Prevalence and Data-Driven Exploration of Pre-Diagnostic Symptoms and Features of Gilbert's Syndrome in the UK Primary Care Population.

IF 3.2 2区 医学 Q1 PUBLIC, ENVIRONMENTAL & OCCUPATIONAL HEALTH
Clinical Epidemiology Pub Date : 2025-08-28 eCollection Date: 2025-01-01 DOI:10.2147/CLEP.S520589
Rini S S Veeravalli, Laura J Horsfall, Kenan Direk, Irene Petersen
{"title":"Prevalence and Data-Driven Exploration of Pre-Diagnostic Symptoms and Features of Gilbert's Syndrome in the UK Primary Care Population.","authors":"Rini S S Veeravalli, Laura J Horsfall, Kenan Direk, Irene Petersen","doi":"10.2147/CLEP.S520589","DOIUrl":null,"url":null,"abstract":"<p><strong>Background: </strong>Gilbert's syndrome (GS) is a common genetic disorder marked by elevated bilirubin levels due to UGT1A1 enzyme deficiency. While jaundice and some adverse drug reactions are the primary recognised clinical features, individuals with GS frequently report non-specific symptoms like fatigue, brain fog, and abdominal pain. This study investigates the symptoms and diagnostic triggers of GS using UK primary care electronic health records.</p><p><strong>Methods: </strong>We analysed data from the IQVIA Medical Research Database, covering over 11 million active UK patients. Individuals with a recorded GS diagnosis were identified and their sociodemographic profiles described. Using a nested case-control design, we applied machine learning-based feature selection to pinpoint key clinical features recorded up to five years before diagnosis. These features were then examined longitudinally by sex to distinguish persistent symptoms from short-term diagnostic triggers.</p><p><strong>Results: </strong>The estimated UK prevalence of GS was 180.4 per 100,000 (95% CI: 174.4-186.6), with diagnoses more common in men, peaking around age 35, and more frequent in areas of least social deprivation. Among 9,240 GS cases and 150,846 controls, machine learning identified key diagnostic themes including jaundice, abnormal liver function tests, abdominal pain, fatigue, bowel changes, and sleep disturbances. While most of these features appeared primarily in the year prior to diagnosis, only abdominal pain and fatigue were consistently more common in GS cases up to five years before diagnosis.</p><p><strong>Conclusion: </strong>Our findings highlight both expected and novel GS diagnostic triggers. While many features likely reflect known symptomology or incidental detection via routine testing, the persistent presence of fatigue and abdominal pain suggests they may be under-recognised symptoms of GS. These findings warrant further investigation, and the data-driven approach used here may help uncover early signs of other underdiagnosed genetic conditions.</p>","PeriodicalId":10362,"journal":{"name":"Clinical Epidemiology","volume":"17 ","pages":"721-733"},"PeriodicalIF":3.2000,"publicationDate":"2025-08-28","publicationTypes":"Journal Article","fieldsOfStudy":null,"isOpenAccess":false,"openAccessPdf":"https://www.ncbi.nlm.nih.gov/pmc/articles/PMC12402429/pdf/","citationCount":"0","resultStr":null,"platform":"Semanticscholar","paperid":null,"PeriodicalName":"Clinical Epidemiology","FirstCategoryId":"3","ListUrlMain":"https://doi.org/10.2147/CLEP.S520589","RegionNum":2,"RegionCategory":"医学","ArticlePicture":[],"TitleCN":null,"AbstractTextCN":null,"PMCID":null,"EPubDate":"2025/1/1 0:00:00","PubModel":"eCollection","JCR":"Q1","JCRName":"PUBLIC, ENVIRONMENTAL & OCCUPATIONAL HEALTH","Score":null,"Total":0}
引用次数: 0

Abstract

Background: Gilbert's syndrome (GS) is a common genetic disorder marked by elevated bilirubin levels due to UGT1A1 enzyme deficiency. While jaundice and some adverse drug reactions are the primary recognised clinical features, individuals with GS frequently report non-specific symptoms like fatigue, brain fog, and abdominal pain. This study investigates the symptoms and diagnostic triggers of GS using UK primary care electronic health records.

