Progesterone for Traumatic Brain Injury, Experimental Clinical Treatment III Trial Revisited: Objective Classification of Traumatic Brain Injury With Brain Imaging Segmentation and Biomarker Levels.

IF 2.7 Q4 Medicine
Critical care explorations Pub Date : 2025-09-05 eCollection Date: 2025-09-01 DOI:10.1097/CCE.0000000000001306
Scarlett Cheong, Rishabh Gupta, Sharada Kadaba Sridhar, Alex J Hall, Michael Frankel, David W Wright, Yuk Y Sham, Uzma Samadani
{"title":"Progesterone for Traumatic Brain Injury, Experimental Clinical Treatment III Trial Revisited: Objective Classification of Traumatic Brain Injury With Brain Imaging Segmentation and Biomarker Levels.","authors":"Scarlett Cheong, Rishabh Gupta, Sharada Kadaba Sridhar, Alex J Hall, Michael Frankel, David W Wright, Yuk Y Sham, Uzma Samadani","doi":"10.1097/CCE.0000000000001306","DOIUrl":null,"url":null,"abstract":"<p><strong>Objective: </strong>This post hoc study of the Progesterone for Traumatic Brain Injury, Experimental Clinical Treatment (ProTECT) III trial investigates whether improving traumatic brain injury (TBI) classification, using serum biomarkers (glial fibrillary acidic protein [GFAP] and ubiquitin carboxyl-terminal esterase L1 [UCH-L1]) and algorithmically assessed total lesion volume, could identify a subset of responders to progesterone treatment, beyond broad measures like the Glasgow Coma Scale (GCS) and Glasgow Outcome Scale-Extended (GOS-E), which may fail to capture subtle changes in TBI recovery.</p><p><strong>Design: </strong>Brain lesion volumes on CT scans were quantified using Brain Lesion Analysis and Segmentation Tool for CT. Patients were classified into true-positive and true-negative groups based on an optimization scheme to determine a threshold that maximizes agreement between radiological assessment and objectively measured lesion volume. True-positives were further categorized into low (> 0.2-10 mL), medium (> 10-50 mL), and high (> 50 mL) lesion volumes for analysis with protein biomarkers and injury severity. Correlation analyses linked Rotterdam scores (RSs) with biomarker levels and lesion volumes, whereas Welch's t-test evaluated biomarker differences between groups and progesterone's effects.</p><p><strong>Setting: </strong>Forty-nine level 1 trauma centers in the United States.</p><p><strong>Patient: </strong>Patients with moderate-to-severe TBI.</p><p><strong>Interventions: </strong>Progesterone.</p><p><strong>Measurements and main results: </strong>GFAP and UCH-L1 levels were significantly higher in true-positive cases with low to medium lesion volume. Only UCH-L1 differed between progesterone and placebo groups at 48 hours. Both biomarkers and lesion volume in the true-positive group correlated with the RS. No sex-specific or treatment differences were found.</p><p><strong>Conclusions: </strong>This study reaffirms elevated levels of GFAP and UCH-L1 as biomarkers for detecting TBI in patients with brain lesions and for predicting clinical outcomes. Despite improved classification using CT-imaging segmentation and serum biomarkers, we did not identify a subset of progesterone responders within 24 or 48 hours of progesterone treatment. More rigorous and quantifiable measures for classifying the nature of injury may be needed to enable development of therapeutics as neither serum markers nor algorithmic CT analysis performed better than the older metrics of Rotterdam or GCS metrics.</p>","PeriodicalId":93957,"journal":{"name":"Critical care explorations","volume":"7 9","pages":"e1306"},"PeriodicalIF":2.7000,"publicationDate":"2025-09-05","publicationTypes":"Journal Article","fieldsOfStudy":null,"isOpenAccess":false,"openAccessPdf":"https://www.ncbi.nlm.nih.gov/pmc/articles/PMC12417008/pdf/","citationCount":"0","resultStr":null,"platform":"Semanticscholar","paperid":null,"PeriodicalName":"Critical care explorations","FirstCategoryId":"1085","ListUrlMain":"https://doi.org/10.1097/CCE.0000000000001306","RegionNum":0,"RegionCategory":null,"ArticlePicture":[],"TitleCN":null,"AbstractTextCN":null,"PMCID":null,"EPubDate":"2025/9/1 0:00:00","PubModel":"eCollection","JCR":"Q4","JCRName":"Medicine","Score":null,"Total":0}
引用次数: 0

Abstract

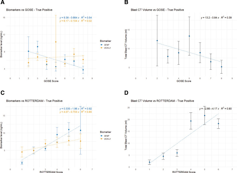
Objective: This post hoc study of the Progesterone for Traumatic Brain Injury, Experimental Clinical Treatment (ProTECT) III trial investigates whether improving traumatic brain injury (TBI) classification, using serum biomarkers (glial fibrillary acidic protein [GFAP] and ubiquitin carboxyl-terminal esterase L1 [UCH-L1]) and algorithmically assessed total lesion volume, could identify a subset of responders to progesterone treatment, beyond broad measures like the Glasgow Coma Scale (GCS) and Glasgow Outcome Scale-Extended (GOS-E), which may fail to capture subtle changes in TBI recovery.

