Peripheral basophil activation: A hidden player in the immunopathogenesis of primary biliary cholangitis.

IF 2.5 Q2 GASTROENTEROLOGY & HEPATOLOGY
Huan-Qin Han, Jia-Min Bao, Wei Deng, Wei-Fang Guo, Yi-Fan Li, Wei-Qiang Zheng, Hua-Feng Liu
{"title":"Peripheral basophil activation: A hidden player in the immunopathogenesis of primary biliary cholangitis.","authors":"Huan-Qin Han, Jia-Min Bao, Wei Deng, Wei-Fang Guo, Yi-Fan Li, Wei-Qiang Zheng, Hua-Feng Liu","doi":"10.4254/wjh.v17.i8.109685","DOIUrl":null,"url":null,"abstract":"<p><strong>Background: </strong>T helper 17 (Th17) cell infiltration and interleukin (IL)-17 secretion in intrahepatic small bile ducts is a critical driver of immune-mediated injury in primary biliary cholangitis (PBC). IL-6 is an essential upstream activator of Th17 cells. Basophil-derived IL-6 promotes the differentiation of CD4+ T cells and Th1 cells into Th17 cells, thereby regulating their immunological functions.</p><p><strong>Aim: </strong>To investigate the activation status and cytokine expression of basophils in PBC, elucidating potential mechanisms through which basophils contribute to its pathogenesis.</p><p><strong>Methods: </strong>This single-center retrospective case-control study conducted at Guangdong Medical University Affiliated Hospital (China) between September 2019 and August 2024 enrolled 65 consecutive treatment-naïve patients with PBC (PBC group), 65 age- and sex-matched patients with chronic hepatitis B (CHB group), and 65 healthy controls (Normal group). Fourteen participants per group (subgroup) were randomly selected for flow cytometry analysis of basophil proportion, activation markers (CD203c and CD62 L mean fluorescence intensity), IL-6-positive basophils (IL-6+ basophils as a percentage of total basophils), and IL-17-positive T lymphocytes (CD3+CD4+IL-17+ cells) proportion among T cells. Data were analyzed using Kruskal-Wallis and <i>χ</i> <sup>2</sup> tests as appropriate.</p><p><strong>Results: </strong>Routine blood tests revealed significantly higher basophil counts and proportions in the PBC group compared to the CHB and Normal groups (<i>P</i> < 0.001 for both comparisons), with no significant differences between the CHB and Normal groups (<i>P</i> = 0.201). Flow cytometry revealed a higher basophil proportion in the PBC subgroup compared to the CHB (<i>P</i> = 0.011) and Normal subgroups (<i>P</i> < 0.001). The mean fluorescence intensity of CD203c on basophil surfaces was elevated in the PBC subgroup compared to the CHB (<i>P</i> = 0.032) and Normal subgroups (<i>P</i> = 0.039). The proportion of IL-6+ basophils was significantly higher in the PBC subgroup than in the CHB (<i>P</i> < 0.01) and Normal subgroups (<i>P</i> < 0.001). Similarly, the Th17 cell proportion was markedly elevated in the PBC compared to the CHB (<i>P</i> < 0.001) and Normal subgroups (<i>P</i> < 0.001).</p><p><strong>Conclusion: </strong>Patients with PBC have increased peripheral basophil counts with enhanced activation. Activated basophils have increased IL-6 expression, which may indirectly induce Th17 cell proliferation and contribute to PBC pathogenesis.</p>","PeriodicalId":23687,"journal":{"name":"World Journal of Hepatology","volume":"17 8","pages":"109685"},"PeriodicalIF":2.5000,"publicationDate":"2025-08-27","publicationTypes":"Journal Article","fieldsOfStudy":null,"isOpenAccess":false,"openAccessPdf":"https://www.ncbi.nlm.nih.gov/pmc/articles/PMC12400441/pdf/","citationCount":"0","resultStr":null,"platform":"Semanticscholar","paperid":null,"PeriodicalName":"World Journal of Hepatology","FirstCategoryId":"1085","ListUrlMain":"https://doi.org/10.4254/wjh.v17.i8.109685","RegionNum":0,"RegionCategory":null,"ArticlePicture":[],"TitleCN":null,"AbstractTextCN":null,"PMCID":null,"EPubDate":"","PubModel":"","JCR":"Q2","JCRName":"GASTROENTEROLOGY & HEPATOLOGY","Score":null,"Total":0}
引用次数: 0

