Dispersion Analysis of Love-Type Waves in a Multilayered Piezomagnetic-Heterogeneous Structure with a Viscous Liquid Layer

IF 0.9 4区 工程技术 Q4 MECHANICS
Seema, Abhinav Singhal, Umang Bareja
{"title":"Dispersion Analysis of Love-Type Waves in a Multilayered Piezomagnetic-Heterogeneous Structure with a Viscous Liquid Layer","authors":"Seema,&nbsp;Abhinav Singhal,&nbsp;Umang Bareja","doi":"10.1134/S0025654424607158","DOIUrl":null,"url":null,"abstract":"<p><i>Purpose.</i> This paper examines Love-type wave transmission in a multilayered piezomagnetic (PM) and heterogeneous half-space (HHS) structure with a viscoelastic layer (VL) on top. Wave transmission behaviour is examined in magnetically open (MO) and magnetically closed (MS) circuit boundary conditions. The main study focuses on the dispersion behaviour of phase velocity of a Love-type wave influenced by the combination of VL, PM and HHS.</p><p>The dispersion relation for Love-type waves was determined analytically, and phase velocity graphs were plotted and analysed using numerical simulations with Mathematica software. A comprehensive study was conducted to acquire the effects of significant variables on phase velocity, including material heterogeneity, piezomagnetic coupling, and viscoelastic layer thickness.</p><p>The research results show the attenuation properties of the VL, PM, and HHS materials in MO and MS situations. Graphical comparisons show that piezomagnetic coupling caused the phase velocity curves to alter regularly, indicating its importance in wave propagation. The open and short circuit situations had nearly identical phase velocity, demonstrating that boundary limitations have little effect on how waves propagate.</p><p>The model is limited to linear wave transmission and ignores nonlinear effects. Furthermore, the approach is based on idealized material qualities, which account for heterogeneity.</p><p>The study’s findings can help build and improve energy harvesters, sensors, and wave manipulation instruments that use PM with viscoelastic coatings. Understanding the behaviour of surface waves is required for effective use in these structures.</p><p>This article investigates Love-type surface wave transmission in a VL-PM-HHS composite structure that includes a viscoelastic layer, piezomagnetic material, and a heterogeneous half-space. It explores how material heterogeneity, piezomagnetic coupling, and viscoelastic attenuation affect phase velocity under magnetic circumstances.</p>","PeriodicalId":697,"journal":{"name":"Mechanics of Solids","volume":"60 3","pages":"2135 - 2149"},"PeriodicalIF":0.9000,"publicationDate":"2025-08-01","publicationTypes":"Journal Article","fieldsOfStudy":null,"isOpenAccess":false,"openAccessPdf":"","citationCount":"0","resultStr":null,"platform":"Semanticscholar","paperid":null,"PeriodicalName":"Mechanics of Solids","FirstCategoryId":"5","ListUrlMain":"https://link.springer.com/article/10.1134/S0025654424607158","RegionNum":4,"RegionCategory":"工程技术","ArticlePicture":[],"TitleCN":null,"AbstractTextCN":null,"PMCID":null,"EPubDate":"","PubModel":"","JCR":"Q4","JCRName":"MECHANICS","Score":null,"Total":0}
引用次数: 0

Abstract

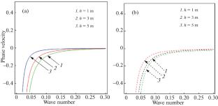
Purpose. This paper examines Love-type wave transmission in a multilayered piezomagnetic (PM) and heterogeneous half-space (HHS) structure with a viscoelastic layer (VL) on top. Wave transmission behaviour is examined in magnetically open (MO) and magnetically closed (MS) circuit boundary conditions. The main study focuses on the dispersion behaviour of phase velocity of a Love-type wave influenced by the combination of VL, PM and HHS.

The dispersion relation for Love-type waves was determined analytically, and phase velocity graphs were plotted and analysed using numerical simulations with Mathematica software. A comprehensive study was conducted to acquire the effects of significant variables on phase velocity, including material heterogeneity, piezomagnetic coupling, and viscoelastic layer thickness.

