Latent class growth mixture modeling of HbA1C trajectories identifies individuals at high risk of developing complications of type 2 diabetes mellitus in the UK Biobank.

IF 4.1 2区 医学 Q2 ENDOCRINOLOGY & METABOLISM
Dale Handley, Alexandra C Gillett, Renu Bala, Jessica Tyrrell, Cathryn M Lewis
{"title":"Latent class growth mixture modeling of HbA1C trajectories identifies individuals at high risk of developing complications of type 2 diabetes mellitus in the UK Biobank.","authors":"Dale Handley, Alexandra C Gillett, Renu Bala, Jessica Tyrrell, Cathryn M Lewis","doi":"10.1136/bmjdrc-2024-004826","DOIUrl":null,"url":null,"abstract":"<p><strong>Introduction: </strong>Frequent glycated hemoglobin A1c (HbA1c) monitoring is recommended in individuals with type 2 diabetes mellitus (T2D). We aimed to identify distinct, long-term HbA1c trajectories following a T2D diagnosis and investigate how these glycemic control trajectories were associated with health-related traits and T2D complications.</p><p><strong>Research design and methods: </strong>A cohort of 12,435 unrelated individuals of European ancestry with T2D was extracted from the UK Biobank data linked to primary care records. Latent class growth mixture modeling was applied to identify classes with similar HbA1c trajectories over the 10 years following T2D diagnosis. Associations between HbA1c class membership and sociodemographic factors, biomarkers, polygenic scores, and T2D-related outcomes, were tested using logistic regression and Cox proportional hazards models.</p><p><strong>Results: </strong>Six HbA1c trajectory classes were identified. The largest class (76.8%) maintained low and stable HbA1c levels over time. Five additional smaller classes with distinct, but more variable, trajectories were found and were associated with younger age at T2D diagnosis, higher fasting glucose levels, higher random glucose levels, higher body mass index polygenic score and increased healthcare use before T2D diagnosis. Relative to the low and stable class, these five showed increased risks of T2D complications, including stroke (HR=1.55 (1.31-1.84)), kidney disease (HR=1.39 (1.27-1.53)), all-cause mortality (HR=1.36 (1.23-1.51)), and progression to combination therapy (HR=3.22 (3.04-3.41)) or insulin (HR=3.21 (2.89-3.55)).</p><p><strong>Conclusion: </strong>Individuals with T2D who show higher and more variable HbA1c trajectories are at increased risk of developing T2D-related complications. Early identification of patients at risk, based on factors such as age at diagnosis and previous healthcare utilization could improve patient outcomes.</p>","PeriodicalId":9151,"journal":{"name":"BMJ Open Diabetes Research & Care","volume":"13 5","pages":""},"PeriodicalIF":4.1000,"publicationDate":"2025-09-08","publicationTypes":"Journal Article","fieldsOfStudy":null,"isOpenAccess":false,"openAccessPdf":"https://www.ncbi.nlm.nih.gov/pmc/articles/PMC12421182/pdf/","citationCount":"0","resultStr":null,"platform":"Semanticscholar","paperid":null,"PeriodicalName":"BMJ Open Diabetes Research & Care","FirstCategoryId":"3","ListUrlMain":"https://doi.org/10.1136/bmjdrc-2024-004826","RegionNum":2,"RegionCategory":"医学","ArticlePicture":[],"TitleCN":null,"AbstractTextCN":null,"PMCID":null,"EPubDate":"","PubModel":"","JCR":"Q2","JCRName":"ENDOCRINOLOGY & METABOLISM","Score":null,"Total":0}
引用次数: 0

Abstract

Introduction: Frequent glycated hemoglobin A1c (HbA1c) monitoring is recommended in individuals with type 2 diabetes mellitus (T2D). We aimed to identify distinct, long-term HbA1c trajectories following a T2D diagnosis and investigate how these glycemic control trajectories were associated with health-related traits and T2D complications.

Research design and methods: A cohort of 12,435 unrelated individuals of European ancestry with T2D was extracted from the UK Biobank data linked to primary care records. Latent class growth mixture modeling was applied to identify classes with similar HbA1c trajectories over the 10 years following T2D diagnosis. Associations between HbA1c class membership and sociodemographic factors, biomarkers, polygenic scores, and T2D-related outcomes, were tested using logistic regression and Cox proportional hazards models.