Abstract

Background: T helper 17 (Th17) cell infiltration and interleukin (IL)-17 secretion in intrahepatic small bile ducts is a critical driver of immune-mediated injury in primary biliary cholangitis (PBC). IL-6 is an essential upstream activator of Th17 cells. Basophil-derived IL-6 promotes the differentiation of CD4+ T cells and Th1 cells into Th17 cells, thereby regulating their immunological functions.

Aim: To investigate the activation status and cytokine expression of basophils in PBC, elucidating potential mechanisms through which basophils contribute to its pathogenesis.

Methods: This single-center retrospective case-control study conducted at Guangdong Medical University Affiliated Hospital (China) between September 2019 and August 2024 enrolled 65 consecutive treatment-naïve patients with PBC (PBC group), 65 age- and sex-matched patients with chronic hepatitis B (CHB group), and 65 healthy controls (Normal group). Fourteen participants per group (subgroup) were randomly selected for flow cytometry analysis of basophil proportion, activation markers (CD203c and CD62 L mean fluorescence intensity), IL-6-positive basophils (IL-6+ basophils as a percentage of total basophils), and IL-17-positive T lymphocytes (CD3+CD4+IL-17+ cells) proportion among T cells. Data were analyzed using Kruskal-Wallis and χ 2 tests as appropriate.

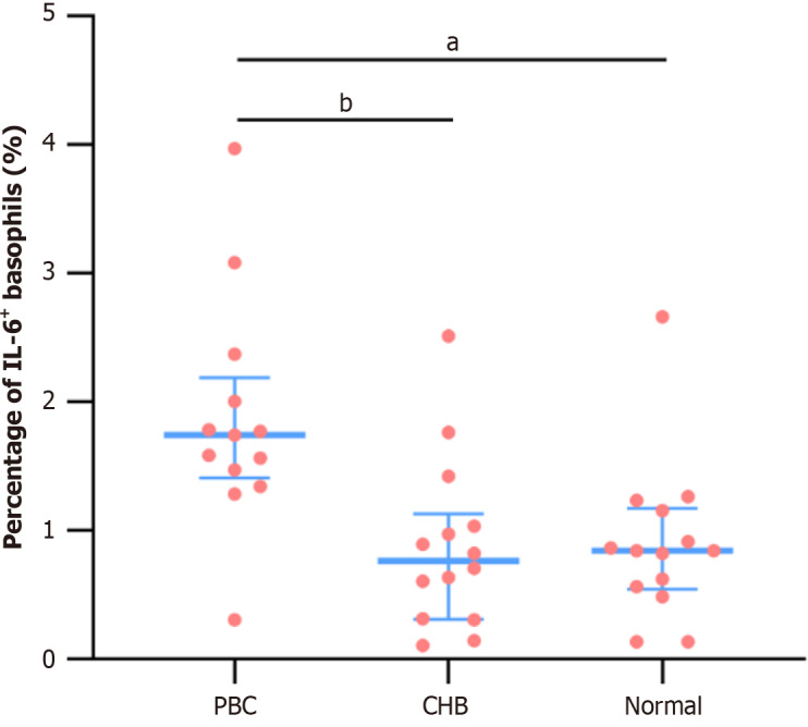
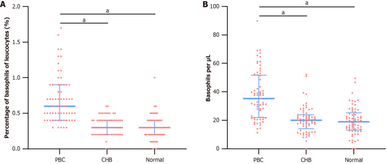
Results: Routine blood tests revealed significantly higher basophil counts and proportions in the PBC group compared to the CHB and Normal groups (P < 0.001 for both comparisons), with no significant differences between the CHB and Normal groups (P = 0.201). Flow cytometry revealed a higher basophil proportion in the PBC subgroup compared to the CHB (P = 0.011) and Normal subgroups (P < 0.001). The mean fluorescence intensity of CD203c on basophil surfaces was elevated in the PBC subgroup compared to the CHB (P = 0.032) and Normal subgroups (P = 0.039). The proportion of IL-6+ basophils was significantly higher in the PBC subgroup than in the CHB (P < 0.01) and Normal subgroups (P < 0.001). Similarly, the Th17 cell proportion was markedly elevated in the PBC compared to the CHB (P < 0.001) and Normal subgroups (P < 0.001).