Methods: We analysed data from the IQVIA Medical Research Database, covering over 11 million active UK patients. Individuals with a recorded GS diagnosis were identified and their sociodemographic profiles described. Using a nested case-control design, we applied machine learning-based feature selection to pinpoint key clinical features recorded up to five years before diagnosis. These features were then examined longitudinally by sex to distinguish persistent symptoms from short-term diagnostic triggers.

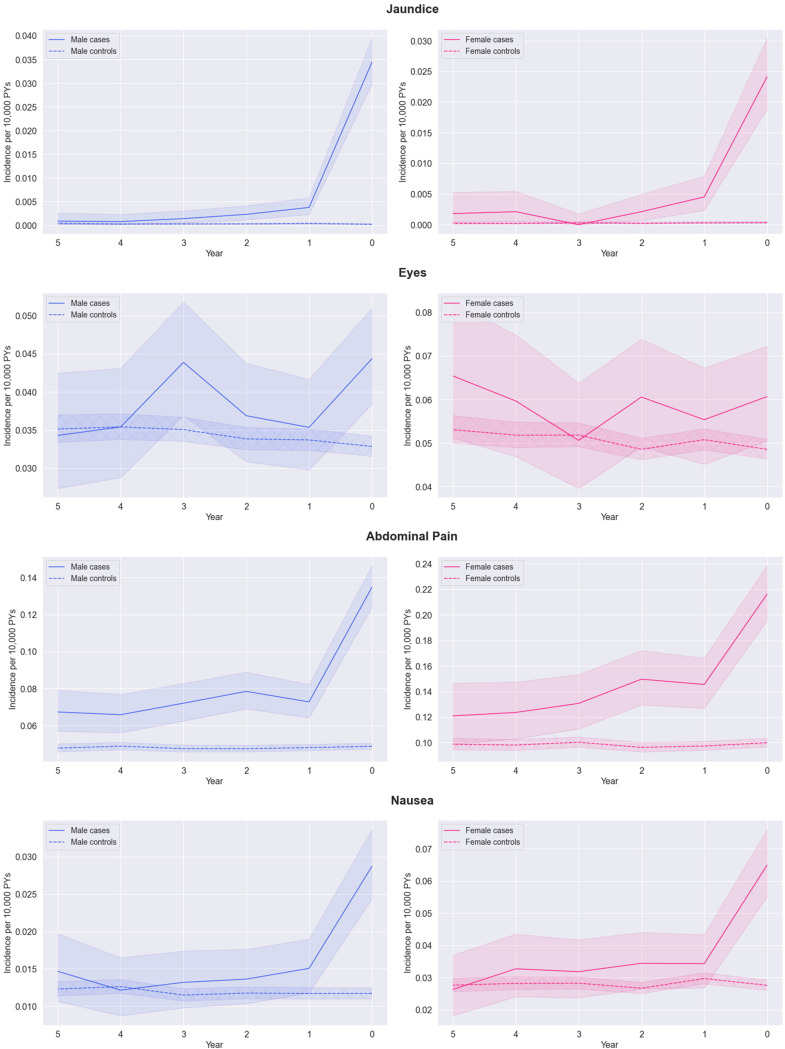
Results: The estimated UK prevalence of GS was 180.4 per 100,000 (95% CI: 174.4-186.6), with diagnoses more common in men, peaking around age 35, and more frequent in areas of least social deprivation. Among 9,240 GS cases and 150,846 controls, machine learning identified key diagnostic themes including jaundice, abnormal liver function tests, abdominal pain, fatigue, bowel changes, and sleep disturbances. While most of these features appeared primarily in the year prior to diagnosis, only abdominal pain and fatigue were consistently more common in GS cases up to five years before diagnosis.

Conclusion: Our findings highlight both expected and novel GS diagnostic triggers. While many features likely reflect known symptomology or incidental detection via routine testing, the persistent presence of fatigue and abdominal pain suggests they may be under-recognised symptoms of GS. These findings warrant further investigation, and the data-driven approach used here may help uncover early signs of other underdiagnosed genetic conditions.

