The Correlation and Clinicopathological Significance of TNFAIP8L3 and RAC1 Expression in Lung Adenocarcinoma.

IF 2.1 4区 生物学 Q4 GENETICS & HEREDITY
Genetics research Pub Date : 2025-08-26 eCollection Date: 2025-01-01 DOI:10.1155/genr/9994311
Xuexin Shi, Haitao Guo, Kaihua Tian
{"title":"The Correlation and Clinicopathological Significance of TNFAIP8L3 and RAC1 Expression in Lung Adenocarcinoma.","authors":"Xuexin Shi, Haitao Guo, Kaihua Tian","doi":"10.1155/genr/9994311","DOIUrl":null,"url":null,"abstract":"<p><p><b>Background:</b> Lung adenocarcinoma (LUAD) remains one of the leading causes of cancer-related mortality worldwide. However, the expression and role of TIPE3 and RAC1 in LUAD are not well characterized. <b>Objective:</b> This study aimed to investigate the expression and clinicopathological significance of TNFAIP8L3 (TIPE3) and RAC1 in LUAD, as well as the relationship between these two proteins. <b>Methods:</b> Immunohistochemistry (IHC) was utilized to detect the expression of TIPE3 and RAC1 in tumor and adjacent normal tissues from 183 LUAD patients. A comprehensive analysis of clinicopathological data and subsequent follow-up outcomes was conducted in relation to TIPE3 and RAC1 expression levels. The correlation between these two proteins was also evaluated. <b>Results:</b> Both TIPE3 and RAC1 expression were upregulated in tumor tissues of LUAD. TIPE3 expression was significantly associated with advanced T stage (<i>p</i>=0.001), N stage (<i>p</i>=0.005), and TNM stage (<i>p</i>=0.001). Similarly, increased RAC1 expression was also associated with advanced T stage (<i>p</i>=0.003), N stage (<i>p</i>=0.003), and TNM stage (<i>p</i>=0.001). Kaplan-Meier survival analysis and Cox regression modeling demonstrated that increased TIPE3 and RAC1 expression were independent prognostic factors for poor outcomes in LUAD. Furthermore, Spearman correlation analysis revealed a positive association between TIPE3 and RAC1 expression (<i>r</i> = 0.305, <i>p</i> < 0.001). Combined expression of TIPE3 and RAC1 improved risk stratification and prognostic prediction in LUAD. <b>Conclusion:</b> TIPE3 and RAC1 serve as potential biomarkers of tumor progression and poor prognosis in LUAD, offering promising targets for future therapeutic interventions.</p>","PeriodicalId":12778,"journal":{"name":"Genetics research","volume":"2025 ","pages":"9994311"},"PeriodicalIF":2.1000,"publicationDate":"2025-08-26","publicationTypes":"Journal Article","fieldsOfStudy":null,"isOpenAccess":false,"openAccessPdf":"https://www.ncbi.nlm.nih.gov/pmc/articles/PMC12404833/pdf/","citationCount":"0","resultStr":null,"platform":"Semanticscholar","paperid":null,"PeriodicalName":"Genetics research","FirstCategoryId":"99","ListUrlMain":"https://doi.org/10.1155/genr/9994311","RegionNum":4,"RegionCategory":"生物学","ArticlePicture":[],"TitleCN":null,"AbstractTextCN":null,"PMCID":null,"EPubDate":"2025/1/1 0:00:00","PubModel":"eCollection","JCR":"Q4","JCRName":"GENETICS & HEREDITY","Score":null,"Total":0}
引用次数: 0

Abstract

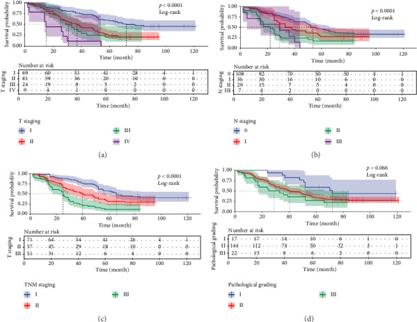
Background: Lung adenocarcinoma (LUAD) remains one of the leading causes of cancer-related mortality worldwide. However, the expression and role of TIPE3 and RAC1 in LUAD are not well characterized. Objective: This study aimed to investigate the expression and clinicopathological significance of TNFAIP8L3 (TIPE3) and RAC1 in LUAD, as well as the relationship between these two proteins. Methods: Immunohistochemistry (IHC) was utilized to detect the expression of TIPE3 and RAC1 in tumor and adjacent normal tissues from 183 LUAD patients. A comprehensive analysis of clinicopathological data and subsequent follow-up outcomes was conducted in relation to TIPE3 and RAC1 expression levels. The correlation between these two proteins was also evaluated. Results: Both TIPE3 and RAC1 expression were upregulated in tumor tissues of LUAD. TIPE3 expression was significantly associated with advanced T stage (p=0.001), N stage (p=0.005), and TNM stage (p=0.001). Similarly, increased RAC1 expression was also associated with advanced T stage (p=0.003), N stage (p=0.003), and TNM stage (p=0.001). Kaplan-Meier survival analysis and Cox regression modeling demonstrated that increased TIPE3 and RAC1 expression were independent prognostic factors for poor outcomes in LUAD. Furthermore, Spearman correlation analysis revealed a positive association between TIPE3 and RAC1 expression (r = 0.305, p < 0.001). Combined expression of TIPE3 and RAC1 improved risk stratification and prognostic prediction in LUAD. Conclusion: TIPE3 and RAC1 serve as potential biomarkers of tumor progression and poor prognosis in LUAD, offering promising targets for future therapeutic interventions.