Design: Brain lesion volumes on CT scans were quantified using Brain Lesion Analysis and Segmentation Tool for CT. Patients were classified into true-positive and true-negative groups based on an optimization scheme to determine a threshold that maximizes agreement between radiological assessment and objectively measured lesion volume. True-positives were further categorized into low (> 0.2-10 mL), medium (> 10-50 mL), and high (> 50 mL) lesion volumes for analysis with protein biomarkers and injury severity. Correlation analyses linked Rotterdam scores (RSs) with biomarker levels and lesion volumes, whereas Welch's t-test evaluated biomarker differences between groups and progesterone's effects.

Setting: Forty-nine level 1 trauma centers in the United States.

Patient: Patients with moderate-to-severe TBI.

Interventions: Progesterone.

Measurements and main results: GFAP and UCH-L1 levels were significantly higher in true-positive cases with low to medium lesion volume. Only UCH-L1 differed between progesterone and placebo groups at 48 hours. Both biomarkers and lesion volume in the true-positive group correlated with the RS. No sex-specific or treatment differences were found.

Conclusions: This study reaffirms elevated levels of GFAP and UCH-L1 as biomarkers for detecting TBI in patients with brain lesions and for predicting clinical outcomes. Despite improved classification using CT-imaging segmentation and serum biomarkers, we did not identify a subset of progesterone responders within 24 or 48 hours of progesterone treatment. More rigorous and quantifiable measures for classifying the nature of injury may be needed to enable development of therapeutics as neither serum markers nor algorithmic CT analysis performed better than the older metrics of Rotterdam or GCS metrics.

Abstract Image

Abstract Image

Abstract Image

黄体酮在创伤性脑损伤中的应用,实验临床治疗ⅲ:再谈:脑成像分割和生物标志物水平对创伤性脑损伤的客观分类。
摘要目的:黄体酮对创伤性脑损伤的事后研究,实验临床治疗(ProTECT) III试验研究了改善创伤性脑损伤(TBI)分类,使用血清生物标志物(胶质纤维酸性蛋白[GFAP]和泛素羧基末端酯酶L1 [UCH-L1])和算法评估的总病变体积,是否可以识别对黄体酮治疗有反应的亚群。超出了格拉斯哥昏迷量表(GCS)和格拉斯哥结局扩展量表(GOS-E)等广泛的测量方法,这些方法可能无法捕捉到TBI恢复的细微变化。设计:使用CT脑病变分析和分割工具对CT扫描上的脑病变体积进行量化。根据优化方案将患者分为真阳性组和真阴性组,以确定一个阈值,使放射学评估与客观测量的病变体积之间的一致性最大化。真阳性进一步分为低(> 0.2-10 mL)、中(> 10-50 mL)和高(> 50 mL)病变体积,用于蛋白质生物标志物和损伤严重程度的分析。相关分析将鹿特丹评分(RSs)与生物标志物水平和病变体积联系起来,而韦尔奇t检验评估了组间生物标志物差异和黄体酮的作用。环境:美国有49个一级创伤中心。患者:中重度脑外伤患者。干预措施:孕激素。测量和主要结果:GFAP和UCH-L1水平在病变体积低至中等的真阳性病例中显著升高。孕酮组和安慰剂组在48小时时只有UCH-L1不同。真阳性组的生物标志物和病变体积与RS相关,没有发现性别特异性或治疗差异。结论:本研究重申GFAP和UCH-L1水平升高是检测脑损伤患者TBI和预测临床结果的生物标志物。尽管使用ct成像分割和血清生物标志物改进了分类,但我们没有在黄体酮治疗24或48小时内确定黄体酮应答的子集。可能需要更严格和可量化的措施来分类损伤的性质,以促进治疗方法的发展,因为血清标志物和算法CT分析都没有比旧的鹿特丹指标或GCS指标表现更好。
本文章由计算机程序翻译,如有差异,请以英文原文为准。
求助全文
约1分钟内获得全文 求助全文
来源期刊
CiteScore
5.70
自引率
0.00%
发文量
0
审稿时长
8 weeks
×
引用
GB/T 7714-2015
复制
MLA
复制
APA
复制
导出至
BibTeX EndNote RefMan NoteFirst NoteExpress
×
提示
您的信息不完整,为了账户安全,请先补充。
现在去补充
×
提示
您因"违规操作"
具体请查看互助需知
我知道了
×
提示
确定
请完成安全验证×
copy
已复制链接
快去分享给好友吧!
我知道了
右上角分享
点击右上角分享
0
联系我们:info@booksci.cn Book学术提供免费学术资源搜索服务,方便国内外学者检索中英文文献。致力于提供最便捷和优质的服务体验。 Copyright © 2023 布克学术 All rights reserved.
京ICP备2023020795号-1
ghs 京公网安备 11010802042870号
Book学术文献互助
Book学术文献互助群
群 号:604180095
Book学术官方微信