Computed tomography-derived radiomics models for distinguishing difficult-to-diagnose inflammatory and malignant pulmonary nodules.

IF 3.1 Q3 ENGINEERING, BIOMEDICAL
Biomedical Engineering and Computational Biology Pub Date : 2025-09-09 eCollection Date: 2025-01-01 DOI:10.1177/11795972251371467
Shaohong Wu, Xiaoyan Wang, Wenli Shan, Jiao Ren, Lili Guo
{"title":"Computed tomography-derived radiomics models for distinguishing difficult-to-diagnose inflammatory and malignant pulmonary nodules.","authors":"Shaohong Wu, Xiaoyan Wang, Wenli Shan, Jiao Ren, Lili Guo","doi":"10.1177/11795972251371467","DOIUrl":null,"url":null,"abstract":"<p><strong>Background: </strong>CT signs of inflammatory and malignant pulmonary nodules are shared and often confused, leading to difficulties in clinical differentiation. Previous relevant studies have neglected to explore the reclassification of morphological signs. This study was designed to evaluate radiomics based on CT images for distinguishing difficult-to-diagnose inflammatory and malignant pulmonary nodules.</p><p><strong>Methods: </strong>This retrospective study included 333 patients with malignant pulmonary nodules (Mn) and 161 patients with inflammatory pulmonary nodules (In) who were pathologically diagnosed between January 2017 and February 2024. According to whether the CT signs of pulmonary nodules were typical (typical: A or atypical: B), they were further divided into typical malignant nodules (MnA), atypical malignant nodules (MnB), typical inflammatory nodules (InA) and atypical inflammatory nodules (InB). Group 1 (MnA/InA), group 2 (InA/MnB), group 3 (MnA/InB), and group 4 (MnB/InB) were obtained by pairwise comparison. Clinical models, radiomics models and nomogram models were established for each group. The model performance was evaluated by the area under the curve (AUC), accuracy, sensitivity and specificity. The AUCs of the models were compared by using the DeLong test.</p><p><strong>Results: </strong>In the test set, the AUC values ranged from 0.63 to 0.82. In each group, the nomogram model had the highest diagnostic efficiency and had high accuracy, sensitivity and specificity. For group 3, the nomogram model had the best diagnostic ability (training set: AUC, 0.83; 95% CI [0.75-0.90]; accuracy, 0.72; sensitivity, 0.70; specificity, 0.84, test set: AUC, 0.82; 95% CI [0.70-0.94]; accuracy, 0.65; sensitivity, 0.96).</p><p><strong>Conclusions: </strong>The nomogram model was useful in diagnosing inflammatory and malignant nodules with typical or atypical signs, especially those with malignant signs, yielding a better classification performance than the radiomics and clinical model.</p>","PeriodicalId":42484,"journal":{"name":"Biomedical Engineering and Computational Biology","volume":"16 ","pages":"11795972251371467"},"PeriodicalIF":3.1000,"publicationDate":"2025-09-09","publicationTypes":"Journal Article","fieldsOfStudy":null,"isOpenAccess":false,"openAccessPdf":"https://www.ncbi.nlm.nih.gov/pmc/articles/PMC12420971/pdf/","citationCount":"0","resultStr":null,"platform":"Semanticscholar","paperid":null,"PeriodicalName":"Biomedical Engineering and Computational Biology","FirstCategoryId":"1085","ListUrlMain":"https://doi.org/10.1177/11795972251371467","RegionNum":0,"RegionCategory":null,"ArticlePicture":[],"TitleCN":null,"AbstractTextCN":null,"PMCID":null,"EPubDate":"2025/1/1 0:00:00","PubModel":"eCollection","JCR":"Q3","JCRName":"ENGINEERING, BIOMEDICAL","Score":null,"Total":0}
引用次数: 0

Abstract

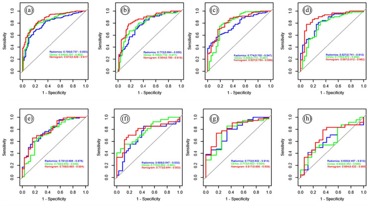
Background: CT signs of inflammatory and malignant pulmonary nodules are shared and often confused, leading to difficulties in clinical differentiation. Previous relevant studies have neglected to explore the reclassification of morphological signs. This study was designed to evaluate radiomics based on CT images for distinguishing difficult-to-diagnose inflammatory and malignant pulmonary nodules.

