Evaluating the role of sentinel lymph node biopsy in cT1-2N0M0 breast cancer: a SEER-based study.

IF 1.6 3区 医学 Q3 SURGERY
Gland surgery Pub Date : 2025-08-31 Epub Date: 2025-08-25 DOI:10.21037/gs-2025-171
Zheng Xu, Guidong Chen, Binxiao Cao, Mianhao Zhang, Pengcheng Ruan
{"title":"Evaluating the role of sentinel lymph node biopsy in cT1-2N0M0 breast cancer: a SEER-based study.","authors":"Zheng Xu, Guidong Chen, Binxiao Cao, Mianhao Zhang, Pengcheng Ruan","doi":"10.21037/gs-2025-171","DOIUrl":null,"url":null,"abstract":"<p><strong>Background: </strong>Axillary lymph node staging is vital in breast cancer (BC) management. Sentinel lymph node biopsy (SLNB) reduces complications compared to axillary lymph node dissection (ALND). Recent trials suggest omitting SLNB may be feasible for early-stage patients. This study uses the Surveillance, Epidemiology, and End Results (SEER) database to validate these findings for cT1-2N0M0 patients and explores the relationship between tumor T staging and SLNB.</p><p><strong>Methods: </strong>We selected BC patients with cT1-2N0M0 stage who underwent breast-conserving surgery (BCS) or BCS + SLNB from the SEER database based on the inclusion and exclusion criteria. Propensity score matching (PSM) was used to balance baseline differences between the two groups. Cox regression analysis was performed to identify independent risk factors for these patients, and Kaplan-Meier (KM) analysis was used to assess survival differences in overall survival (OS) and breast cancer-specific survival (BCSS) between the BCS and BCS + SLNB groups.</p><p><strong>Results: </strong>This study included 1,470 BC patients, with 215 undergoing BCS and 1,255 undergoing BCS + SLNB. The BCS group had less aggressive tumors and was older on average. Cox regression analysis of patients' OS and BCSS showed that SLNB was not an independent risk factor for patients. Before PSM, SLNB was associated with improved OS in patients; however, after PSM, this statistical difference disappeared. Subgroup analysis by T staging also indicated no impact of SLNB on OS or BCSS, supporting the feasibility of omitting SLNB for clinically node-negative (cN0) patients.</p><p><strong>Conclusions: </strong>This study, using the SEER database, found that SLNB did not impact the prognosis of cT1-2N0M0 BC patients, regardless of T stage. This supports previous findings that these patients may avoid axillary surgery without compromising outcomes.</p>","PeriodicalId":12760,"journal":{"name":"Gland surgery","volume":"14 8","pages":"1585-1598"},"PeriodicalIF":1.6000,"publicationDate":"2025-08-31","publicationTypes":"Journal Article","fieldsOfStudy":null,"isOpenAccess":false,"openAccessPdf":"https://www.ncbi.nlm.nih.gov/pmc/articles/PMC12432964/pdf/","citationCount":"0","resultStr":null,"platform":"Semanticscholar","paperid":null,"PeriodicalName":"Gland surgery","FirstCategoryId":"3","ListUrlMain":"https://doi.org/10.21037/gs-2025-171","RegionNum":3,"RegionCategory":"医学","ArticlePicture":[],"TitleCN":null,"AbstractTextCN":null,"PMCID":null,"EPubDate":"2025/8/25 0:00:00","PubModel":"Epub","JCR":"Q3","JCRName":"SURGERY","Score":null,"Total":0}
引用次数: 0

Abstract

Background: Axillary lymph node staging is vital in breast cancer (BC) management. Sentinel lymph node biopsy (SLNB) reduces complications compared to axillary lymph node dissection (ALND). Recent trials suggest omitting SLNB may be feasible for early-stage patients. This study uses the Surveillance, Epidemiology, and End Results (SEER) database to validate these findings for cT1-2N0M0 patients and explores the relationship between tumor T staging and SLNB.

Methods: We selected BC patients with cT1-2N0M0 stage who underwent breast-conserving surgery (BCS) or BCS + SLNB from the SEER database based on the inclusion and exclusion criteria. Propensity score matching (PSM) was used to balance baseline differences between the two groups. Cox regression analysis was performed to identify independent risk factors for these patients, and Kaplan-Meier (KM) analysis was used to assess survival differences in overall survival (OS) and breast cancer-specific survival (BCSS) between the BCS and BCS + SLNB groups.