The research results show the attenuation properties of the VL, PM, and HHS materials in MO and MS situations. Graphical comparisons show that piezomagnetic coupling caused the phase velocity curves to alter regularly, indicating its importance in wave propagation. The open and short circuit situations had nearly identical phase velocity, demonstrating that boundary limitations have little effect on how waves propagate.

The model is limited to linear wave transmission and ignores nonlinear effects. Furthermore, the approach is based on idealized material qualities, which account for heterogeneity.

The study’s findings can help build and improve energy harvesters, sensors, and wave manipulation instruments that use PM with viscoelastic coatings. Understanding the behaviour of surface waves is required for effective use in these structures.

This article investigates Love-type surface wave transmission in a VL-PM-HHS composite structure that includes a viscoelastic layer, piezomagnetic material, and a heterogeneous half-space. It explores how material heterogeneity, piezomagnetic coupling, and viscoelastic attenuation affect phase velocity under magnetic circumstances.

Abstract Image

Abstract Image

具有粘性液体层的多层压磁非均质结构中love型波的色散分析
目的。本文研究了具有粘弹性层(VL)的多层压磁(PM)和非均质半空间(HHS)结构中的love型波传输。研究了磁开(MO)和磁闭(MS)电路边界条件下的波传输行为。主要研究了在VL、PM和HHS组合作用下love型波相速度的色散行为。分析确定了love型波的色散关系,并利用Mathematica软件进行了数值模拟,绘制了相速度图。研究了材料非均质性、压磁耦合、粘弹性层厚度等因素对相速度的影响。研究结果显示了VL、PM和HHS材料在MO和MS情况下的衰减特性。图形对比表明,压磁耦合导致相速度曲线有规律地变化,表明其在波传播中的重要性。开路和短路情况下的相速度几乎相同,表明边界限制对波的传播方式影响不大。该模型只考虑线性波的传输,忽略了非线性效应。此外,该方法是基于理想化的材料质量,这说明了异质性。这项研究的发现可以帮助建造和改进使用粘弹性涂层的PM的能量采集器、传感器和波浪操纵仪器。为了在这些结构中有效地使用,需要了解表面波的行为。本文研究了含有粘弹性层、压磁材料和非均质半空间的VL-PM-HHS复合结构中的love型表面波传输。它探讨了材料的非均质性、压磁耦合和粘弹性衰减如何影响磁环境下的相速度。
本文章由计算机程序翻译,如有差异,请以英文原文为准。
求助全文
约1分钟内获得全文 求助全文
来源期刊
Mechanics of Solids
Mechanics of Solids 医学-力学
CiteScore
1.20
自引率
42.90%
发文量
112
审稿时长
6-12 weeks
期刊介绍: Mechanics of Solids publishes articles in the general areas of dynamics of particles and rigid bodies and the mechanics of deformable solids. The journal has a goal of being a comprehensive record of up-to-the-minute research results. The journal coverage is vibration of discrete and continuous systems; stability and optimization of mechanical systems; automatic control theory; dynamics of multiple body systems; elasticity, viscoelasticity and plasticity; mechanics of composite materials; theory of structures and structural stability; wave propagation and impact of solids; fracture mechanics; micromechanics of solids; mechanics of granular and geological materials; structure-fluid interaction; mechanical behavior of materials; gyroscopes and navigation systems; and nanomechanics. Most of the articles in the journal are theoretical and analytical. They present a blend of basic mechanics theory with analysis of contemporary technological problems.
×
引用
GB/T 7714-2015
复制
MLA
复制
APA
复制
导出至
BibTeX EndNote RefMan NoteFirst NoteExpress
×
提示
您的信息不完整,为了账户安全,请先补充。
现在去补充
×
提示
您因"违规操作"
具体请查看互助需知
我知道了
×
提示
确定
请完成安全验证×
copy
已复制链接
快去分享给好友吧!
我知道了
右上角分享
点击右上角分享
0
联系我们:info@booksci.cn Book学术提供免费学术资源搜索服务,方便国内外学者检索中英文文献。致力于提供最便捷和优质的服务体验。 Copyright © 2023 布克学术 All rights reserved.
京ICP备2023020795号-1
ghs 京公网安备 11010802042870号
Book学术文献互助
Book学术文献互助群
群 号:604180095
Book学术官方微信