Coagulation Biomarkers and Mortality in Severe COVID-19: The Prognostic Value of Factor XIII Decline and Elevated D-Dimers.

IF 2
Christopher Cibis, Elisabeth Hannah Adam, Florian Gatzke, Steffen Rauchfuss, Stefanie Roth, Wolfgang Miesbach
{"title":"Coagulation Biomarkers and Mortality in Severe COVID-19: The Prognostic Value of Factor XIII Decline and Elevated D-Dimers.","authors":"Christopher Cibis, Elisabeth Hannah Adam, Florian Gatzke, Steffen Rauchfuss, Stefanie Roth, Wolfgang Miesbach","doi":"10.1177/10760296251364266","DOIUrl":null,"url":null,"abstract":"<p><p>IntroductionThis study investigated the roles of d-dimers, fibrinogen, activated partial thromboplastin time (aPTT), and Factor XIII (FXIII) in critically ill COVID-19 patients.Methods68 patients were included into the study based on the inclusion criteria. Severe illness was defined as COVID-19 pneumonia leading to acute respiratory failure requiring mechanical ventilation and ICU (Intensive Care Unit) care. Patients who received Extracorporeal Membrane Oxygenation therapy were excluded due to its effects on the coagulation system. Blood samples were collected on day one and days five to seven, to measure coagulation parameters (aPTT, d-dimer, fibrinogen, and FXIII).ResultsIn total, 59% of the patients died during their hospital stay. Coagulation parameters showed elevated d-dimer levels in 95.6% of patients, while FXIII activity significantly decreased during the first week in ICU. A drop in FXIII activity over the first week (FXIII Δ) emerged as a significant predictor of in-hospital mortality (HR = 2.174, <i>P</i> = .031), while d-dimers did not. No significant changes in aPTT, fibrinogen, or d-dimer levels were observed between days one and five to seven.ConclusionThe change in Factor XIII activity during the first week in ICU (FXIII Δ) emerged as an independent predictor of in-hospital mortality. D-dimer levels were elevated in nearly all patients, but did not serve as an independent predictor of in-hospital mortality, possibly due to the homogeneity of the cohort. Overall, the results emphasize the importance of monitoring d-dimers and Factor XIII in predicting disease severity and outcomes in COVID-19 patients.</p>","PeriodicalId":520590,"journal":{"name":"Clinical and applied thrombosis/hemostasis : official journal of the International Academy of Clinical and Applied Thrombosis/Hemostasis","volume":"31 ","pages":"10760296251364266"},"PeriodicalIF":2.0000,"publicationDate":"2025-01-01","publicationTypes":"Journal Article","fieldsOfStudy":null,"isOpenAccess":false,"openAccessPdf":"https://www.ncbi.nlm.nih.gov/pmc/articles/PMC12446857/pdf/","citationCount":"0","resultStr":null,"platform":"Semanticscholar","paperid":null,"PeriodicalName":"Clinical and applied thrombosis/hemostasis : official journal of the International Academy of Clinical and Applied Thrombosis/Hemostasis","FirstCategoryId":"1085","ListUrlMain":"https://doi.org/10.1177/10760296251364266","RegionNum":0,"RegionCategory":null,"ArticlePicture":[],"TitleCN":null,"AbstractTextCN":null,"PMCID":null,"EPubDate":"2025/9/18 0:00:00","PubModel":"Epub","JCR":"","JCRName":"","Score":null,"Total":0}
引用次数: 0