Methods: This retrospective study included 333 patients with malignant pulmonary nodules (Mn) and 161 patients with inflammatory pulmonary nodules (In) who were pathologically diagnosed between January 2017 and February 2024. According to whether the CT signs of pulmonary nodules were typical (typical: A or atypical: B), they were further divided into typical malignant nodules (MnA), atypical malignant nodules (MnB), typical inflammatory nodules (InA) and atypical inflammatory nodules (InB). Group 1 (MnA/InA), group 2 (InA/MnB), group 3 (MnA/InB), and group 4 (MnB/InB) were obtained by pairwise comparison. Clinical models, radiomics models and nomogram models were established for each group. The model performance was evaluated by the area under the curve (AUC), accuracy, sensitivity and specificity. The AUCs of the models were compared by using the DeLong test.

Results: In the test set, the AUC values ranged from 0.63 to 0.82. In each group, the nomogram model had the highest diagnostic efficiency and had high accuracy, sensitivity and specificity. For group 3, the nomogram model had the best diagnostic ability (training set: AUC, 0.83; 95% CI [0.75-0.90]; accuracy, 0.72; sensitivity, 0.70; specificity, 0.84, test set: AUC, 0.82; 95% CI [0.70-0.94]; accuracy, 0.65; sensitivity, 0.96).

Conclusions: The nomogram model was useful in diagnosing inflammatory and malignant nodules with typical or atypical signs, especially those with malignant signs, yielding a better classification performance than the radiomics and clinical model.

Abstract Image

Abstract Image

Abstract Image

计算机断层扫描衍生的放射组学模型用于区分难以诊断的炎性和恶性肺结节。
背景:肺炎性结节和恶性结节的CT征象是共同的,且常混淆,给临床鉴别带来困难。以往的相关研究忽略了对形态符号再分类的探讨。本研究旨在评估基于CT图像的放射组学,以区分难以诊断的炎性和恶性肺结节。方法:回顾性研究2017年1月至2024年2月病理诊断的333例恶性肺结节(Mn)和161例炎性肺结节(In)患者。根据肺结节的CT征象是否典型(典型:A或不典型:B),进一步分为典型恶性结节(MnA)、不典型恶性结节(MnB)、典型炎性结节(InA)和不典型炎性结节(InB)。两两比较得到第1组(MnA/InA)、第2组(InA/MnB)、第3组(MnA/InB)和第4组(MnB/InB)。各组分别建立临床模型、放射组学模型和nomogram模型。通过曲线下面积(AUC)、准确性、敏感性和特异性评价模型的性能。采用DeLong检验对各模型的auc进行比较。结果:在测试集中,AUC值在0.63 ~ 0.82之间。在各组中,nomogram模型的诊断效率最高,且具有较高的准确性、敏感性和特异性。对于第3组,nomogram model具有最佳的诊断能力(训练集:AUC, 0.83; 95% CI[0.75 ~ 0.90];准确度,0.72;敏感性,0.70;特异性,0.84,检验集:AUC, 0.82; 95% CI[0.70 ~ 0.94];准确度,0.65;敏感性,0.96)。结论:nomogram模型在诊断典型或非典型征象的炎性及恶性结节,尤其是有恶性征象的炎性及恶性结节时具有较好的分类效果,优于放射组学和临床模型。
本文章由计算机程序翻译,如有差异,请以英文原文为准。
求助全文
约1分钟内获得全文 求助全文
来源期刊
自引率
0.00%
发文量
1
审稿时长
8 weeks
×
引用
GB/T 7714-2015
复制
MLA
复制
APA
复制
导出至
BibTeX EndNote RefMan NoteFirst NoteExpress
×
提示
您的信息不完整,为了账户安全,请先补充。
现在去补充
×
提示
您因"违规操作"
具体请查看互助需知
我知道了
×
提示
确定
请完成安全验证×
copy
已复制链接
快去分享给好友吧!
我知道了
右上角分享
点击右上角分享
0
联系我们:info@booksci.cn Book学术提供免费学术资源搜索服务,方便国内外学者检索中英文文献。致力于提供最便捷和优质的服务体验。 Copyright © 2023 布克学术 All rights reserved.
京ICP备2023020795号-1
ghs 京公网安备 11010802042870号
Book学术文献互助
Book学术文献互助群
群 号:604180095
Book学术官方微信