A Meta-Learner Framework to Estimate Individualized Treatment Effects for Survival Outcomes.

Journal of data science : JDS Pub Date : 2024-10-01 Epub Date: 2024-02-05 DOI:10.6339/24-jds1119
Na Bo, Yue Wei, Lang Zeng, Chaeryon Kang, Ying Ding
{"title":"A Meta-Learner Framework to Estimate Individualized Treatment Effects for Survival Outcomes.","authors":"Na Bo, Yue Wei, Lang Zeng, Chaeryon Kang, Ying Ding","doi":"10.6339/24-jds1119","DOIUrl":null,"url":null,"abstract":"<p><p>One crucial aspect of precision medicine is to allow physicians to recommend the most suitable treatment for their patients. This requires understanding the treatment heterogeneity from a patient-centric view, quantified by estimating the individualized treatment effect (ITE). With a large amount of genetics data and medical factors being collected, a complete picture of individuals' characteristics is forming, which provides more opportunities to accurately estimate ITE. Recent development using machine learning methods within the counterfactual outcome framework shows excellent potential in analyzing such data. In this research, we propose to extend meta-learning approaches to estimate individualized treatment effects with survival outcomes. Two meta-learning algorithms are considered, T-learner and X-learner, each combined with three types of machine learning methods: random survival forest, Bayesian accelerated failure time model and survival neural network. We examine the performance of the proposed methods and provide practical guidelines for their application in randomized clinical trials (RCTs). Moreover, we propose to use the Boruta algorithm to identify risk factors that contribute to treatment heterogeneity based on ITE estimates. The finite sample performances of these methods are compared through extensive simulations under different randomization designs. The proposed approach is applied to a large RCT of eye disease, namely, age-related macular degeneration (AMD), to estimate the ITE on delaying time-to-AMD progression and to make individualized treatment recommendations.</p>","PeriodicalId":73699,"journal":{"name":"Journal of data science : JDS","volume":"22 4","pages":"505-523"},"PeriodicalIF":0.0000,"publicationDate":"2024-10-01","publicationTypes":"Journal Article","fieldsOfStudy":null,"isOpenAccess":false,"openAccessPdf":"https://www.ncbi.nlm.nih.gov/pmc/articles/PMC12440118/pdf/","citationCount":"0","resultStr":null,"platform":"Semanticscholar","paperid":null,"PeriodicalName":"Journal of data science : JDS","FirstCategoryId":"1085","ListUrlMain":"https://doi.org/10.6339/24-jds1119","RegionNum":0,"RegionCategory":null,"ArticlePicture":[],"TitleCN":null,"AbstractTextCN":null,"PMCID":null,"EPubDate":"2024/2/5 0:00:00","PubModel":"Epub","JCR":"","JCRName":"","Score":null,"Total":0}
引用次数: 0

