Crystallization and crystal morphology of polymers: A multiphase-field study.

IF 3.4 4区 材料科学 Q2 MATERIALS SCIENCE, COMPOSITES
Journal of Thermoplastic Composite Materials Pub Date : 2024-11-05 eCollection Date: 2025-08-01 DOI:10.1177/08927057241296472
Navid Afrasiabian, Ahmed Elmoghazy, Juliane Blarr, Benedikt Scheuring, Andreas Prahs, Daniel Schneider, Wilfried V Liebig, Kay A Weidenmann, Colin Denniston, Britta Nestler
{"title":"Crystallization and crystal morphology of polymers: A multiphase-field study.","authors":"Navid Afrasiabian, Ahmed Elmoghazy, Juliane Blarr, Benedikt Scheuring, Andreas Prahs, Daniel Schneider, Wilfried V Liebig, Kay A Weidenmann, Colin Denniston, Britta Nestler","doi":"10.1177/08927057241296472","DOIUrl":null,"url":null,"abstract":"<p><p>In this paper, we introduce a coarse-grained model of polymer crystallization using a multiphase-field approach. The model combines a multiphase-field method, Nakamura's kinetic equation, and the equation of heat conduction for studying microstructural evolution of crystallization under isothermal and non-isothermal conditions. The multiphase-field method provides flexibility in adding any number of phases with different properties making the model effective in studying blends or composite materials. We apply our model to systems of neat PA6 and study the impact of initial distribution of crystalline grains and cooling rate on the morphology of the system. The relative crystallinity (conversion) curves show qualitative agreement with experimental data. We also investigate the impact of including carbon fibers on the crystallization and grain morphology. We observe a more homogeneous crystal morphology around fibers. This is associated with the higher initial volume fraction of crystal grains and higher heat conductivity of the fiber (compared to the polymer matrix). Additionally, we observe that the crystalline grains at the fiber surface grow perpendicular to the surface. This indicates that the vertical growth observed in experiments is merely due to geometrical constraints imposed by the fiber surface and neighbouring crystalline regions.</p>","PeriodicalId":17446,"journal":{"name":"Journal of Thermoplastic Composite Materials","volume":"38 8","pages":"3020-3050"},"PeriodicalIF":3.4000,"publicationDate":"2024-11-05","publicationTypes":"Journal Article","fieldsOfStudy":null,"isOpenAccess":false,"openAccessPdf":"https://www.ncbi.nlm.nih.gov/pmc/articles/PMC12413894/pdf/","citationCount":"0","resultStr":null,"platform":"Semanticscholar","paperid":null,"PeriodicalName":"Journal of Thermoplastic Composite Materials","FirstCategoryId":"88","ListUrlMain":"https://doi.org/10.1177/08927057241296472","RegionNum":4,"RegionCategory":"材料科学","ArticlePicture":[],"TitleCN":null,"AbstractTextCN":null,"PMCID":null,"EPubDate":"2025/8/1 0:00:00","PubModel":"eCollection","JCR":"Q2","JCRName":"MATERIALS SCIENCE, COMPOSITES","Score":null,"Total":0}
引用次数: 0

Abstract

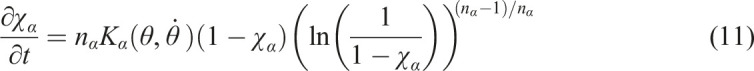
In this paper, we introduce a coarse-grained model of polymer crystallization using a multiphase-field approach. The model combines a multiphase-field method, Nakamura's kinetic equation, and the equation of heat conduction for studying microstructural evolution of crystallization under isothermal and non-isothermal conditions. The multiphase-field method provides flexibility in adding any number of phases with different properties making the model effective in studying blends or composite materials. We apply our model to systems of neat PA6 and study the impact of initial distribution of crystalline grains and cooling rate on the morphology of the system. The relative crystallinity (conversion) curves show qualitative agreement with experimental data. We also investigate the impact of including carbon fibers on the crystallization and grain morphology. We observe a more homogeneous crystal morphology around fibers. This is associated with the higher initial volume fraction of crystal grains and higher heat conductivity of the fiber (compared to the polymer matrix). Additionally, we observe that the crystalline grains at the fiber surface grow perpendicular to the surface. This indicates that the vertical growth observed in experiments is merely due to geometrical constraints imposed by the fiber surface and neighbouring crystalline regions.

Abstract Image

Abstract Image

Abstract Image

聚合物的结晶和晶体形态:多相场研究。
本文采用多相场方法建立了聚合物结晶的粗粒度模型。该模型结合了多相场法、Nakamura动力学方程和热传导方程来研究等温和非等温条件下结晶的微观结构演变。多相场法提供了添加任意数量的具有不同性质的相的灵活性,使该模型有效地研究共混物或复合材料。我们将该模型应用于纯PA6体系,研究了晶粒初始分布和冷却速率对体系形貌的影响。相对结晶度(转化率)曲线与实验数据定性吻合。我们还研究了碳纤维对结晶和晶粒形貌的影响。我们观察到纤维周围的晶体形态更加均匀。这与更高的晶体颗粒初始体积分数和更高的纤维导热性(与聚合物基体相比)有关。此外,我们观察到纤维表面的结晶颗粒垂直于表面生长。这表明在实验中观察到的垂直生长仅仅是由于纤维表面和邻近晶体区域施加的几何约束。
本文章由计算机程序翻译,如有差异,请以英文原文为准。
求助全文
约1分钟内获得全文 求助全文
来源期刊
Journal of Thermoplastic Composite Materials
Journal of Thermoplastic Composite Materials 工程技术-材料科学:复合
CiteScore
8.00
自引率
18.20%
发文量
104
审稿时长
5.9 months
期刊介绍: The Journal of Thermoplastic Composite Materials is a fully peer-reviewed international journal that publishes original research and review articles on polymers, nanocomposites, and particulate-, discontinuous-, and continuous-fiber-reinforced materials in the areas of processing, materials science, mechanics, durability, design, non destructive evaluation and manufacturing science. This journal is a member of the Committee on Publication Ethics (COPE).
×
引用
GB/T 7714-2015
复制
MLA
复制
APA
复制
导出至
BibTeX EndNote RefMan NoteFirst NoteExpress
×
提示
您的信息不完整,为了账户安全,请先补充。
现在去补充
×
提示
您因"违规操作"
具体请查看互助需知
我知道了
×
提示
确定
请完成安全验证×
copy
已复制链接
快去分享给好友吧!
我知道了
右上角分享
点击右上角分享
0
联系我们:info@booksci.cn Book学术提供免费学术资源搜索服务,方便国内外学者检索中英文文献。致力于提供最便捷和优质的服务体验。 Copyright © 2023 布克学术 All rights reserved.
京ICP备2023020795号-1
ghs 京公网安备 11010802042870号
Book学术文献互助
Book学术文献互助群
群 号:604180095
Book学术官方微信