Performance of Natural Language Processing for Information Extraction From Electronic Health Records Within Cancer: Systematic Review.

IF 3.8 3区 医学 Q2 MEDICAL INFORMATICS
Simon Dahl, Martin Bøgsted, Tomer Sagi, Charles Vesteghem
{"title":"Performance of Natural Language Processing for Information Extraction From Electronic Health Records Within Cancer: Systematic Review.","authors":"Simon Dahl, Martin Bøgsted, Tomer Sagi, Charles Vesteghem","doi":"10.2196/68707","DOIUrl":null,"url":null,"abstract":"<p><strong>Background: </strong>Over the last decade, natural language processing (NLP) has provided various solutions for information extraction (IE) from textual clinical data. In recent years, the use of NLP in cancer research has gained considerable attention, with numerous studies exploring the effectiveness of various NLP techniques for identifying and extracting cancer-related entities from clinical text data.</p><p><strong>Objective: </strong>We aimed to summarize the performance differences between various NLP models for IE within the context of cancer to provide an overview of the relative performance of existing models.</p><p><strong>Methods: </strong>This systematic literature review was conducted using 3 databases (PubMed, Scopus, and Web of Science) to search for articles extracting cancer-related entities from clinical texts. In total, 33 articles were eligible for inclusion. We extracted NLP models and their performance by F1-scores. Each model was categorized into the following categories: rule-based, traditional machine learning, conditional random field-based, neural network, and bidirectional transformer (BT). The average of the performance difference for each combination of categorizations was calculated across all articles.</p><p><strong>Results: </strong>The articles covered various scenarios, with the best performance for each article ranging from 0.355 to 0.985 in F1-score. Examining the overall relative performances, the BT category outperformed every other category (average F1-score between 0.2335 and 0.0439). The percentage of articles on implementing BTs has increased over the years.</p><p><strong>Conclusions: </strong>NLP has demonstrated the ability to identify and extract cancer-related entities from unstructured textual data. Generally, more advanced models outperform less advanced ones. The BT category performed the best.</p>","PeriodicalId":56334,"journal":{"name":"JMIR Medical Informatics","volume":"13 ","pages":"e68707"},"PeriodicalIF":3.8000,"publicationDate":"2025-09-12","publicationTypes":"Journal Article","fieldsOfStudy":null,"isOpenAccess":false,"openAccessPdf":"https://www.ncbi.nlm.nih.gov/pmc/articles/PMC12431712/pdf/","citationCount":"0","resultStr":null,"platform":"Semanticscholar","paperid":null,"PeriodicalName":"JMIR Medical Informatics","FirstCategoryId":"3","ListUrlMain":"https://doi.org/10.2196/68707","RegionNum":3,"RegionCategory":"医学","ArticlePicture":[],"TitleCN":null,"AbstractTextCN":null,"PMCID":null,"EPubDate":"","PubModel":"","JCR":"Q2","JCRName":"MEDICAL INFORMATICS","Score":null,"Total":0}
引用次数: 0

Abstract

Background: Over the last decade, natural language processing (NLP) has provided various solutions for information extraction (IE) from textual clinical data. In recent years, the use of NLP in cancer research has gained considerable attention, with numerous studies exploring the effectiveness of various NLP techniques for identifying and extracting cancer-related entities from clinical text data.

Objective: We aimed to summarize the performance differences between various NLP models for IE within the context of cancer to provide an overview of the relative performance of existing models.

Methods: This systematic literature review was conducted using 3 databases (PubMed, Scopus, and Web of Science) to search for articles extracting cancer-related entities from clinical texts. In total, 33 articles were eligible for inclusion. We extracted NLP models and their performance by F1-scores. Each model was categorized into the following categories: rule-based, traditional machine learning, conditional random field-based, neural network, and bidirectional transformer (BT). The average of the performance difference for each combination of categorizations was calculated across all articles.

