Assessment of liver stiffness measurement-related markers in predicting liver-related events in viral cirrhosis with clinically significant portal hypertension.

IF 2.5 Q2 GASTROENTEROLOGY & HEPATOLOGY
Yan-Qiu Li, Yong-Qi Li, Jin-Ze Li, Bing-Bing Zhu, Yu Lu, Ying Feng, Xian-Bo Wang
{"title":"Assessment of liver stiffness measurement-related markers in predicting liver-related events in viral cirrhosis with clinically significant portal hypertension.","authors":"Yan-Qiu Li, Yong-Qi Li, Jin-Ze Li, Bing-Bing Zhu, Yu Lu, Ying Feng, Xian-Bo Wang","doi":"10.4254/wjh.v17.i8.109796","DOIUrl":null,"url":null,"abstract":"<p><strong>Background: </strong>Clinically significant portal hypertension (CSPH) is a crucial prognostic determinant for liver-related events (LREs) in patients with compensated viral cirrhosis. Liver stiffness measurement (LSM)-related markers may help to predict the risk of LREs.</p><p><strong>Aim: </strong>To evaluate the value of LSM and its composite biomarkers [LSM-platelet ratio (LPR), LSM-albumin ratio (LAR)] in predicting LREs.</p><p><strong>Methods: </strong>This study retrospectively enrolled compensated viral cirrhosis patients with CSPH. The Cox regression model was employed to examine the prediction of LSM, LPR, and LAR for LREs. The model performance was assessed through receiver operating characteristic, decision curve, and time-dependent area under the curve analysis. The Kaplan-Meier curve was used to evaluate the cumulative incidence of LREs, and further stratified analysis of different LREs was performed.</p><p><strong>Results: </strong>A total of 598 patients were included, and 319 patients (53.3%) developed LREs during follow-up. Multivariate proportional hazards modeling demonstrated that LSM, LPR, and LAR were independent predictors of LREs. LPR had better performance in predicting LREs than LAR and LSM (area under the curve = 0.780, 0.727, 0.683, respectively, all <i>P</i> < 0.05). The cumulative incidence of LREs in the high-risk group were significantly higher than that in the low-risk group (<i>P</i> < 0.001). Among the different LREs, LPR was superior to LSM and LAR in predicting liver decompensation, while the difference in predicting hepatocellular carcinoma and liver-related death was relatively small.</p><p><strong>Conclusion: </strong>LPR is superior to LSM and LAR in predicting LREs in compensated viral cirrhosis patients with CSPH, especially in predicting liver decompensation.</p>","PeriodicalId":23687,"journal":{"name":"World Journal of Hepatology","volume":"17 8","pages":"109796"},"PeriodicalIF":2.5000,"publicationDate":"2025-08-27","publicationTypes":"Journal Article","fieldsOfStudy":null,"isOpenAccess":false,"openAccessPdf":"https://www.ncbi.nlm.nih.gov/pmc/articles/PMC12400439/pdf/","citationCount":"0","resultStr":null,"platform":"Semanticscholar","paperid":null,"PeriodicalName":"World Journal of Hepatology","FirstCategoryId":"1085","ListUrlMain":"https://doi.org/10.4254/wjh.v17.i8.109796","RegionNum":0,"RegionCategory":null,"ArticlePicture":[],"TitleCN":null,"AbstractTextCN":null,"PMCID":null,"EPubDate":"","PubModel":"","JCR":"Q2","JCRName":"GASTROENTEROLOGY & HEPATOLOGY","Score":null,"Total":0}
引用次数: 0

Abstract

Background: Clinically significant portal hypertension (CSPH) is a crucial prognostic determinant for liver-related events (LREs) in patients with compensated viral cirrhosis. Liver stiffness measurement (LSM)-related markers may help to predict the risk of LREs.

Aim: To evaluate the value of LSM and its composite biomarkers [LSM-platelet ratio (LPR), LSM-albumin ratio (LAR)] in predicting LREs.

Methods: This study retrospectively enrolled compensated viral cirrhosis patients with CSPH. The Cox regression model was employed to examine the prediction of LSM, LPR, and LAR for LREs. The model performance was assessed through receiver operating characteristic, decision curve, and time-dependent area under the curve analysis. The Kaplan-Meier curve was used to evaluate the cumulative incidence of LREs, and further stratified analysis of different LREs was performed.

