Association between systemic immune-inflammation index and 10-year risk of cardiovascular disease in the United States (NHANES 1999-2018).

IF 2.7 4区 医学 Q2 MEDICINE, RESEARCH & EXPERIMENTAL
Experimental Biology and Medicine Pub Date : 2025-08-21 eCollection Date: 2025-01-01 DOI:10.3389/ebm.2025.10704
Yapan Yang, Runqi Tu, Lijie Zhu, Guian Xu, Tingjie Yang, Qingman Li, Che Wang, Honghui Yang
{"title":"Association between systemic immune-inflammation index and 10-year risk of cardiovascular disease in the United States (NHANES 1999-2018).","authors":"Yapan Yang, Runqi Tu, Lijie Zhu, Guian Xu, Tingjie Yang, Qingman Li, Che Wang, Honghui Yang","doi":"10.3389/ebm.2025.10704","DOIUrl":null,"url":null,"abstract":"<p><p>The relationship between the systemic immune-inflammation index (SII) and the risk of developing cardiovascular disease (CVD) over the next 10 years in the United States is largely unknown. The aim of this study is to assess the association between SII and 10-year CVD risk. This population-based cross-sectional study included 9901 participants aged between 30 and 74 from the National Health and Nutrition Examination Survey (NHANES) 1999-2018. The 10-year CVD risk was calculated using the Framingham cardiovascular risk score (FRS). The Pearson test, generalized linear model (GLM) and restricted cubic splines (RCS) were used to analyze the associations between SII and the FRS. Based on the total population, the Pearson test and GLM revealed that there were positive relationships between Ln-transformed SII (Ln (SII)) and the FRS. After adjusting for confounding factors, the odds ratio (OR) for the FRS was 1.52 (95% confidence interval [CI]: 1.12-2.06) per unit increment in Ln (SII) (<i>P</i> = 0.009). Compared to the lowest quartile (Q1) of Ln (SII), the OR for the FRS in the highest quartile (Q4) was 1.89 (95% CI: 1.20-2.98; <i>P</i> = 0.007). RCS revealed that there was a linear association between Ln (SII) and the FRS (<i>P</i> for non-linearity = 0.972). As Ln (SII) increased, the value of FRS rose gradually (<i>P</i> for overall trend <0.001). However, the relationship between Ln (SII) and FRS showed ethnic heterogeneity. In conclusion, SII exhibits significant associations with 10-year CVD risk as assessed by the FRS. However, this association varies across ethnic groups, necessitating cautious application and further validation.</p>","PeriodicalId":12163,"journal":{"name":"Experimental Biology and Medicine","volume":"250 ","pages":"10704"},"PeriodicalIF":2.7000,"publicationDate":"2025-08-21","publicationTypes":"Journal Article","fieldsOfStudy":null,"isOpenAccess":false,"openAccessPdf":"https://www.ncbi.nlm.nih.gov/pmc/articles/PMC12408401/pdf/","citationCount":"0","resultStr":null,"platform":"Semanticscholar","paperid":null,"PeriodicalName":"Experimental Biology and Medicine","FirstCategoryId":"3","ListUrlMain":"https://doi.org/10.3389/ebm.2025.10704","RegionNum":4,"RegionCategory":"医学","ArticlePicture":[],"TitleCN":null,"AbstractTextCN":null,"PMCID":null,"EPubDate":"2025/1/1 0:00:00","PubModel":"eCollection","JCR":"Q2","JCRName":"MEDICINE, RESEARCH & EXPERIMENTAL","Score":null,"Total":0}
引用次数: 0