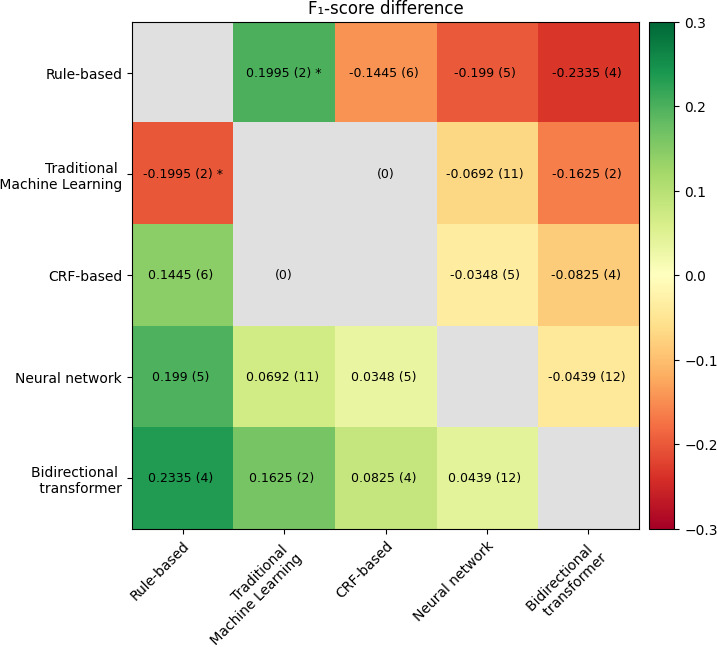
Results: The articles covered various scenarios, with the best performance for each article ranging from 0.355 to 0.985 in F1-score. Examining the overall relative performances, the BT category outperformed every other category (average F1-score between 0.2335 and 0.0439). The percentage of articles on implementing BTs has increased over the years.

Conclusions: NLP has demonstrated the ability to identify and extract cancer-related entities from unstructured textual data. Generally, more advanced models outperform less advanced ones. The BT category performed the best.

Abstract Image

Abstract Image

Abstract Image

自然语言处理在癌症电子健康记录信息提取中的表现:系统综述。
背景:在过去的十年中,自然语言处理(NLP)为临床文本数据的信息提取(IE)提供了多种解决方案。近年来,NLP在癌症研究中的应用获得了相当大的关注,许多研究探索了各种NLP技术从临床文本数据中识别和提取癌症相关实体的有效性。目的:我们旨在总结癌症背景下IE的各种NLP模型之间的性能差异,以概述现有模型的相对性能。方法:采用PubMed、Scopus和Web of Science 3个数据库进行系统文献综述,检索从临床文献中提取癌症相关实体的文章。总共有33篇文章符合纳入条件。我们通过f1分数提取NLP模型及其性能。每个模型分为以下几类:基于规则、传统机器学习、基于条件随机场、神经网络和双向变压器(BT)。计算了所有文章中每种分类组合的性能差异的平均值。结果:文章涵盖了多种场景,每篇文章的最佳表现在f1得分0.355 ~ 0.985之间。从整体相对表现来看,BT类别的表现优于其他所有类别(平均f1得分在0.2335至0.0439之间)。多年来,关于实施bt的文章的百分比有所增加。结论:NLP已经证明了从非结构化文本数据中识别和提取癌症相关实体的能力。一般来说,更先进的模型比不那么先进的模型表现更好。BT类表现最好。
本文章由计算机程序翻译,如有差异,请以英文原文为准。
求助全文
约1分钟内获得全文 求助全文
来源期刊
JMIR Medical Informatics
JMIR Medical Informatics Medicine-Health Informatics
CiteScore
7.90
自引率
3.10%
发文量
173
审稿时长
12 weeks
期刊介绍: JMIR Medical Informatics (JMI, ISSN 2291-9694) is a top-rated, tier A journal which focuses on clinical informatics, big data in health and health care, decision support for health professionals, electronic health records, ehealth infrastructures and implementation. It has a focus on applied, translational research, with a broad readership including clinicians, CIOs, engineers, industry and health informatics professionals. Published by JMIR Publications, publisher of the Journal of Medical Internet Research (JMIR), the leading eHealth/mHealth journal (Impact Factor 2016: 5.175), JMIR Med Inform has a slightly different scope (emphasizing more on applications for clinicians and health professionals rather than consumers/citizens, which is the focus of JMIR), publishes even faster, and also allows papers which are more technical or more formative than what would be published in the Journal of Medical Internet Research.
×
引用
GB/T 7714-2015
复制
MLA
复制
APA
复制
导出至
BibTeX EndNote RefMan NoteFirst NoteExpress
×
提示
您的信息不完整,为了账户安全,请先补充。
现在去补充
×
提示
您因"违规操作"
具体请查看互助需知
我知道了
×
提示
确定
请完成安全验证×
copy
已复制链接
快去分享给好友吧!
我知道了
右上角分享
点击右上角分享
0
联系我们:info@booksci.cn Book学术提供免费学术资源搜索服务,方便国内外学者检索中英文文献。致力于提供最便捷和优质的服务体验。 Copyright © 2023 布克学术 All rights reserved.
京ICP备2023020795号-1
ghs 京公网安备 11010802042870号
Book学术文献互助
Book学术文献互助群
群 号:604180095
Book学术官方微信