Conclusion: Patients with PBC have increased peripheral basophil counts with enhanced activation. Activated basophils have increased IL-6 expression, which may indirectly induce Th17 cell proliferation and contribute to PBC pathogenesis.

Abstract Image

Abstract Image

Abstract Image

外周嗜碱性粒细胞活化:原发性胆道胆管炎免疫发病机制的隐藏参与者。
背景:肝内小胆管中辅助性T -17 (Th17)细胞浸润和白细胞介素(IL)-17分泌是原发性胆管炎(PBC)免疫介导损伤的关键驱动因素。IL-6是Th17细胞重要的上游激活因子。嗜碱性粒细胞来源的IL-6促进CD4+ T细胞和Th1细胞向Th17细胞分化,从而调节其免疫功能。目的:研究嗜碱性粒细胞在PBC中的活化状态和细胞因子表达,探讨嗜碱性粒细胞参与PBC发病的可能机制。方法:本研究于2019年9月至2024年8月在广东医科大学附属医院进行,招募了65例treatment-naïve PBC患者(PBC组)、65例年龄和性别匹配的慢性乙型肝炎患者(CHB组)和65例健康对照(正常组)。每组(亚组)随机选择14名参与者,流式细胞仪分析嗜碱性细胞比例、活化标志物(CD203c和CD62 L平均荧光强度)、IL-6阳性嗜碱性细胞(IL-6+嗜碱性细胞占总嗜碱性细胞的百分比)和IL-17阳性T淋巴细胞(CD3+CD4+IL-17+细胞)在T细胞中的比例。采用Kruskal-Wallis检验和χ 2检验对数据进行分析。结果:血常规检查显示PBC组的嗜碱性粒细胞计数和比例明显高于CHB组和正常组(两组比较均P < 0.001),而CHB组和正常组之间无显著差异(P = 0.201)。流式细胞术显示PBC亚组的嗜碱性粒细胞比例高于CHB亚组(P = 0.011)和Normal亚组(P < 0.001)。与CHB亚组和Normal亚组相比,PBC亚组的CD203c在嗜碱性细胞表面的平均荧光强度升高(P = 0.032)。PBC亚组IL-6+嗜碱性粒细胞比例显著高于CHB亚组(P < 0.01)和Normal亚组(P < 0.001)。同样,与CHB亚组和正常亚组相比,PBC中Th17细胞比例显著升高(P < 0.001)。结论:PBC患者外周血嗜碱性粒细胞计数增加,活化增强。活化的嗜碱性细胞增加了IL-6的表达,这可能间接诱导Th17细胞增殖并参与PBC的发病。
本文章由计算机程序翻译,如有差异,请以英文原文为准。
求助全文
约1分钟内获得全文 求助全文
来源期刊
World Journal of Hepatology
World Journal of Hepatology GASTROENTEROLOGY & HEPATOLOGY-
CiteScore
4.10
自引率
4.20%
发文量
172
×
引用
GB/T 7714-2015
复制
MLA
复制
APA
复制
导出至
BibTeX EndNote RefMan NoteFirst NoteExpress
×
提示
您的信息不完整,为了账户安全,请先补充。
现在去补充
×
提示
您因"违规操作"
具体请查看互助需知
我知道了
×
提示
确定
请完成安全验证×
copy
已复制链接
快去分享给好友吧!
我知道了
右上角分享
点击右上角分享
0
联系我们:info@booksci.cn Book学术提供免费学术资源搜索服务,方便国内外学者检索中英文文献。致力于提供最便捷和优质的服务体验。 Copyright © 2023 布克学术 All rights reserved.
京ICP备2023020795号-1
ghs 京公网安备 11010802042870号
Book学术文献互助
Book学术文献互助群
群 号:604180095
Book学术官方微信