Abstract

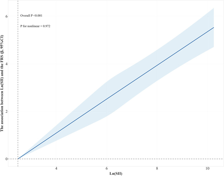
The relationship between the systemic immune-inflammation index (SII) and the risk of developing cardiovascular disease (CVD) over the next 10 years in the United States is largely unknown. The aim of this study is to assess the association between SII and 10-year CVD risk. This population-based cross-sectional study included 9901 participants aged between 30 and 74 from the National Health and Nutrition Examination Survey (NHANES) 1999-2018. The 10-year CVD risk was calculated using the Framingham cardiovascular risk score (FRS). The Pearson test, generalized linear model (GLM) and restricted cubic splines (RCS) were used to analyze the associations between SII and the FRS. Based on the total population, the Pearson test and GLM revealed that there were positive relationships between Ln-transformed SII (Ln (SII)) and the FRS. After adjusting for confounding factors, the odds ratio (OR) for the FRS was 1.52 (95% confidence interval [CI]: 1.12-2.06) per unit increment in Ln (SII) (P = 0.009). Compared to the lowest quartile (Q1) of Ln (SII), the OR for the FRS in the highest quartile (Q4) was 1.89 (95% CI: 1.20-2.98; P = 0.007). RCS revealed that there was a linear association between Ln (SII) and the FRS (P for non-linearity = 0.972). As Ln (SII) increased, the value of FRS rose gradually (P for overall trend <0.001). However, the relationship between Ln (SII) and FRS showed ethnic heterogeneity. In conclusion, SII exhibits significant associations with 10-year CVD risk as assessed by the FRS. However, this association varies across ethnic groups, necessitating cautious application and further validation.

Abstract Image

Abstract Image

Abstract Image

在美国,全身免疫炎症指数与10年心血管疾病风险之间的关系(NHANES 1999-2018)。
在美国,系统免疫炎症指数(SII)与未来10年发生心血管疾病(CVD)的风险之间的关系在很大程度上是未知的。本研究的目的是评估SII与10年心血管疾病风险之间的关系。这项基于人群的横断面研究包括1999-2018年国家健康与营养检查调查(NHANES)中9901名年龄在30至74岁之间的参与者。使用Framingham心血管风险评分(FRS)计算10年心血管疾病风险。采用Pearson检验、广义线性模型(GLM)和限制性三次样条(RCS)分析SII与FRS之间的相关性。基于总体,Pearson检验和GLM结果显示,Ln (SII)与FRS之间存在正相关关系,在调整混杂因素后,FRS的比值比(OR)为1.52(95%置信区间[CI]: 1.12-2.06) / Ln (SII)单位增量(P = 0.009)。与Ln (SII)的最低四分位数(Q1)相比,最高四分位数(Q4)的FRS OR为1.89 (95% CI: 1.20-2.98; P = 0.007)。RCS结果显示,Ln (SII)与FRS呈线性相关(非线性P = 0.972)。随着Ln (SII)的增加,FRS值逐渐升高(总体趋势为P)
本文章由计算机程序翻译,如有差异,请以英文原文为准。
求助全文
约1分钟内获得全文 求助全文
来源期刊
Experimental Biology and Medicine
Experimental Biology and Medicine 医学-医学:研究与实验
CiteScore
6.00
自引率
0.00%
发文量
157
审稿时长
1 months
期刊介绍: Experimental Biology and Medicine (EBM) is a global, peer-reviewed journal dedicated to the publication of multidisciplinary and interdisciplinary research in the biomedical sciences. EBM provides both research and review articles as well as meeting symposia and brief communications. Articles in EBM represent cutting edge research at the overlapping junctions of the biological, physical and engineering sciences that impact upon the health and welfare of the world''s population. Topics covered in EBM include: Anatomy/Pathology; Biochemistry and Molecular Biology; Bioimaging; Biomedical Engineering; Bionanoscience; Cell and Developmental Biology; Endocrinology and Nutrition; Environmental Health/Biomarkers/Precision Medicine; Genomics, Proteomics, and Bioinformatics; Immunology/Microbiology/Virology; Mechanisms of Aging; Neuroscience; Pharmacology and Toxicology; Physiology; Stem Cell Biology; Structural Biology; Systems Biology and Microphysiological Systems; and Translational Research.
×
引用
GB/T 7714-2015
复制
MLA
复制
APA
复制
导出至
BibTeX EndNote RefMan NoteFirst NoteExpress
×
提示
您的信息不完整,为了账户安全,请先补充。
现在去补充
×
提示
您因"违规操作"
具体请查看互助需知
我知道了
×
提示
确定
请完成安全验证×
copy
已复制链接
快去分享给好友吧!
我知道了
右上角分享
点击右上角分享
0
联系我们:info@booksci.cn Book学术提供免费学术资源搜索服务,方便国内外学者检索中英文文献。致力于提供最便捷和优质的服务体验。 Copyright © 2023 布克学术 All rights reserved.
京ICP备2023020795号-1
ghs 京公网安备 11010802042870号
Book学术文献互助
Book学术文献互助群
群 号:604180095
Book学术官方微信