Characteristics of Suicidal Patients Who Engaged in Suicide-Related Internet Use in the United Kingdom: Cross-Sectional Survey Findings.

IF 5.8 2区 医学 Q1 PSYCHIATRY
Jmir Mental Health Pub Date : 2025-09-05 DOI:10.2196/73702
Lana Bojanić, Isabelle M Hunt, Saied Ibrahim, Pauline Turnbull, Sandra Flynn
{"title":"Characteristics of Suicidal Patients Who Engaged in Suicide-Related Internet Use in the United Kingdom: Cross-Sectional Survey Findings.","authors":"Lana Bojanić, Isabelle M Hunt, Saied Ibrahim, Pauline Turnbull, Sandra Flynn","doi":"10.2196/73702","DOIUrl":null,"url":null,"abstract":"<p><strong>Background: </strong>Suicide-related internet use encompasses various web-based behaviors, including searching for suicide methods, sharing suicidal thoughts, and seeking help. Research suggests that suicide-related internet use is prevalent among people experiencing suicidality, but its characteristics among mental health patients remain underexplored.</p><p><strong>Objective: </strong>This study aimed to examine the sociodemographic, clinical, and suicidality-related characteristics of suicidal mental health patients who engage in suicide-related internet use compared with those who do not.</p><p><strong>Methods: </strong>A cross-sectional survey was conducted from June to December 2023, recruiting participants aged 18 years and older with recent contact with secondary mental health services in the United Kingdom. The survey assessed sociodemographic characteristics, psychiatric diagnoses, suicidal thoughts and behaviors, and engagement in suicide-related internet use. Statistical analyses included chi-square tests, Wilcoxon tests, and multivariable logistic regression to identify predictors of engaging in suicide-related internet use.</p><p><strong>Results: </strong>Of 696 participants, 75% (522) engaged in suicide-related internet use in the past 12 months. Those who engaged in suicide-related internet use were almost 3 times as likely to have attempted suicide in the past year (32.5% vs 9.2%, P<.001). They were more likely to have a diagnosis of personality disorder (34.4% vs 18.5%, P<.001) and to disclose suicidal thoughts to someone (87.8% vs 72.8%, P<.001). They also reported higher levels of suicidal ideation intensity (median =6.6 vs 5.1, P<.001). There were no significant sociodemographic differences between groups, including age.</p><p><strong>Conclusions: </strong>The findings suggest that suicide-related internet use is a common behavior among suicidal mental health patients across various age groups, challenging the notion that it is primarily a concern for younger populations. The association between suicide-related internet use and increased suicidality highlights the need for clinicians to incorporate discussions about web-based behaviors in suicide risk assessments. Given the high rate of disclosure of suicidal thoughts among suicide-related internet users, clinicians may have an opportunity to engage in open, nonjudgmental discussions about their patients' internet use.</p>","PeriodicalId":48616,"journal":{"name":"Jmir Mental Health","volume":"12 ","pages":"e73702"},"PeriodicalIF":5.8000,"publicationDate":"2025-09-05","publicationTypes":"Journal Article","fieldsOfStudy":null,"isOpenAccess":false,"openAccessPdf":"https://www.ncbi.nlm.nih.gov/pmc/articles/PMC12413185/pdf/","citationCount":"0","resultStr":null,"platform":"Semanticscholar","paperid":null,"PeriodicalName":"Jmir Mental Health","FirstCategoryId":"3","ListUrlMain":"https://doi.org/10.2196/73702","RegionNum":2,"RegionCategory":"医学","ArticlePicture":[],"TitleCN":null,"AbstractTextCN":null,"PMCID":null,"EPubDate":"","PubModel":"","JCR":"Q1","JCRName":"PSYCHIATRY","Score":null,"Total":0}
引用次数: 0

Abstract

Background: Suicide-related internet use encompasses various web-based behaviors, including searching for suicide methods, sharing suicidal thoughts, and seeking help. Research suggests that suicide-related internet use is prevalent among people experiencing suicidality, but its characteristics among mental health patients remain underexplored.

Objective: This study aimed to examine the sociodemographic, clinical, and suicidality-related characteristics of suicidal mental health patients who engage in suicide-related internet use compared with those who do not.

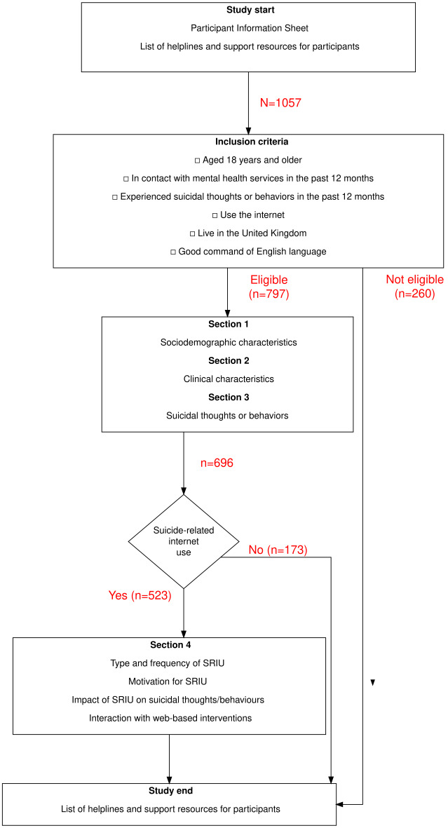
Methods: A cross-sectional survey was conducted from June to December 2023, recruiting participants aged 18 years and older with recent contact with secondary mental health services in the United Kingdom. The survey assessed sociodemographic characteristics, psychiatric diagnoses, suicidal thoughts and behaviors, and engagement in suicide-related internet use. Statistical analyses included chi-square tests, Wilcoxon tests, and multivariable logistic regression to identify predictors of engaging in suicide-related internet use.