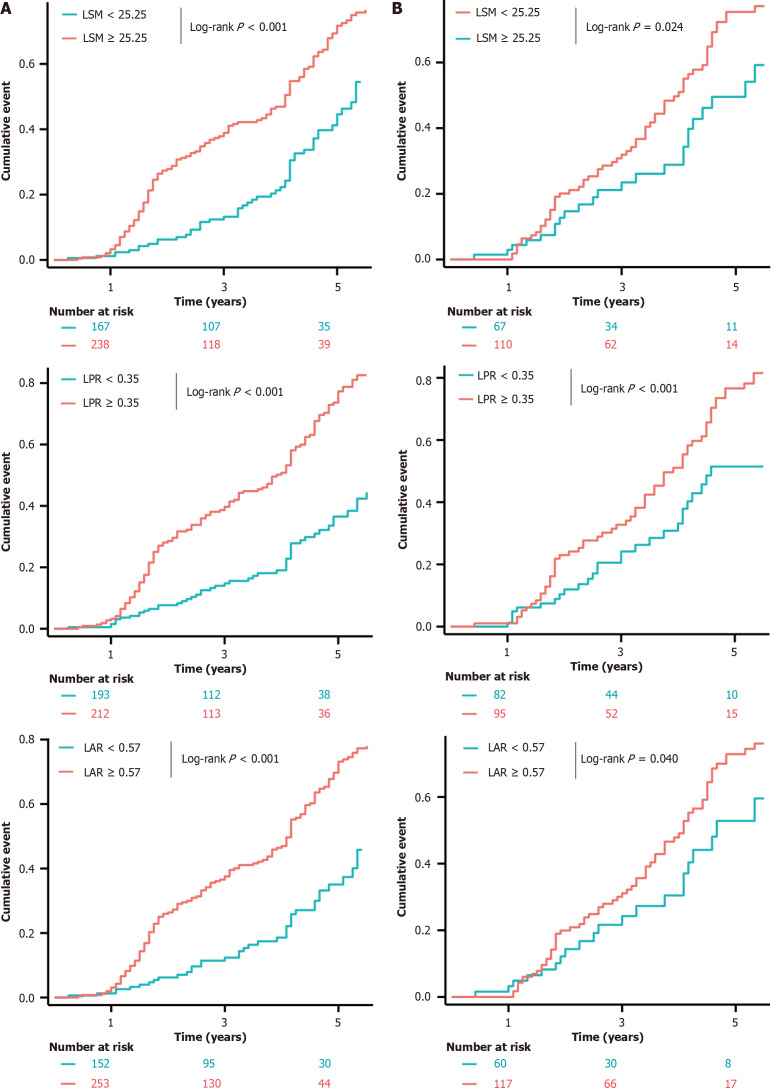
Results: A total of 598 patients were included, and 319 patients (53.3%) developed LREs during follow-up. Multivariate proportional hazards modeling demonstrated that LSM, LPR, and LAR were independent predictors of LREs. LPR had better performance in predicting LREs than LAR and LSM (area under the curve = 0.780, 0.727, 0.683, respectively, all P < 0.05). The cumulative incidence of LREs in the high-risk group were significantly higher than that in the low-risk group (P < 0.001). Among the different LREs, LPR was superior to LSM and LAR in predicting liver decompensation, while the difference in predicting hepatocellular carcinoma and liver-related death was relatively small.

Conclusion: LPR is superior to LSM and LAR in predicting LREs in compensated viral cirrhosis patients with CSPH, especially in predicting liver decompensation.

Abstract Image

Abstract Image

Abstract Image

评估肝硬度测量相关标志物在预测病毒性肝硬化伴临床显著门脉高压患者肝脏相关事件中的作用。
背景:临床上显著的门脉高压(CSPH)是代偿性病毒性肝硬化患者肝相关事件(LREs)的关键预后决定因素。肝硬度测量(LSM)相关标志物可能有助于预测LREs的风险。目的:评价LSM及其复合生物标志物[LSM-血小板比(LPR)、LSM-白蛋白比(LAR)]对LREs的预测价值。方法:本研究回顾性纳入代偿性病毒性肝硬化合并CSPH患者。采用Cox回归模型检验LSM、LPR和LAR对LREs的预测。通过受试者工作特征、决策曲线和曲线下随时间变化的面积分析来评估模型的性能。采用Kaplan-Meier曲线评价LREs的累积发生率,并对不同LREs进行进一步分层分析。结果:共纳入598例患者,随访期间发生LREs的患者319例(53.3%)。多元比例风险模型显示LSM、LPR和LAR是LREs的独立预测因子。LPR对LREs的预测效果优于LAR和LSM(曲线下面积分别为0.780、0.727、0.683,P均< 0.05)。高危组LREs累积发生率显著高于低危组(P < 0.001)。在不同的LREs中,LPR在预测肝脏失代偿方面优于LSM和LAR,而在预测肝细胞癌和肝脏相关死亡方面的差异相对较小。结论:LPR在预测代偿性病毒性肝硬化合并CSPH患者LREs方面优于LSM和LAR,尤其是在预测肝功能失代偿方面。
本文章由计算机程序翻译,如有差异,请以英文原文为准。
求助全文
约1分钟内获得全文 求助全文
来源期刊
World Journal of Hepatology
World Journal of Hepatology GASTROENTEROLOGY & HEPATOLOGY-
CiteScore
4.10
自引率
4.20%
发文量
172
×
引用
GB/T 7714-2015
复制
MLA
复制
APA
复制
导出至
BibTeX EndNote RefMan NoteFirst NoteExpress
×
提示
您的信息不完整,为了账户安全,请先补充。
现在去补充
×
提示
您因"违规操作"
具体请查看互助需知
我知道了
×
提示
确定
请完成安全验证×
copy
已复制链接
快去分享给好友吧!
我知道了
右上角分享
点击右上角分享
0
联系我们:info@booksci.cn Book学术提供免费学术资源搜索服务,方便国内外学者检索中英文文献。致力于提供最便捷和优质的服务体验。 Copyright © 2023 布克学术 All rights reserved.
京ICP备2023020795号-1
ghs 京公网安备 11010802042870号
Book学术文献互助
Book学术文献互助群
群 号:604180095
Book学术官方微信