Disentangling horizontal and vertical Pleiotropy in genetic correlation estimation: introducing the HVP model.

IF 3.6 2区 生物学 Q2 GENETICS & HEREDITY
Human Genetics Pub Date : 2025-08-01 Epub Date: 2025-09-16 DOI:10.1007/s00439-025-02762-w
Lamessa Dube Amente, Natalie T Mills, Thuc Duy Le, Elina Hyppönen, S Hong Lee
{"title":"Disentangling horizontal and vertical Pleiotropy in genetic correlation estimation: introducing the HVP model.","authors":"Lamessa Dube Amente, Natalie T Mills, Thuc Duy Le, Elina Hyppönen, S Hong Lee","doi":"10.1007/s00439-025-02762-w","DOIUrl":null,"url":null,"abstract":"<p><p>Genome-wide genetic correlation studies have demonstrated widespread shared genetic architecture between complex traits, yet the impact of vertical pleiotropy on these genetic correlation estimates remains unclear. To address this, we propose the Horizontal and Vertical Pleiotropy (HVP) model, designed to disentangle horizontal from vertical pleiotropy effects. This approach provides unbiased genetic correlation estimates specifically attributed to horizontal pleiotropy. Through simulations, we verify that the HVP model corrects biases introduced by vertical pleiotropy-particularly the causal influence of exposure on outcomes-across various scenarios, improving the accuracy of heritability and genetic correlation estimates. Vertical pleiotropy biases genetic variances and covariances, influencing essential estimates such as SNP-based heritability and genetic correlation in traditional methods. By addressing these biases, the HVP model enhances accuracy in parameter estimation. Real data analysis shows that horizontal pleiotropy significantly contributes to genetic correlations between metabolic syndrome (MetS) and traits such as type 2 diabetes, C-reactive protein (CRP), sleep apnoea, and cholelithiasis, whereas vertical pleiotropy is more relevant between body mass index (BMI) and MetS, and MetS and cardiovascular diseases. These findings suggest that action on modifiable factors like lowering BMI may effectively reduce MetS risk, while CRP-though not causative-serves as a useful marker in risk prediction through horizontal pleiotropic genes. These results confirm the HVP model's relevance and utility in revealing the complex genetic architecture underlying traits such as metabolic syndrome, highlighting its potential to inform precision healthcare.</p>","PeriodicalId":13175,"journal":{"name":"Human Genetics","volume":" ","pages":"861-876"},"PeriodicalIF":3.6000,"publicationDate":"2025-08-01","publicationTypes":"Journal Article","fieldsOfStudy":null,"isOpenAccess":false,"openAccessPdf":"https://www.ncbi.nlm.nih.gov/pmc/articles/PMC12449366/pdf/","citationCount":"0","resultStr":null,"platform":"Semanticscholar","paperid":null,"PeriodicalName":"Human Genetics","FirstCategoryId":"99","ListUrlMain":"https://doi.org/10.1007/s00439-025-02762-w","RegionNum":2,"RegionCategory":"生物学","ArticlePicture":[],"TitleCN":null,"AbstractTextCN":null,"PMCID":null,"EPubDate":"2025/9/16 0:00:00","PubModel":"Epub","JCR":"Q2","JCRName":"GENETICS & HEREDITY","Score":null,"Total":0}
引用次数: 0

Abstract

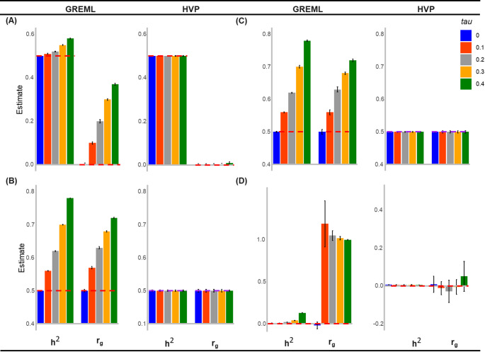
Genome-wide genetic correlation studies have demonstrated widespread shared genetic architecture between complex traits, yet the impact of vertical pleiotropy on these genetic correlation estimates remains unclear. To address this, we propose the Horizontal and Vertical Pleiotropy (HVP) model, designed to disentangle horizontal from vertical pleiotropy effects. This approach provides unbiased genetic correlation estimates specifically attributed to horizontal pleiotropy. Through simulations, we verify that the HVP model corrects biases introduced by vertical pleiotropy-particularly the causal influence of exposure on outcomes-across various scenarios, improving the accuracy of heritability and genetic correlation estimates. Vertical pleiotropy biases genetic variances and covariances, influencing essential estimates such as SNP-based heritability and genetic correlation in traditional methods. By addressing these biases, the HVP model enhances accuracy in parameter estimation. Real data analysis shows that horizontal pleiotropy significantly contributes to genetic correlations between metabolic syndrome (MetS) and traits such as type 2 diabetes, C-reactive protein (CRP), sleep apnoea, and cholelithiasis, whereas vertical pleiotropy is more relevant between body mass index (BMI) and MetS, and MetS and cardiovascular diseases. These findings suggest that action on modifiable factors like lowering BMI may effectively reduce MetS risk, while CRP-though not causative-serves as a useful marker in risk prediction through horizontal pleiotropic genes. These results confirm the HVP model's relevance and utility in revealing the complex genetic architecture underlying traits such as metabolic syndrome, highlighting its potential to inform precision healthcare.