Results: Of 696 participants, 75% (522) engaged in suicide-related internet use in the past 12 months. Those who engaged in suicide-related internet use were almost 3 times as likely to have attempted suicide in the past year (32.5% vs 9.2%, P<.001). They were more likely to have a diagnosis of personality disorder (34.4% vs 18.5%, P<.001) and to disclose suicidal thoughts to someone (87.8% vs 72.8%, P<.001). They also reported higher levels of suicidal ideation intensity (median =6.6 vs 5.1, P<.001). There were no significant sociodemographic differences between groups, including age.

Conclusions: The findings suggest that suicide-related internet use is a common behavior among suicidal mental health patients across various age groups, challenging the notion that it is primarily a concern for younger populations. The association between suicide-related internet use and increased suicidality highlights the need for clinicians to incorporate discussions about web-based behaviors in suicide risk assessments. Given the high rate of disclosure of suicidal thoughts among suicide-related internet users, clinicians may have an opportunity to engage in open, nonjudgmental discussions about their patients' internet use.

Abstract Image

在英国从事与自杀有关的互联网使用的自杀患者的特征:横断面调查结果。
背景:与自杀相关的互联网使用包括各种基于网络的行为,包括搜索自杀方法、分享自杀想法和寻求帮助。研究表明,与自杀相关的互联网使用在有自杀倾向的人群中很普遍,但其在精神健康患者中的特点仍未得到充分探讨。目的:本研究旨在探讨与自杀相关的互联网使用的自杀性心理健康患者与不使用互联网的自杀性心理健康患者的社会人口学、临床和自杀相关特征。方法:从2023年6月至12月进行了一项横断面调查,招募了最近与英国二级精神卫生服务接触的18岁及以上的参与者。该调查评估了社会人口学特征、精神诊断、自杀想法和行为,以及与自杀有关的互联网使用情况。统计分析包括卡方检验、Wilcoxon检验和多变量逻辑回归,以确定与自杀相关的互联网使用的预测因素。结果:在696名参与者中,75%(522人)在过去12个月内使用过与自杀有关的互联网。在过去的一年中,那些从事与自杀有关的互联网使用的人试图自杀的可能性几乎是3倍(32.5%比9.2%)。结论:研究结果表明,与自杀有关的互联网使用是各个年龄段的自杀心理健康患者的常见行为,挑战了这主要是年轻人关注的概念。与自杀相关的互联网使用与自杀倾向增加之间的联系突出了临床医生在自杀风险评估中纳入关于网络行为的讨论的必要性。鉴于自杀相关互联网用户中自杀想法的高披露率,临床医生可能有机会就患者的互联网使用情况进行公开、非评判性的讨论。
本文章由计算机程序翻译,如有差异,请以英文原文为准。
求助全文
约1分钟内获得全文 求助全文
来源期刊
Jmir Mental Health
Jmir Mental Health Medicine-Psychiatry and Mental Health
CiteScore
10.80
自引率
3.80%
发文量
104
审稿时长
16 weeks
期刊介绍: JMIR Mental Health (JMH, ISSN 2368-7959) is a PubMed-indexed, peer-reviewed sister journal of JMIR, the leading eHealth journal (Impact Factor 2016: 5.175). JMIR Mental Health focusses on digital health and Internet interventions, technologies and electronic innovations (software and hardware) for mental health, addictions, online counselling and behaviour change. This includes formative evaluation and system descriptions, theoretical papers, review papers, viewpoint/vision papers, and rigorous evaluations.
×
引用
GB/T 7714-2015
复制
MLA
复制
APA
复制
导出至
BibTeX EndNote RefMan NoteFirst NoteExpress
×
提示
您的信息不完整,为了账户安全,请先补充。
现在去补充
×
提示
您因"违规操作"
具体请查看互助需知
我知道了
×
提示
确定
请完成安全验证×
copy
已复制链接
快去分享给好友吧!
我知道了
右上角分享
点击右上角分享
0
联系我们:info@booksci.cn Book学术提供免费学术资源搜索服务,方便国内外学者检索中英文文献。致力于提供最便捷和优质的服务体验。 Copyright © 2023 布克学术 All rights reserved.
京ICP备2023020795号-1
ghs 京公网安备 11010802042870号
Book学术文献互助
Book学术文献互助群
群 号:604180095
Book学术官方微信