Abstract

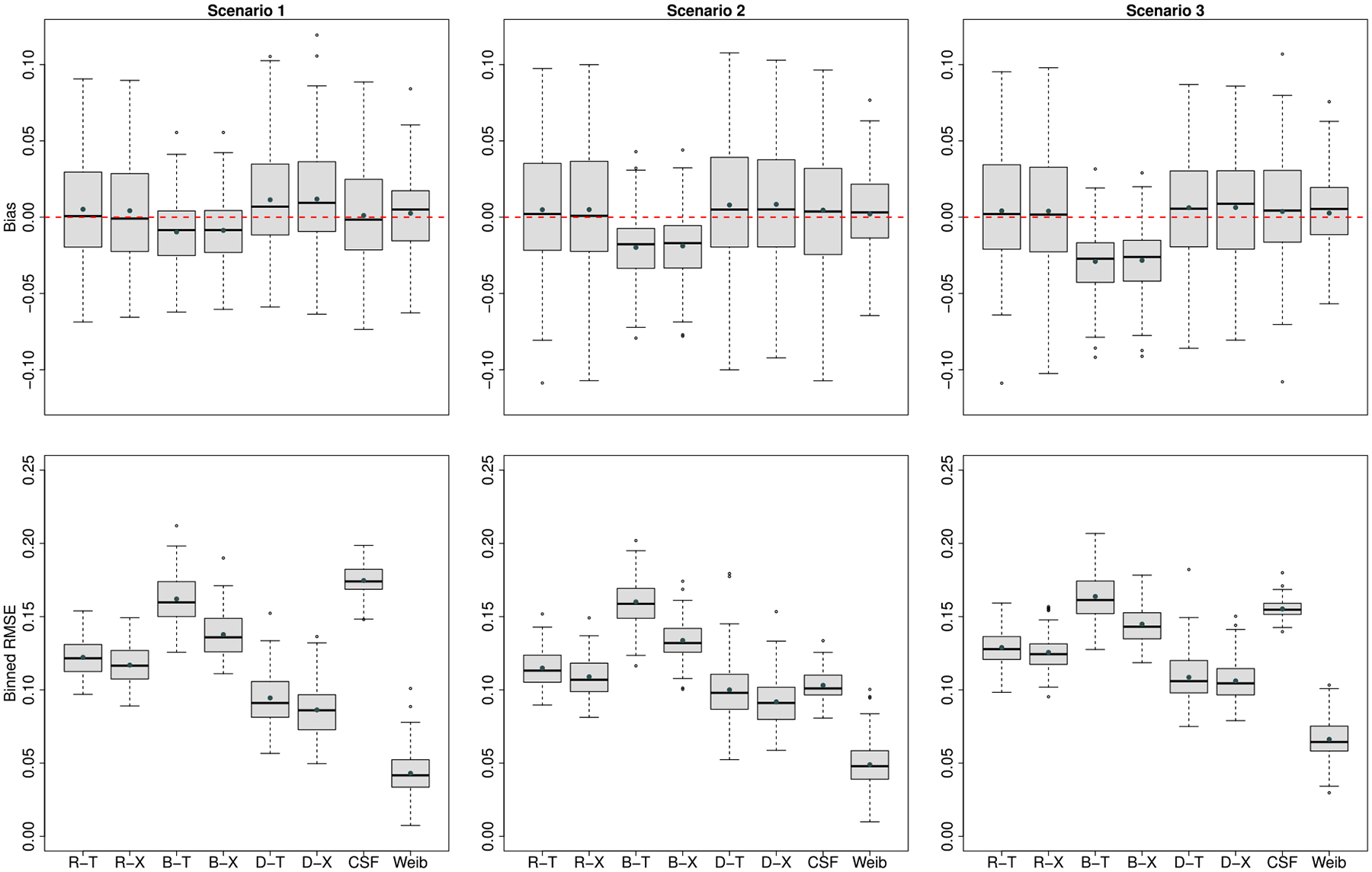
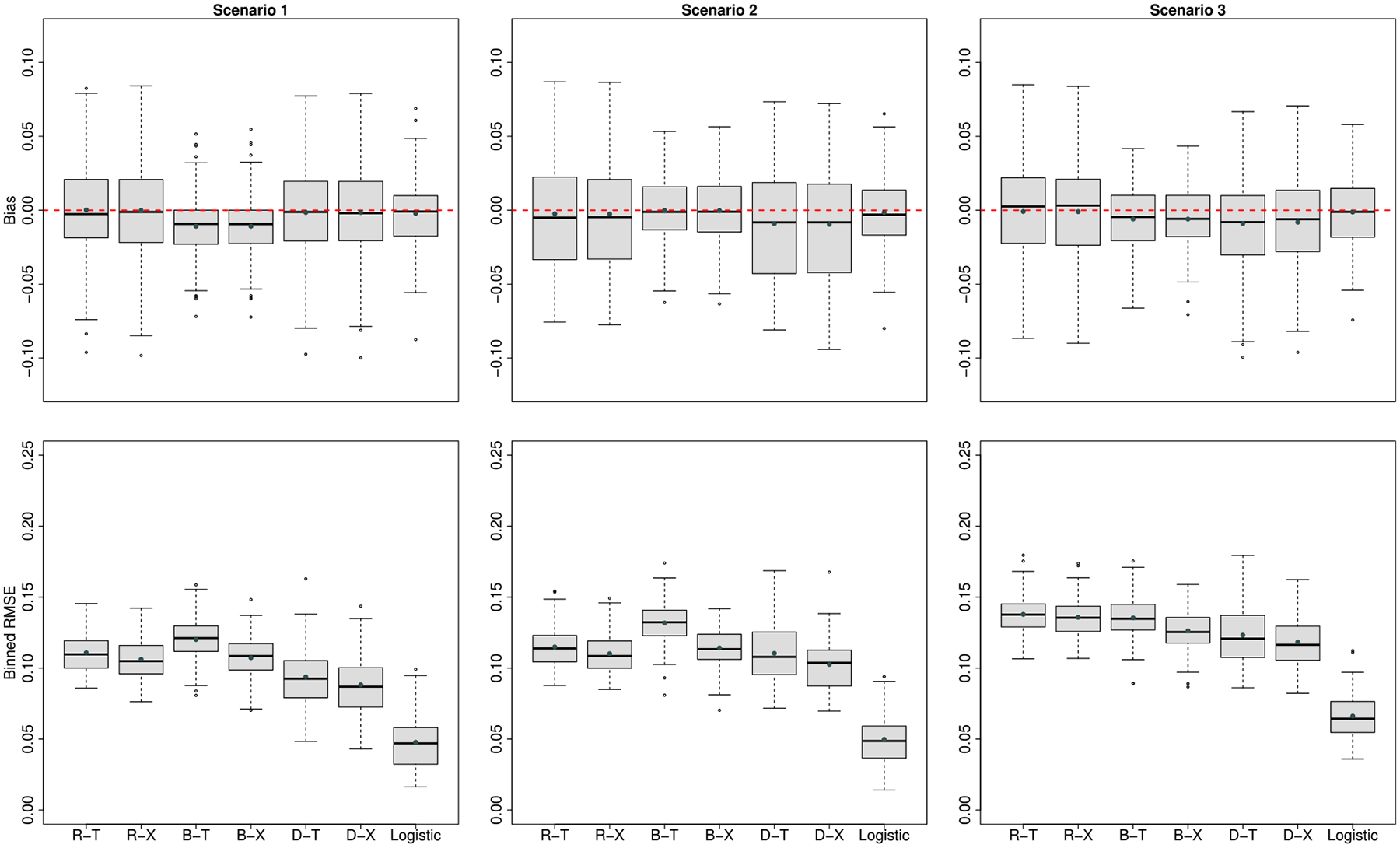
One crucial aspect of precision medicine is to allow physicians to recommend the most suitable treatment for their patients. This requires understanding the treatment heterogeneity from a patient-centric view, quantified by estimating the individualized treatment effect (ITE). With a large amount of genetics data and medical factors being collected, a complete picture of individuals' characteristics is forming, which provides more opportunities to accurately estimate ITE. Recent development using machine learning methods within the counterfactual outcome framework shows excellent potential in analyzing such data. In this research, we propose to extend meta-learning approaches to estimate individualized treatment effects with survival outcomes. Two meta-learning algorithms are considered, T-learner and X-learner, each combined with three types of machine learning methods: random survival forest, Bayesian accelerated failure time model and survival neural network. We examine the performance of the proposed methods and provide practical guidelines for their application in randomized clinical trials (RCTs). Moreover, we propose to use the Boruta algorithm to identify risk factors that contribute to treatment heterogeneity based on ITE estimates. The finite sample performances of these methods are compared through extensive simulations under different randomization designs. The proposed approach is applied to a large RCT of eye disease, namely, age-related macular degeneration (AMD), to estimate the ITE on delaying time-to-AMD progression and to make individualized treatment recommendations.

