The effect of enalapril on cardiac mechanics in the pediatric heart network infant single-ventricle trial: Insights using noninvasive pressure-volume loop analysis.

IF 0.7 Q4 CARDIAC & CARDIOVASCULAR SYSTEMS
Annals of Pediatric Cardiology Pub Date : 2025-03-01 Epub Date: 2025-08-29 DOI:10.4103/apc.apc_67_25
Jacob R Strelow, Eric M Graham, Carolyn L Taylor, Andrew M Atz, Shahryar M Chowdhury
{"title":"The effect of enalapril on cardiac mechanics in the pediatric heart network infant single-ventricle trial: Insights using noninvasive pressure-volume loop analysis.","authors":"Jacob R Strelow, Eric M Graham, Carolyn L Taylor, Andrew M Atz, Shahryar M Chowdhury","doi":"10.4103/apc.apc_67_25","DOIUrl":null,"url":null,"abstract":"<p><p>Patients with single-ventricle physiology who received enalapril in the Pediatric Heart Network Infant Single-ventricle Trial displayed no differences in heart failure outcomes compared to those who received a placebo. The objective of this study was to use noninvasive pressure-volume loop analysis to assess for differences in cardiac mechanics between the enalapril and placebo groups. Core-lab echocardiogram measures prior to superior cavopulmonary connection (SCPC) and post-SCPC at 14 months of age were obtained. End-systolic elastance (Ees), a measure of contractility, and arterial elastance (Ea), a measure of afterload, were calculated. Ventriculo-arterial coupling was expressed as Ea/Ees. Data from 150 patients were analyzed. There was no difference in Ees, Ea, or Ea/Ees between study groups at either time point. The failure of enalapril to improve heart failure outcomes in this cohort may have some association with its failure to improve cardiac mechanics in single-ventricle physiology.</p>","PeriodicalId":8026,"journal":{"name":"Annals of Pediatric Cardiology","volume":"18 2","pages":"142-144"},"PeriodicalIF":0.7000,"publicationDate":"2025-03-01","publicationTypes":"Journal Article","fieldsOfStudy":null,"isOpenAccess":false,"openAccessPdf":"https://www.ncbi.nlm.nih.gov/pmc/articles/PMC12443404/pdf/","citationCount":"0","resultStr":null,"platform":"Semanticscholar","paperid":null,"PeriodicalName":"Annals of Pediatric Cardiology","FirstCategoryId":"1085","ListUrlMain":"https://doi.org/10.4103/apc.apc_67_25","RegionNum":0,"RegionCategory":null,"ArticlePicture":[],"TitleCN":null,"AbstractTextCN":null,"PMCID":null,"EPubDate":"2025/8/29 0:00:00","PubModel":"Epub","JCR":"Q4","JCRName":"CARDIAC & CARDIOVASCULAR SYSTEMS","Score":null,"Total":0}
引用次数: 0

