Bifurcation-based dynamics and internal resonance in micro ring resonators for MEMS applications.

IF 5.2 2区 工程技术 Q1 ENGINEERING, MECHANICAL
Nonlinear Dynamics Pub Date : 2025-01-01 Epub Date: 2025-06-08 DOI:10.1007/s11071-025-11379-7
Saber Azizi, Hamed Haddad Khodaparast, Hadi Madinei, Mohammad I Younis, Ghader Rezazadeh
{"title":"Bifurcation-based dynamics and internal resonance in micro ring resonators for MEMS applications.","authors":"Saber Azizi, Hamed Haddad Khodaparast, Hadi Madinei, Mohammad I Younis, Ghader Rezazadeh","doi":"10.1007/s11071-025-11379-7","DOIUrl":null,"url":null,"abstract":"<p><p>This paper presents a novel investigation into the dynamics of a micro ring structure subjected to harmonic base excitation, designed as a highly sensitive MEMS mass sensor or bifurcation-based switch. Leveraging the in-plane nature of the motion, the system exhibits an exceptionally low damping ratio, making it ideal for detecting subtle changes in dynamic behaviour. The governing nonlinear differential equations, incorporating the geometric nonlinearities of the support beams, were derived and simplified into a reduced-order model consisting of coupled nonlinear Duffing-type equations. A key innovation of this study lies in the tunability of the system's frequency ratios, enabling the activation of a 1:3 internal resonance. By varying the length of the support beams while keeping the central ring geometry fixed, the first two natural frequencies were carefully examined, revealing a significant influence on the dynamic response. Frequency response curves confirmed the presence of 1:3 internal resonance near the primary resonance of the first mode, highlighting the potential for efficient energy transfer between modes. Furthermore, a detailed bifurcation analysis uncovered a range of complex nonlinear phenomena, including nonlinear modal interactions, torus bifurcations, quasi-periodic motion, and cyclic fold bifurcations. These bifurcations not only provide deeper insight into the system's dynamics but also offer additional operational mechanisms for switching applications. The findings demonstrate the system's capability to exploit nonlinear dynamics for enhanced sensitivity and robustness, paving the way for the development of next-generation MEMS sensors and bifurcation-based devices.</p>","PeriodicalId":19723,"journal":{"name":"Nonlinear Dynamics","volume":"113 18","pages":"24329-24342"},"PeriodicalIF":5.2000,"publicationDate":"2025-01-01","publicationTypes":"Journal Article","fieldsOfStudy":null,"isOpenAccess":false,"openAccessPdf":"https://www.ncbi.nlm.nih.gov/pmc/articles/PMC12423269/pdf/","citationCount":"0","resultStr":null,"platform":"Semanticscholar","paperid":null,"PeriodicalName":"Nonlinear Dynamics","FirstCategoryId":"5","ListUrlMain":"https://doi.org/10.1007/s11071-025-11379-7","RegionNum":2,"RegionCategory":"工程技术","ArticlePicture":[],"TitleCN":null,"AbstractTextCN":null,"PMCID":null,"EPubDate":"2025/6/8 0:00:00","PubModel":"Epub","JCR":"Q1","JCRName":"ENGINEERING, MECHANICAL","Score":null,"Total":0}
引用次数: 0