Abstract Image

Abstract Image

Abstract Image

评估个体化治疗对生存结果影响的元学习者框架。
精准医疗的一个关键方面是允许医生为他们的病人推荐最合适的治疗方法。这需要从以患者为中心的角度来理解治疗的异质性,并通过估计个体化治疗效果(ITE)来量化。随着大量的遗传学数据和医学因素的收集,一个完整的个体特征正在形成,这为准确估计ITE提供了更多的机会。最近在反事实结果框架内使用机器学习方法的发展在分析此类数据方面显示出极好的潜力。在这项研究中,我们建议扩展元学习方法,以评估个性化治疗效果和生存结果。本文考虑了t -学习者和x -学习者两种元学习算法,每种算法都结合了三种机器学习方法:随机生存森林、贝叶斯加速失效时间模型和生存神经网络。我们检查了所提出的方法的性能,并为其在随机临床试验(rct)中的应用提供了实用指南。此外,我们建议使用Boruta算法来识别基于ITE估计的导致治疗异质性的风险因素。在不同的随机化设计下,通过大量的模拟比较了这些方法的有限样本性能。该方法应用于一项大型眼病随机对照试验,即年龄相关性黄斑变性(AMD),以估计延迟AMD进展时间的ITE,并提出个体化治疗建议。
本文章由计算机程序翻译,如有差异,请以英文原文为准。
求助全文
约1分钟内获得全文 求助全文
来源期刊
自引率
0.00%
发文量
0
×
引用
GB/T 7714-2015
复制
MLA
复制
APA
复制
导出至
BibTeX EndNote RefMan NoteFirst NoteExpress
×
提示
您的信息不完整,为了账户安全,请先补充。
现在去补充
×
提示
您因"违规操作"
具体请查看互助需知
我知道了
×
提示
确定
请完成安全验证×
copy
已复制链接
快去分享给好友吧!
我知道了
右上角分享
点击右上角分享
0
联系我们:info@booksci.cn Book学术提供免费学术资源搜索服务,方便国内外学者检索中英文文献。致力于提供最便捷和优质的服务体验。 Copyright © 2023 布克学术 All rights reserved.
京ICP备2023020795号-1
ghs 京公网安备 11010802042870号
Book学术文献互助
Book学术文献互助群
群 号:604180095
Book学术官方微信