Abstract

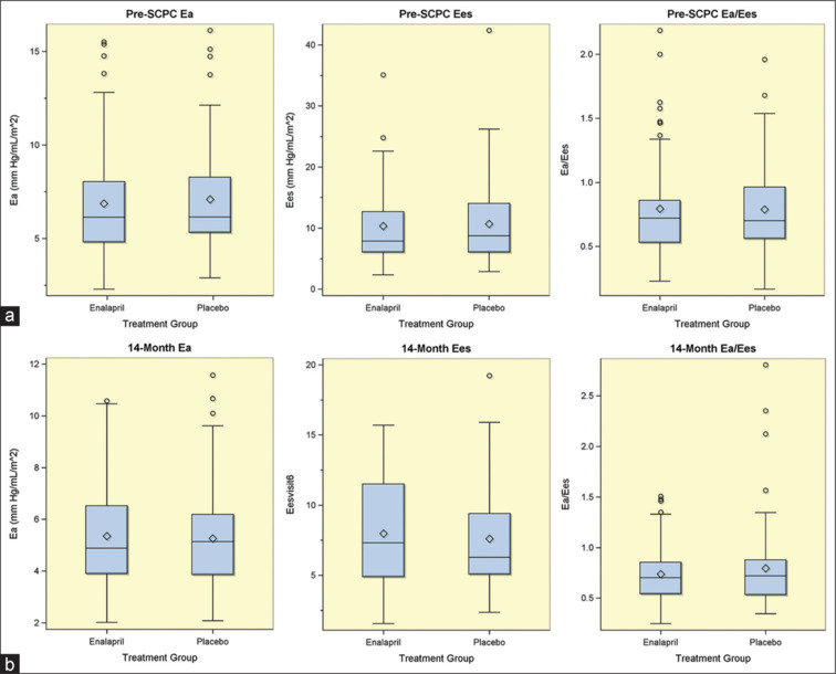
Patients with single-ventricle physiology who received enalapril in the Pediatric Heart Network Infant Single-ventricle Trial displayed no differences in heart failure outcomes compared to those who received a placebo. The objective of this study was to use noninvasive pressure-volume loop analysis to assess for differences in cardiac mechanics between the enalapril and placebo groups. Core-lab echocardiogram measures prior to superior cavopulmonary connection (SCPC) and post-SCPC at 14 months of age were obtained. End-systolic elastance (Ees), a measure of contractility, and arterial elastance (Ea), a measure of afterload, were calculated. Ventriculo-arterial coupling was expressed as Ea/Ees. Data from 150 patients were analyzed. There was no difference in Ees, Ea, or Ea/Ees between study groups at either time point. The failure of enalapril to improve heart failure outcomes in this cohort may have some association with its failure to improve cardiac mechanics in single-ventricle physiology.

Abstract Image

依那普利对儿童心脏网络婴儿单心室试验中心脏力学的影响:使用无创压力-容量环路分析的见解。
在儿童心脏网络婴儿单心室试验中,接受依那普利治疗的单心室患者与接受安慰剂治疗的患者相比,在心力衰竭结局方面没有差异。本研究的目的是使用无创压力-容量环路分析来评估依那普利组和安慰剂组之间心脏力学的差异。获得14月龄上腔肺连接(SCPC)前和SCPC后的核心实验室超声心动图测量。计算收缩末期弹性(Ees)和动脉弹性(Ea),前者是收缩力的量度,后者是后负荷的量度。脑室-动脉耦合用Ea/Ees表示。分析了150例患者的数据。两个研究组在任何时间点的Ees、Ea或Ea/Ees均无差异。依那普利在该队列中未能改善心力衰竭结局可能与其未能改善单心室生理学的心脏力学有一定关联。
本文章由计算机程序翻译,如有差异,请以英文原文为准。
求助全文
约1分钟内获得全文 求助全文
来源期刊
Annals of Pediatric Cardiology
Annals of Pediatric Cardiology CARDIAC & CARDIOVASCULAR SYSTEMS-
CiteScore
1.40
自引率
14.30%
发文量
51
审稿时长
23 weeks
×
引用
GB/T 7714-2015
复制
MLA
复制
APA
复制
导出至
BibTeX EndNote RefMan NoteFirst NoteExpress
×
提示
您的信息不完整,为了账户安全,请先补充。
现在去补充
×
提示
您因"违规操作"
具体请查看互助需知
我知道了
×
提示
确定
请完成安全验证×
copy
已复制链接
快去分享给好友吧!
我知道了
右上角分享
点击右上角分享
0
联系我们:info@booksci.cn Book学术提供免费学术资源搜索服务,方便国内外学者检索中英文文献。致力于提供最便捷和优质的服务体验。 Copyright © 2023 布克学术 All rights reserved.
京ICP备2023020795号-1
ghs 京公网安备 11010802042870号
Book学术文献互助
Book学术文献互助群
群 号:604180095
Book学术官方微信