Modeling of the Plasma Flow in Coaxial Channels of Different Diameters

IF 0.7 4区 物理与天体物理 Q4 PHYSICS, APPLIED
V. M. Skornyakov, S. A. Ladygin, V. D. Telekh
{"title":"Modeling of the Plasma Flow in Coaxial Channels of Different Diameters","authors":"V. M. Skornyakov,&nbsp;S. A. Ladygin,&nbsp;V. D. Telekh","doi":"10.1134/S1063784225600328","DOIUrl":null,"url":null,"abstract":"<p>Mathematical modeling of a plasma flow in coaxial channels with different outer electrode diameters is considered. A numerical model for determining the distribution of density, velocity, and magnetic fields in a channel is proposed based on the system of differential equations describing the mass, momentum, and energy conservation laws. Computational experiments show that depending on the outer electrode diameter, the location of the region of elevated density and velocity field changes, leading to variation of the time of emergence of the main mass of the plasma from the channel, as well as its value and velocity. For complex assessment of these parameters, the plasma momentum in the output cross section is calculated. The performed analysis demonstrates the existence of an optimal value of the outer electrode diameter, for which the maximal magnitude of the momentum is achieved.</p>","PeriodicalId":783,"journal":{"name":"Technical Physics","volume":"70 6","pages":"173 - 179"},"PeriodicalIF":0.7000,"publicationDate":"2025-07-30","publicationTypes":"Journal Article","fieldsOfStudy":null,"isOpenAccess":false,"openAccessPdf":"","citationCount":"0","resultStr":null,"platform":"Semanticscholar","paperid":null,"PeriodicalName":"Technical Physics","FirstCategoryId":"101","ListUrlMain":"https://link.springer.com/article/10.1134/S1063784225600328","RegionNum":4,"RegionCategory":"物理与天体物理","ArticlePicture":[],"TitleCN":null,"AbstractTextCN":null,"PMCID":null,"EPubDate":"","PubModel":"","JCR":"Q4","JCRName":"PHYSICS, APPLIED","Score":null,"Total":0}
引用次数: 0

Abstract

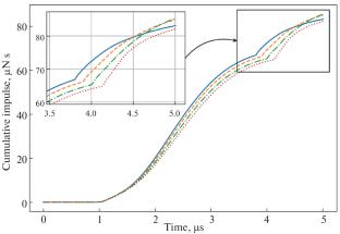
Mathematical modeling of a plasma flow in coaxial channels with different outer electrode diameters is considered. A numerical model for determining the distribution of density, velocity, and magnetic fields in a channel is proposed based on the system of differential equations describing the mass, momentum, and energy conservation laws. Computational experiments show that depending on the outer electrode diameter, the location of the region of elevated density and velocity field changes, leading to variation of the time of emergence of the main mass of the plasma from the channel, as well as its value and velocity. For complex assessment of these parameters, the plasma momentum in the output cross section is calculated. The performed analysis demonstrates the existence of an optimal value of the outer electrode diameter, for which the maximal magnitude of the momentum is achieved.

Abstract Image

Abstract Image

不同直径同轴通道中等离子体流动的建模
研究了具有不同外电极直径的同轴通道中等离子体流动的数学模型。基于描述质量、动量和能量守恒定律的微分方程组,提出了一种确定通道中密度、速度和磁场分布的数值模型。计算实验表明,随着外电极直径的变化,密度和速度场升高区域的位置会发生变化,从而导致等离子体主质量从通道中出现的时间以及其值和速度发生变化。为了对这些参数进行复杂的评估,计算了输出截面的等离子体动量。所进行的分析表明,存在一个最佳值的外电极直径,为实现最大的幅度的动量。
本文章由计算机程序翻译,如有差异,请以英文原文为准。
求助全文
约1分钟内获得全文 求助全文
来源期刊
Technical Physics
Technical Physics 物理-物理:应用
CiteScore
1.30
自引率
14.30%
发文量
139
审稿时长
3-6 weeks
期刊介绍: Technical Physics is a journal that contains practical information on all aspects of applied physics, especially instrumentation and measurement techniques. Particular emphasis is put on plasma physics and related fields such as studies of charged particles in electromagnetic fields, synchrotron radiation, electron and ion beams, gas lasers and discharges. Other journal topics are the properties of condensed matter, including semiconductors, superconductors, gases, liquids, and different materials.
×
引用
GB/T 7714-2015
复制
MLA
复制
APA
复制
导出至
BibTeX EndNote RefMan NoteFirst NoteExpress
×
提示
您的信息不完整,为了账户安全,请先补充。
现在去补充
×
提示
您因"违规操作"
具体请查看互助需知
我知道了
×
提示
确定
请完成安全验证×
copy
已复制链接
快去分享给好友吧!
我知道了
右上角分享
点击右上角分享
0
联系我们:info@booksci.cn Book学术提供免费学术资源搜索服务,方便国内外学者检索中英文文献。致力于提供最便捷和优质的服务体验。 Copyright © 2023 布克学术 All rights reserved.
京ICP备2023020795号-1
ghs 京公网安备 11010802042870号
Book学术文献互助
Book学术文献互助群
群 号:604180095
Book学术官方微信