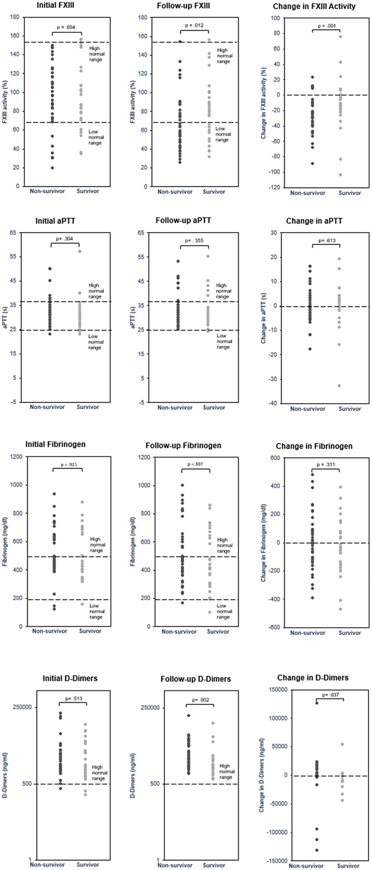
Abstract

IntroductionThis study investigated the roles of d-dimers, fibrinogen, activated partial thromboplastin time (aPTT), and Factor XIII (FXIII) in critically ill COVID-19 patients.Methods68 patients were included into the study based on the inclusion criteria. Severe illness was defined as COVID-19 pneumonia leading to acute respiratory failure requiring mechanical ventilation and ICU (Intensive Care Unit) care. Patients who received Extracorporeal Membrane Oxygenation therapy were excluded due to its effects on the coagulation system. Blood samples were collected on day one and days five to seven, to measure coagulation parameters (aPTT, d-dimer, fibrinogen, and FXIII).ResultsIn total, 59% of the patients died during their hospital stay. Coagulation parameters showed elevated d-dimer levels in 95.6% of patients, while FXIII activity significantly decreased during the first week in ICU. A drop in FXIII activity over the first week (FXIII Δ) emerged as a significant predictor of in-hospital mortality (HR = 2.174, P = .031), while d-dimers did not. No significant changes in aPTT, fibrinogen, or d-dimer levels were observed between days one and five to seven.ConclusionThe change in Factor XIII activity during the first week in ICU (FXIII Δ) emerged as an independent predictor of in-hospital mortality. D-dimer levels were elevated in nearly all patients, but did not serve as an independent predictor of in-hospital mortality, possibly due to the homogeneity of the cohort. Overall, the results emphasize the importance of monitoring d-dimers and Factor XIII in predicting disease severity and outcomes in COVID-19 patients.

Abstract Image

Abstract Image

Abstract Image

重症COVID-19患者凝血生物标志物和死亡率:因子XIII下降和d -二聚体升高的预后价值
本研究探讨了d-二聚体、纤维蛋白原、活化部分凝血活素时间(aPTT)和因子XIII (FXIII)在COVID-19危重症患者中的作用。方法按纳入标准将68例患者纳入研究。重症定义为COVID-19肺炎导致急性呼吸衰竭,需要机械通气和ICU(重症监护病房)护理。接受体外膜氧合治疗的患者因其对凝血系统的影响而被排除在外。第1天和第5 ~ 7天采集血样,测定凝血参数(aPTT、d-二聚体、纤维蛋白原和FXIII)。结果59%的患者在住院期间死亡。95.6%的患者凝血参数显示d-二聚体水平升高,而FXIII活性在ICU的第一周显著降低。第一周FXIII活性的下降(FXIII Δ)成为住院死亡率的重要预测因子(HR = 2.174, P =。031),而d-二聚体没有。aPTT、纤维蛋白原或d-二聚体水平在第1天至第5天至第7天没有明显变化。结论在ICU第一周内因子XIII活性的变化(FXIII Δ)是院内死亡率的独立预测因子。d -二聚体水平在几乎所有患者中都升高,但可能由于队列的同质性,不能作为院内死亡率的独立预测因子。总之,研究结果强调了监测d-二聚体和因子XIII在预测COVID-19患者疾病严重程度和预后方面的重要性。
本文章由计算机程序翻译,如有差异,请以英文原文为准。
求助全文
约1分钟内获得全文 求助全文
来源期刊
自引率
0.00%
发文量
0
×
引用
GB/T 7714-2015
复制
MLA
复制
APA
复制
导出至
BibTeX EndNote RefMan NoteFirst NoteExpress
×
提示
您的信息不完整,为了账户安全,请先补充。
现在去补充
×
提示
您因"违规操作"
具体请查看互助需知
我知道了
×
提示
确定
请完成安全验证×
copy
已复制链接
快去分享给好友吧!
我知道了
右上角分享
点击右上角分享
0
联系我们:info@booksci.cn Book学术提供免费学术资源搜索服务,方便国内外学者检索中英文文献。致力于提供最便捷和优质的服务体验。 Copyright © 2023 布克学术 All rights reserved.
京ICP备2023020795号-1
ghs 京公网安备 11010802042870号
Book学术文献互助
Book学术文献互助群
群 号:604180095
Book学术官方微信