Abstract Image

Abstract Image

Abstract Image

遗传相关估计中水平和垂直多效性的分离——引入HVP模型。
全基因组遗传相关研究表明,复杂性状之间普遍存在共同的遗传结构,但垂直多效性对这些遗传相关估计的影响尚不清楚。为了解决这个问题,我们提出了水平和垂直多效性(HVP)模型,旨在区分水平和垂直多效性效应。这种方法提供了无偏的遗传相关性估计,特别是归因于水平多效性。通过模拟,我们验证了HVP模型纠正了垂直多效性(特别是暴露对结果的因果影响)在各种情况下引入的偏差,提高了遗传性和遗传相关性估计的准确性。垂直多效性偏倚遗传方差和协方差,影响传统方法中基于snp的遗传力和遗传相关性等基本估计。通过解决这些偏差,HVP模型提高了参数估计的准确性。实际数据分析表明,水平多效性显著促进代谢综合征(MetS)与2型糖尿病、c反应蛋白(CRP)、睡眠呼吸暂停和胆石症等性状之间的遗传相关性,而垂直多效性在体重指数(BMI)与MetS、MetS与心血管疾病之间的相关性更大。这些发现表明,通过降低BMI等可改变因素的行动可以有效降低MetS风险,而crp(尽管不是致病因素)可以作为通过水平多效性基因预测风险的有用标记。这些结果证实了HVP模型在揭示代谢综合征等特征的复杂遗传结构方面的相关性和实用性,突出了其为精准医疗提供信息的潜力。
本文章由计算机程序翻译,如有差异,请以英文原文为准。
求助全文
约1分钟内获得全文 求助全文
来源期刊
Human Genetics
Human Genetics 生物-遗传学
CiteScore
10.80
自引率
3.80%
发文量
94
审稿时长
1 months
期刊介绍: Human Genetics is a monthly journal publishing original and timely articles on all aspects of human genetics. The Journal particularly welcomes articles in the areas of Behavioral genetics, Bioinformatics, Cancer genetics and genomics, Cytogenetics, Developmental genetics, Disease association studies, Dysmorphology, ELSI (ethical, legal and social issues), Evolutionary genetics, Gene expression, Gene structure and organization, Genetics of complex diseases and epistatic interactions, Genetic epidemiology, Genome biology, Genome structure and organization, Genotype-phenotype relationships, Human Genomics, Immunogenetics and genomics, Linkage analysis and genetic mapping, Methods in Statistical Genetics, Molecular diagnostics, Mutation detection and analysis, Neurogenetics, Physical mapping and Population Genetics. Articles reporting animal models relevant to human biology or disease are also welcome. Preference will be given to those articles which address clinically relevant questions or which provide new insights into human biology. Unless reporting entirely novel and unusual aspects of a topic, clinical case reports, cytogenetic case reports, papers on descriptive population genetics, articles dealing with the frequency of polymorphisms or additional mutations within genes in which numerous lesions have already been described, and papers that report meta-analyses of previously published datasets will normally not be accepted. The Journal typically will not consider for publication manuscripts that report merely the isolation, map position, structure, and tissue expression profile of a gene of unknown function unless the gene is of particular interest or is a candidate gene involved in a human trait or disorder.
×
引用
GB/T 7714-2015
复制
MLA
复制
APA
复制
导出至
BibTeX EndNote RefMan NoteFirst NoteExpress
×
提示
您的信息不完整,为了账户安全,请先补充。
现在去补充
×
提示
您因"违规操作"
具体请查看互助需知
我知道了
×
提示
确定
请完成安全验证×
copy
已复制链接
快去分享给好友吧!
我知道了
右上角分享
点击右上角分享
0
联系我们:info@booksci.cn Book学术提供免费学术资源搜索服务,方便国内外学者检索中英文文献。致力于提供最便捷和优质的服务体验。 Copyright © 2023 布克学术 All rights reserved.
京ICP备2023020795号-1
ghs 京公网安备 11010802042870号
Book学术文献互助
Book学术文献互助群
群 号:604180095
Book学术官方微信