Abstract

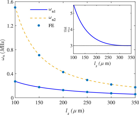
This paper presents a novel investigation into the dynamics of a micro ring structure subjected to harmonic base excitation, designed as a highly sensitive MEMS mass sensor or bifurcation-based switch. Leveraging the in-plane nature of the motion, the system exhibits an exceptionally low damping ratio, making it ideal for detecting subtle changes in dynamic behaviour. The governing nonlinear differential equations, incorporating the geometric nonlinearities of the support beams, were derived and simplified into a reduced-order model consisting of coupled nonlinear Duffing-type equations. A key innovation of this study lies in the tunability of the system's frequency ratios, enabling the activation of a 1:3 internal resonance. By varying the length of the support beams while keeping the central ring geometry fixed, the first two natural frequencies were carefully examined, revealing a significant influence on the dynamic response. Frequency response curves confirmed the presence of 1:3 internal resonance near the primary resonance of the first mode, highlighting the potential for efficient energy transfer between modes. Furthermore, a detailed bifurcation analysis uncovered a range of complex nonlinear phenomena, including nonlinear modal interactions, torus bifurcations, quasi-periodic motion, and cyclic fold bifurcations. These bifurcations not only provide deeper insight into the system's dynamics but also offer additional operational mechanisms for switching applications. The findings demonstrate the system's capability to exploit nonlinear dynamics for enhanced sensitivity and robustness, paving the way for the development of next-generation MEMS sensors and bifurcation-based devices.

Abstract Image

Abstract Image

Abstract Image

用于MEMS的微环谐振器的分岔动力学和内部谐振。
本文对微环结构在谐波基激励下的动力学进行了新的研究,该结构被设计为高灵敏度的MEMS质量传感器或基于分岔的开关。利用运动的平面内特性,该系统表现出极低的阻尼比,使其成为检测动态行为细微变化的理想选择。推导了包含支撑梁几何非线性的控制非线性微分方程,并将其简化为由耦合非线性duffing型方程组成的降阶模型。本研究的一个关键创新在于系统频率比的可调性,可以激活1:3的内部共振。通过改变支撑梁的长度,同时保持中心环几何形状固定,仔细检查了前两个固有频率,揭示了对动态响应的重大影响。频率响应曲线证实在第一模态的主共振附近存在1:3的内部共振,突出了模态之间有效能量传递的潜力。此外,详细的分岔分析揭示了一系列复杂的非线性现象,包括非线性模态相互作用、环面分岔、准周期运动和循环折叠分岔。这些分岔不仅提供了对系统动态的更深入的了解,而且还为切换应用程序提供了额外的操作机制。研究结果表明,该系统能够利用非线性动力学来提高灵敏度和鲁棒性,为下一代MEMS传感器和基于分岔的设备的开发铺平了道路。
本文章由计算机程序翻译,如有差异,请以英文原文为准。
求助全文
约1分钟内获得全文 求助全文
来源期刊
Nonlinear Dynamics
Nonlinear Dynamics 工程技术-工程:机械
CiteScore
9.00
自引率
17.90%
发文量
966
审稿时长
5.9 months
期刊介绍: Nonlinear Dynamics provides a forum for the rapid publication of original research in the field. The journal’s scope encompasses all nonlinear dynamic phenomena associated with mechanical, structural, civil, aeronautical, ocean, electrical, and control systems. Review articles and original contributions are based on analytical, computational, and experimental methods. The journal examines such topics as perturbation and computational methods, symbolic manipulation, dynamic stability, local and global methods, bifurcations, chaos, and deterministic and random vibrations. The journal also investigates Lie groups, multibody dynamics, robotics, fluid-solid interactions, system modeling and identification, friction and damping models, signal analysis, and measurement techniques.
×
引用
GB/T 7714-2015
复制
MLA
复制
APA
复制
导出至
BibTeX EndNote RefMan NoteFirst NoteExpress
×
提示
您的信息不完整,为了账户安全,请先补充。
现在去补充
×
提示
您因"违规操作"
具体请查看互助需知
我知道了
×
提示
确定
请完成安全验证×
copy
已复制链接
快去分享给好友吧!
我知道了
右上角分享
点击右上角分享
0
联系我们:info@booksci.cn Book学术提供免费学术资源搜索服务,方便国内外学者检索中英文文献。致力于提供最便捷和优质的服务体验。 Copyright © 2023 布克学术 All rights reserved.
京ICP备2023020795号-1
ghs 京公网安备 11010802042870号
Book学术文献互助
Book学术文献互助群
群 号:604180095
Book学术官方微信