Abstract Image

Abstract Image

Abstract Image

英国初级保健人群中吉尔伯特综合征诊断前症状和特征的患病率和数据驱动探索。
背景:吉尔伯特综合征(GS)是一种常见的遗传性疾病,其特征是由于UGT1A1酶缺乏导致胆红素水平升高。虽然黄疸和一些药物不良反应是公认的主要临床特征,但GS患者经常报告非特异性症状,如疲劳、脑雾和腹痛。本研究使用英国初级保健电子健康记录调查GS的症状和诊断触发因素。方法:我们分析了来自IQVIA医学研究数据库的数据,涵盖了超过1100万名活跃的英国患者。对有GS诊断记录的个体进行鉴定,并描述其社会人口学概况。使用嵌套病例对照设计,我们应用基于机器学习的特征选择来确定诊断前5年记录的关键临床特征。然后按性别纵向检查这些特征,以区分持续症状和短期诊断触发因素。结果:估计英国GS患病率为180.4 / 100,000 (95% CI: 174.4-186.6),诊断在男性中更常见,在35岁左右达到高峰,在社会剥夺程度最低的地区更常见。在9240例GS病例和150846例对照中,机器学习确定了关键的诊断主题,包括黄疸、肝功能异常、腹痛、疲劳、肠道变化和睡眠障碍。虽然大多数这些特征主要出现在诊断前一年,但只有腹痛和疲劳在诊断前5年的GS病例中一直更常见。结论:我们的研究结果强调了预期的和新的GS诊断触发因素。虽然许多特征可能反映了已知的症状或通过常规检查偶然发现,但持续存在的疲劳和腹痛表明它们可能是GS的未被充分认识的症状。这些发现值得进一步调查,这里使用的数据驱动方法可能有助于发现其他未被诊断的遗传疾病的早期迹象。
本文章由计算机程序翻译,如有差异,请以英文原文为准。
求助全文
约1分钟内获得全文 求助全文
来源期刊
Clinical Epidemiology
Clinical Epidemiology Medicine-Epidemiology
CiteScore
6.30
自引率
5.10%
发文量
169
审稿时长
16 weeks
期刊介绍: Clinical Epidemiology is an international, peer reviewed, open access journal. Clinical Epidemiology focuses on the application of epidemiological principles and questions relating to patients and clinical care in terms of prevention, diagnosis, prognosis, and treatment. Clinical Epidemiology welcomes papers covering these topics in form of original research and systematic reviews. Clinical Epidemiology has a special interest in international electronic medical patient records and other routine health care data, especially as applied to safety of medical interventions, clinical utility of diagnostic procedures, understanding short- and long-term clinical course of diseases, clinical epidemiological and biostatistical methods, and systematic reviews. When considering submission of a paper utilizing publicly-available data, authors should ensure that such studies add significantly to the body of knowledge and that they use appropriate validated methods for identifying health outcomes. The journal has launched special series describing existing data sources for clinical epidemiology, international health care systems and validation studies of algorithms based on databases and registries.
×
引用
GB/T 7714-2015
复制
MLA
复制
APA
复制
导出至
BibTeX EndNote RefMan NoteFirst NoteExpress
×
提示
您的信息不完整,为了账户安全,请先补充。
现在去补充
×
提示
您因"违规操作"
具体请查看互助需知
我知道了
×
提示
确定
请完成安全验证×
copy
已复制链接
快去分享给好友吧!
我知道了
右上角分享
点击右上角分享
0
联系我们:info@booksci.cn Book学术提供免费学术资源搜索服务,方便国内外学者检索中英文文献。致力于提供最便捷和优质的服务体验。 Copyright © 2023 布克学术 All rights reserved.
京ICP备2023020795号-1
ghs 京公网安备 11010802042870号
Book学术文献互助
Book学术文献互助群
群 号:604180095
Book学术官方微信