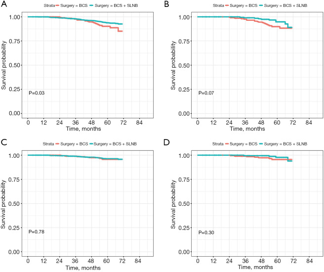
Results: This study included 1,470 BC patients, with 215 undergoing BCS and 1,255 undergoing BCS + SLNB. The BCS group had less aggressive tumors and was older on average. Cox regression analysis of patients' OS and BCSS showed that SLNB was not an independent risk factor for patients. Before PSM, SLNB was associated with improved OS in patients; however, after PSM, this statistical difference disappeared. Subgroup analysis by T staging also indicated no impact of SLNB on OS or BCSS, supporting the feasibility of omitting SLNB for clinically node-negative (cN0) patients.

Conclusions: This study, using the SEER database, found that SLNB did not impact the prognosis of cT1-2N0M0 BC patients, regardless of T stage. This supports previous findings that these patients may avoid axillary surgery without compromising outcomes.

Abstract Image

Abstract Image

Abstract Image

评估前哨淋巴结活检在cT1-2N0M0乳腺癌中的作用:一项基于seer的研究
背景:腋窝淋巴结分期在乳腺癌(BC)治疗中至关重要。前哨淋巴结活检(SLNB)相比腋窝淋巴结清扫(ALND)减少并发症。最近的试验表明,对于早期患者,省略SLNB可能是可行的。本研究使用监测、流行病学和最终结果(SEER)数据库验证了cT1-2N0M0患者的这些发现,并探讨了肿瘤T分期与SLNB之间的关系。方法:我们根据纳入和排除标准从SEER数据库中选择cT1-2N0M0期行保乳手术(BCS)或BCS + SLNB的BC患者。倾向评分匹配(PSM)用于平衡两组之间的基线差异。采用Cox回归分析确定这些患者的独立危险因素,并采用Kaplan-Meier (KM)分析评估BCS组和BCS + SLNB组的总生存期(OS)和乳腺癌特异性生存期(BCSS)的生存差异。结果:本研究纳入1470例BC患者,其中215例接受BCS, 1255例接受BCS + SLNB。BCS组的肿瘤侵袭性较小,平均年龄更大。患者OS和BCSS的Cox回归分析显示,SLNB不是患者的独立危险因素。PSM前,SLNB与患者OS改善相关;然而,PSM后,这种统计差异消失。T分期亚组分析也显示SLNB对OS或BCSS没有影响,支持临床淋巴结阴性(cN0)患者省略SLNB的可行性。结论:本研究使用SEER数据库发现,无论T分期如何,SLNB均不影响cT1-2N0M0 BC患者的预后。这支持了先前的研究结果,即这些患者可以避免腋窝手术而不会影响预后。
本文章由计算机程序翻译,如有差异,请以英文原文为准。
求助全文
约1分钟内获得全文 求助全文
来源期刊
Gland surgery
Gland surgery Medicine-Surgery
CiteScore
3.60
自引率
0.00%
发文量
113
期刊介绍: Gland Surgery (Gland Surg; GS, Print ISSN 2227-684X; Online ISSN 2227-8575) being indexed by PubMed/PubMed Central, is an open access, peer-review journal launched at May of 2012, published bio-monthly since February 2015.
×
引用
GB/T 7714-2015
复制
MLA
复制
APA
复制
导出至
BibTeX EndNote RefMan NoteFirst NoteExpress
×
提示
您的信息不完整,为了账户安全,请先补充。
现在去补充
×
提示
您因"违规操作"
具体请查看互助需知
我知道了
×
提示
确定
请完成安全验证×
copy
已复制链接
快去分享给好友吧!
我知道了
右上角分享
点击右上角分享
0
联系我们:info@booksci.cn Book学术提供免费学术资源搜索服务,方便国内外学者检索中英文文献。致力于提供最便捷和优质的服务体验。 Copyright © 2023 布克学术 All rights reserved.
京ICP备2023020795号-1
ghs 京公网安备 11010802042870号
Book学术文献互助
Book学术文献互助群
群 号:604180095
Book学术官方微信