: Meningitis, pneumonia, and bacteremia, prevalent community-acquired diseases that can lead to multi-organ failure, are influenced by age, comorbidities, and living conditions. Despite meningitis surveillance in Colombia, information on pneumonia and bacteremia remains limited. This study aims to determine frequency of these diseases among Colombian patients and estimate related healthcare resources.

Objective: To measure the frequency and mortality of meningitis, pneumonia, and bacteremia in all diagnosed adult patients in Colombia from 2015 to 2022.

Methods: This retrospective study analyzed adult (≥18 years) patients, from structured data collection (International Classification of Diseases, Tenth Revision) in a health maintenance organization (HMO). Diagnosis of a first meningitis, pneumonia, or bacteremia episode-unknown cause (bacterial etiology undetermined)-between 2015 and 2022 was reviewed. Index date was defined as when the diagnosis was registered. Frequency was calculated by dividing the number of cases by the number of members in the HMO system over the study period.

Results: Among 112 205 patients, 96.0% had pneumonia, 6.2% bacteremia, and 0.4% meningitis, not mutually exclusive. Inpatient pneumonia incidence, which peaked in 2019 and dropped post-COVID pandemic, was 167 cases per 100 000 person-years in 2022. Incidence of meningitis, pneumonia, and bacteremia was higher in patients over 60 years. Common comorbidities were chronic obstructive pulmonary disease and cardiovascular disease. Bacteremia incidence decreased from 143 cases per 100 000 in 2015 to 69.6 in 2022. Meningitis incidence dropped from 5.3 to 2.2 cases per 100 000 in the COVID period. All-cause mortality rates were 12.0%, 33.5% and 13.8% for pneumonia, bacteremia, and meningitis, respectively.

Discussion: This study is the first to use health electronic databases from an HMO to estimate the burden of these diseases in Colombian patients. Incidence was consistent with COVID-period patterns observed in other studies. Mortality rates were higher with bacteremia. Comorbidities like chronic pulmonary disease, cardiovascular disease, kidney diseases, and dementia were linked with increased incidence and mortality, emphasizing the need for targeted healthcare interventions and vaccination programs.

Conclusion: Incidence and mortality, whether pneumonia (inpatient or outpatient), bacteremia, or meningitis with bacteremia, vary with age and comorbidities, while all-cause mortality was greater for bacteremia than pneumonia or meningitis.

Abstract Image

2015年至2022年哥伦比亚成人脑膜炎、肺炎或菌血症的发病率和死亡率:一个健康维护组织的回顾性数据库研究
背景:脑膜炎、肺炎和菌血症是常见的社区获得性疾病,可导致多器官衰竭,受年龄、合并症和生活条件的影响。尽管在哥伦比亚进行了脑膜炎监测,但关于肺炎和菌血症的信息仍然有限。本研究旨在确定哥伦比亚患者中这些疾病的频率,并估计相关的医疗资源。目的:测量2015 - 2022年哥伦比亚所有确诊成人患者脑膜炎、肺炎和菌血症的发病率和死亡率。方法:本回顾性研究分析了来自健康维护组织(HMO)结构化数据收集(国际疾病分类,第十版)的成人(≥18岁)患者。回顾了2015年至2022年间首次脑膜炎、肺炎或菌血症发作的诊断,原因不明(细菌病因未确定)。索引日期定义为登记诊断的时间。频率是通过在研究期间将病例数除以HMO系统成员数来计算的。结果:112 205例患者中,96.0%发生肺炎,6.2%发生菌血症,0.4%发生脑膜炎,两者并不相互排斥。住院肺炎发病率在2019年达到高峰,在covid大流行后下降,到2022年为每10万人年167例。60岁以上患者的脑膜炎、肺炎和菌血症发生率较高。常见的合并症是慢性阻塞性肺病和心血管疾病。菌血症发病率从2015年的每10万人143例下降到2022年的69.6例。在COVID期间,脑膜炎发病率从每10万人5.3例降至2.2例。肺炎、菌血症和脑膜炎的全因死亡率分别为12.0%、33.5%和13.8%。讨论:本研究首次使用来自卫生组织的卫生电子数据库来估计哥伦比亚患者的这些疾病负担。发病率与其他研究中观察到的covid - 19期间模式一致。菌血症的死亡率更高。慢性肺病、心血管疾病、肾脏疾病和痴呆等合并症与发病率和死亡率的增加有关,这强调了有针对性的医疗干预和疫苗接种计划的必要性。结论:肺炎(住院或门诊)、菌血症或脑膜炎合并菌血症的发病率和死亡率随年龄和合并症的不同而不同,而菌血症的全因死亡率高于肺炎或脑膜炎。
本文章由计算机程序翻译,如有差异,请以英文原文为准。
求助全文
约1分钟内获得全文 求助全文
来源期刊
CiteScore
3.00
自引率
0.00%
发文量
55
审稿时长
10 weeks
×
引用
GB/T 7714-2015
复制
MLA
复制
APA
复制
导出至
BibTeX EndNote RefMan NoteFirst NoteExpress
×
提示
您的信息不完整,为了账户安全,请先补充。
现在去补充
×
提示
您因"违规操作"
具体请查看互助需知
我知道了
×
提示
确定
请完成安全验证×
copy
已复制链接
快去分享给好友吧!
我知道了
右上角分享
点击右上角分享
0
联系我们:info@booksci.cn Book学术提供免费学术资源搜索服务,方便国内外学者检索中英文文献。致力于提供最便捷和优质的服务体验。 Copyright © 2023 布克学术 All rights reserved.
京ICP备2023020795号-1
ghs 京公网安备 11010802042870号
Book学术文献互助
Book学术文献互助群
群 号:604180095
Book学术官方微信