Abstract Image

Abstract Image

Abstract Image

肺腺癌组织中TNFAIP8L3与RAC1表达的相关性及临床病理意义
背景:肺腺癌(LUAD)仍然是全球癌症相关死亡的主要原因之一。然而,TIPE3和RAC1在LUAD中的表达和作用尚不清楚。目的:本研究旨在探讨TNFAIP8L3 (TIPE3)和RAC1在LUAD中的表达及其临床病理意义,以及两者之间的关系。方法:采用免疫组化(IHC)方法检测183例LUAD患者肿瘤及邻近正常组织中TIPE3和RAC1的表达。综合分析临床病理资料及随访结果与TIPE3和RAC1表达水平的关系。并对这两种蛋白的相关性进行了评价。结果:LUAD肿瘤组织中TIPE3和RAC1表达均上调。TIPE3表达与晚期T分期(p=0.001)、N分期(p=0.005)和TNM分期(p=0.001)有显著相关性。同样,RAC1表达升高也与晚期T期(p=0.003)、N期(p=0.003)和TNM期(p=0.001)相关。Kaplan-Meier生存分析和Cox回归模型显示,TIPE3和RAC1表达升高是LUAD预后不良的独立预后因素。此外,Spearman相关分析显示TIPE3与RAC1表达呈正相关(r = 0.305, p < 0.001)。TIPE3和RAC1的联合表达改善了LUAD的风险分层和预后预测。结论:TIPE3和RAC1可作为LUAD患者肿瘤进展和预后不良的潜在生物标志物,为未来的治疗干预提供了有希望的靶点。
本文章由计算机程序翻译,如有差异,请以英文原文为准。
求助全文
约1分钟内获得全文 求助全文
来源期刊
Genetics research
Genetics research 生物-遗传学
自引率
6.70%
发文量
74
审稿时长
>12 weeks
期刊介绍: Genetics Research is a key forum for original research on all aspects of human and animal genetics, reporting key findings on genomes, genes, mutations and molecular interactions, extending out to developmental, evolutionary, and population genetics as well as ethical, legal and social aspects. Our aim is to lead to a better understanding of genetic processes in health and disease. The journal focuses on the use of new technologies, such as next generation sequencing together with bioinformatics analysis, to produce increasingly detailed views of how genes function in tissues and how these genes perform, individually or collectively, in normal development and disease aetiology. The journal publishes original work, review articles, short papers, computational studies, and novel methods and techniques in research covering humans and well-established genetic organisms. Key subject areas include medical genetics, genomics, human evolutionary and population genetics, bioinformatics, genetics of complex traits, molecular and developmental genetics, Evo-Devo, quantitative and statistical genetics, behavioural genetics and environmental genetics. The breadth and quality of research make the journal an invaluable resource for medical geneticists, molecular biologists, bioinformaticians and researchers involved in genetic basis of diseases, evolutionary and developmental studies.
×
引用
GB/T 7714-2015
复制
MLA
复制
APA
复制
导出至
BibTeX EndNote RefMan NoteFirst NoteExpress
×
提示
您的信息不完整,为了账户安全,请先补充。
现在去补充
×
提示
您因"违规操作"
具体请查看互助需知
我知道了
×
提示
确定
请完成安全验证×
copy
已复制链接
快去分享给好友吧!
我知道了
右上角分享
点击右上角分享
0
联系我们:info@booksci.cn Book学术提供免费学术资源搜索服务,方便国内外学者检索中英文文献。致力于提供最便捷和优质的服务体验。 Copyright © 2023 布克学术 All rights reserved.
京ICP备2023020795号-1
ghs 京公网安备 11010802042870号
Book学术文献互助
Book学术文献互助群
群 号:604180095
Book学术官方微信