Immediate lymphatic reconstruction (ILR) for prevention of secondary lymphedema after breast cancer surgery: a systematic review and meta‑analysis.

IF 1.6 3区 医学 Q3 SURGERY
Gland surgery Pub Date : 2025-08-31 Epub Date: 2025-08-26 DOI:10.21037/gs-2025-40
Zhiting He, Lijuan Zhang, Shanshan Huang, Yi Xie, Yu Qiu, Linyu Wu, Xinhua Xie
{"title":"Immediate lymphatic reconstruction (ILR) for prevention of secondary lymphedema after breast cancer surgery: a systematic review and meta‑analysis.","authors":"Zhiting He, Lijuan Zhang, Shanshan Huang, Yi Xie, Yu Qiu, Linyu Wu, Xinhua Xie","doi":"10.21037/gs-2025-40","DOIUrl":null,"url":null,"abstract":"<p><strong>Background: </strong>The most common chronic complication following breast cancer surgery is breast cancer-related lymphedema (BCRL). Lymphovenous anastomosis (LVA) is a surgical treatment for lymphedema, but it could not cure lymphedema. Immediate lymphatic reconstruction (ILR) has been shown in early studies to reduce the risk of BCRL. The objective of this study is to detail the impact of ILR on the incidence of BCRL and to summarize the current opportunities and challenges of ILR.</p><p><strong>Methods: </strong>We performed a systematic review through September 2024 of the Web of Science, Embase, and PubMed databases. There were cohort studies that documented the incidence of BCRL having undergone ILR. BCRL occurrences between the ILR and no ILR group were compared using a comparative meta-analysis of five studies. Additionally, a single percentage meta-analysis was conducted using 12 papers that documented the events of BCRL after ILR.</p><p><strong>Results: </strong>The 12 papers included all met the criteria for analysis. The incidence of BCRL in the no ILR group was higher than that in the ILR group, according to a comparative meta-analysis, and there was a statistically significant difference [odds ratio (OR): 0.14; 95% confidence interval (CI): 0.08-0.24; P<0.001]. Besides, the incidence of BCRL of the IRL group was 8.6% (95% CI: 6-12%), according to a meta-analysis of single percentages. The results of the subgroup analysis showed that follow-up time of less than 1 year or more than 1 year after ILR was not significantly associated with the incidence of BCRL (P=0.40).</p><p><strong>Conclusions: </strong>There is a definite indication that ILR is beneficial in preventing BCRL. This might be a helpful intervention for improving the quality of life of breast cancer survivors.</p>","PeriodicalId":12760,"journal":{"name":"Gland surgery","volume":"14 8","pages":"1539-1548"},"PeriodicalIF":1.6000,"publicationDate":"2025-08-31","publicationTypes":"Journal Article","fieldsOfStudy":null,"isOpenAccess":false,"openAccessPdf":"https://www.ncbi.nlm.nih.gov/pmc/articles/PMC12432931/pdf/","citationCount":"0","resultStr":null,"platform":"Semanticscholar","paperid":null,"PeriodicalName":"Gland surgery","FirstCategoryId":"3","ListUrlMain":"https://doi.org/10.21037/gs-2025-40","RegionNum":3,"RegionCategory":"医学","ArticlePicture":[],"TitleCN":null,"AbstractTextCN":null,"PMCID":null,"EPubDate":"2025/8/26 0:00:00","PubModel":"Epub","JCR":"Q3","JCRName":"SURGERY","Score":null,"Total":0}
引用次数: 0

Abstract

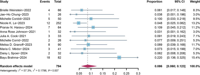
Background: The most common chronic complication following breast cancer surgery is breast cancer-related lymphedema (BCRL). Lymphovenous anastomosis (LVA) is a surgical treatment for lymphedema, but it could not cure lymphedema. Immediate lymphatic reconstruction (ILR) has been shown in early studies to reduce the risk of BCRL. The objective of this study is to detail the impact of ILR on the incidence of BCRL and to summarize the current opportunities and challenges of ILR.

