Correlations for the Temperature Dependent Viscosity of Saturated Liquids

IF 0.8 4区 化学 Q4 CHEMISTRY, PHYSICAL
Cuihua Zhang, Xiaobing Liu, Jianxiang Tian, Shangguo Yang, Hua Jiang
{"title":"Correlations for the Temperature Dependent Viscosity of Saturated Liquids","authors":"Cuihua Zhang,&nbsp;Xiaobing Liu,&nbsp;Jianxiang Tian,&nbsp;Shangguo Yang,&nbsp;Hua Jiang","doi":"10.1134/S0036024425701456","DOIUrl":null,"url":null,"abstract":"<p>The Arrhenius correlation, the Vogel–Fulcher–Tamman correlation and a four-parameter correlation for the temperature dependent viscosity are compared and checked for saturated liquids by using the viscosity data in the NIST database. 52 substances including hydrocarbons, refrigerants, and some others are considered. By comparing the calculated numerical results from the three correlations with the data from the NIST database, it is found that the four-parameter correlation can predict the NIST data with average absolute deviation (AAD) less than 5% for all the 52 liquids, AAD less than 1% for 39 liquids. Better accuracy of the four-parameter correlation compared to the Arrhenius correlation and the Vogel–Fulcher–Tamman correlation is found.</p>","PeriodicalId":767,"journal":{"name":"Russian Journal of Physical Chemistry A","volume":"99 9","pages":"2012 - 2021"},"PeriodicalIF":0.8000,"publicationDate":"2025-09-16","publicationTypes":"Journal Article","fieldsOfStudy":null,"isOpenAccess":false,"openAccessPdf":"","citationCount":"0","resultStr":null,"platform":"Semanticscholar","paperid":null,"PeriodicalName":"Russian Journal of Physical Chemistry A","FirstCategoryId":"92","ListUrlMain":"https://link.springer.com/article/10.1134/S0036024425701456","RegionNum":4,"RegionCategory":"化学","ArticlePicture":[],"TitleCN":null,"AbstractTextCN":null,"PMCID":null,"EPubDate":"","PubModel":"","JCR":"Q4","JCRName":"CHEMISTRY, PHYSICAL","Score":null,"Total":0}
引用次数: 0

Abstract

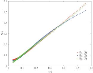
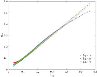
The Arrhenius correlation, the Vogel–Fulcher–Tamman correlation and a four-parameter correlation for the temperature dependent viscosity are compared and checked for saturated liquids by using the viscosity data in the NIST database. 52 substances including hydrocarbons, refrigerants, and some others are considered. By comparing the calculated numerical results from the three correlations with the data from the NIST database, it is found that the four-parameter correlation can predict the NIST data with average absolute deviation (AAD) less than 5% for all the 52 liquids, AAD less than 1% for 39 liquids. Better accuracy of the four-parameter correlation compared to the Arrhenius correlation and the Vogel–Fulcher–Tamman correlation is found.

Abstract Image

Abstract Image

饱和液体粘度随温度变化的相关性
通过使用NIST数据库中的粘度数据,比较了饱和液体的Arrhenius相关性、Vogel-Fulcher-Tamman相关性和温度依赖性粘度的四参数相关性。52种物质包括碳氢化合物、制冷剂和其他一些物质。将3种相关性计算的数值结果与NIST数据库数据进行比较,发现4参数相关性对52种液体的NIST数据预测的平均绝对偏差(AAD)均小于5%,对39种液体的AAD小于1%。与Arrhenius相关和Vogel-Fulcher-Tamman相关相比,发现四参数相关具有更好的准确性。
本文章由计算机程序翻译,如有差异,请以英文原文为准。
求助全文
约1分钟内获得全文 求助全文
来源期刊
CiteScore
1.20
自引率
14.30%
发文量
376
审稿时长
5.1 months
期刊介绍: Russian Journal of Physical Chemistry A. Focus on Chemistry (Zhurnal Fizicheskoi Khimii), founded in 1930, offers a comprehensive review of theoretical and experimental research from the Russian Academy of Sciences, leading research and academic centers from Russia and from all over the world. Articles are devoted to chemical thermodynamics and thermochemistry, biophysical chemistry, photochemistry and magnetochemistry, materials structure, quantum chemistry, physical chemistry of nanomaterials and solutions, surface phenomena and adsorption, and methods and techniques of physicochemical studies.
×
引用
GB/T 7714-2015
复制
MLA
复制
APA
复制
导出至
BibTeX EndNote RefMan NoteFirst NoteExpress
×
提示
您的信息不完整,为了账户安全,请先补充。
现在去补充
×
提示
您因"违规操作"
具体请查看互助需知
我知道了
×
提示
确定
请完成安全验证×
copy
已复制链接
快去分享给好友吧!
我知道了
右上角分享
点击右上角分享
0
联系我们:info@booksci.cn Book学术提供免费学术资源搜索服务,方便国内外学者检索中英文文献。致力于提供最便捷和优质的服务体验。 Copyright © 2023 布克学术 All rights reserved.
京ICP备2023020795号-1
ghs 京公网安备 11010802042870号
Book学术文献互助
Book学术文献互助群
群 号:604180095
Book学术官方微信