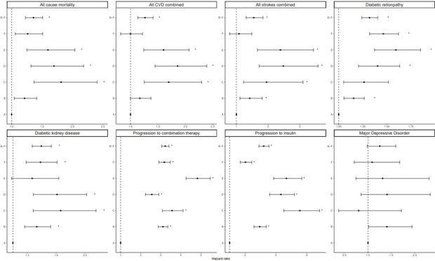
Results: Six HbA1c trajectory classes were identified. The largest class (76.8%) maintained low and stable HbA1c levels over time. Five additional smaller classes with distinct, but more variable, trajectories were found and were associated with younger age at T2D diagnosis, higher fasting glucose levels, higher random glucose levels, higher body mass index polygenic score and increased healthcare use before T2D diagnosis. Relative to the low and stable class, these five showed increased risks of T2D complications, including stroke (HR=1.55 (1.31-1.84)), kidney disease (HR=1.39 (1.27-1.53)), all-cause mortality (HR=1.36 (1.23-1.51)), and progression to combination therapy (HR=3.22 (3.04-3.41)) or insulin (HR=3.21 (2.89-3.55)).

Conclusion: Individuals with T2D who show higher and more variable HbA1c trajectories are at increased risk of developing T2D-related complications. Early identification of patients at risk, based on factors such as age at diagnosis and previous healthcare utilization could improve patient outcomes.

Abstract Image

Abstract Image

在英国生物银行中,HbA1C轨迹的潜在类生长混合模型确定了2型糖尿病并发症的高风险个体。
推荐2型糖尿病(T2D)患者频繁监测糖化血红蛋白(HbA1c)。我们的目的是确定T2D诊断后不同的长期HbA1c轨迹,并研究这些血糖控制轨迹如何与健康相关特征和T2D并发症相关。研究设计和方法:从英国生物银行与初级保健记录相关的数据中提取了12435名无血缘关系的欧洲血统T2D患者。应用潜在类别生长混合模型来确定T2D诊断后10年内HbA1c轨迹相似的类别。使用logistic回归和Cox比例风险模型检验HbA1c类别成员与社会人口学因素、生物标志物、多基因评分和t2d相关结局之间的关系。结果:确定了6种HbA1c轨迹分类。随着时间的推移,最大的一类(76.8%)保持低而稳定的HbA1c水平。另外还发现了5个更小的类别,它们具有不同但更可变的轨迹,并且与T2D诊断时年龄更小、空腹血糖水平更高、随机血糖水平更高、体重指数多基因评分更高以及T2D诊断前医疗保健使用增加有关。与低稳定级患者相比,这5名患者出现T2D并发症的风险增加,包括卒中(HR=1.55(1.31-1.84))、肾脏疾病(HR=1.39(1.27-1.53))、全因死亡率(HR=1.36(1.23-1.51)),以及进展到联合治疗(HR=3.22(3.04-3.41)或胰岛素(HR=3.21(2.89-3.55))。结论:T2D患者HbA1c轨迹较高且变化多者发生T2D相关并发症的风险增加。基于诊断时的年龄和以前的医疗保健利用等因素,早期识别有风险的患者可以改善患者的预后。
本文章由计算机程序翻译,如有差异,请以英文原文为准。
求助全文
约1分钟内获得全文 求助全文
来源期刊
BMJ Open Diabetes Research & Care
BMJ Open Diabetes Research & Care Medicine-Endocrinology, Diabetes and Metabolism
CiteScore
9.30
自引率
2.40%
发文量
123
审稿时长
18 weeks
期刊介绍: BMJ Open Diabetes Research & Care is an open access journal committed to publishing high-quality, basic and clinical research articles regarding type 1 and type 2 diabetes, and associated complications. Only original content will be accepted, and submissions are subject to rigorous peer review to ensure the publication of high-quality — and evidence-based — original research articles.
×
引用
GB/T 7714-2015
复制
MLA
复制
APA
复制
导出至
BibTeX EndNote RefMan NoteFirst NoteExpress
×
提示
您的信息不完整,为了账户安全,请先补充。
现在去补充
×
提示
您因"违规操作"
具体请查看互助需知
我知道了
×
提示
确定
请完成安全验证×
copy
已复制链接
快去分享给好友吧!
我知道了
右上角分享
点击右上角分享
0
联系我们:info@booksci.cn Book学术提供免费学术资源搜索服务,方便国内外学者检索中英文文献。致力于提供最便捷和优质的服务体验。 Copyright © 2023 布克学术 All rights reserved.
京ICP备2023020795号-1
ghs 京公网安备 11010802042870号
Book学术文献互助
Book学术文献互助群
群 号:604180095
Book学术官方微信