Methods: We performed a systematic review through September 2024 of the Web of Science, Embase, and PubMed databases. There were cohort studies that documented the incidence of BCRL having undergone ILR. BCRL occurrences between the ILR and no ILR group were compared using a comparative meta-analysis of five studies. Additionally, a single percentage meta-analysis was conducted using 12 papers that documented the events of BCRL after ILR.

Results: The 12 papers included all met the criteria for analysis. The incidence of BCRL in the no ILR group was higher than that in the ILR group, according to a comparative meta-analysis, and there was a statistically significant difference [odds ratio (OR): 0.14; 95% confidence interval (CI): 0.08-0.24; P<0.001]. Besides, the incidence of BCRL of the IRL group was 8.6% (95% CI: 6-12%), according to a meta-analysis of single percentages. The results of the subgroup analysis showed that follow-up time of less than 1 year or more than 1 year after ILR was not significantly associated with the incidence of BCRL (P=0.40).

Conclusions: There is a definite indication that ILR is beneficial in preventing BCRL. This might be a helpful intervention for improving the quality of life of breast cancer survivors.

Abstract Image

Abstract Image

Abstract Image

即时淋巴重建(ILR)预防乳腺癌手术后继发性淋巴水肿:一项系统综述和荟萃分析
背景:乳腺癌手术后最常见的慢性并发症是乳腺癌相关淋巴水肿(BCRL)。淋巴静脉吻合术(LVA)是治疗淋巴水肿的一种外科方法,但不能完全治愈淋巴水肿。早期研究显示,即时淋巴重建(ILR)可降低BCRL的风险。本研究的目的是详细介绍ILR对BCRL发病率的影响,并总结当前ILR的机遇和挑战。方法:我们对Web of Science、Embase和PubMed数据库进行了到2024年9月的系统综述。有队列研究记录了BCRL发生ILR的发生率。采用五项研究的比较荟萃分析,比较有ILR组和无ILR组之间的BCRL发生率。此外,对记录ILR后BCRL事件的12篇论文进行了单百分比荟萃分析。结果:纳入的12篇论文均符合分析标准。对照荟萃分析显示,无ILR组BCRL发生率高于ILR组,差异有统计学意义[优势比(OR): 0.14;95%置信区间(CI): 0.08-0.24;结论:有明确的迹象表明ILR对预防BCRL有益。这可能是一种有助于改善乳腺癌幸存者生活质量的干预措施。
本文章由计算机程序翻译,如有差异,请以英文原文为准。
求助全文
约1分钟内获得全文 求助全文
来源期刊
Gland surgery
Gland surgery Medicine-Surgery
CiteScore
3.60
自引率
0.00%
发文量
113
期刊介绍: Gland Surgery (Gland Surg; GS, Print ISSN 2227-684X; Online ISSN 2227-8575) being indexed by PubMed/PubMed Central, is an open access, peer-review journal launched at May of 2012, published bio-monthly since February 2015.
×
引用
GB/T 7714-2015
复制
MLA
复制
APA
复制
导出至
BibTeX EndNote RefMan NoteFirst NoteExpress
×
提示
您的信息不完整,为了账户安全,请先补充。
现在去补充
×
提示
您因"违规操作"
具体请查看互助需知
我知道了
×
提示
确定
请完成安全验证×
copy
已复制链接
快去分享给好友吧!
我知道了
右上角分享
点击右上角分享
0
联系我们:info@booksci.cn Book学术提供免费学术资源搜索服务,方便国内外学者检索中英文文献。致力于提供最便捷和优质的服务体验。 Copyright © 2023 布克学术 All rights reserved.
京ICP备2023020795号-1
ghs 京公网安备 11010802042870号
Book学术文献互助
Book学术文献互助群
群 号:604180095
Book学术官方微信