Interplay of PNPLA3 and TM6SF2 variants in modulating the risk of hepatocellular carcinoma among Egyptian hepatitis C patients.

IF 1.7 Q3 GASTROENTEROLOGY & HEPATOLOGY
Clinical and Experimental Hepatology Pub Date : 2025-06-01 Epub Date: 2025-06-26 DOI:10.5114/ceh.2025.151811
Inas M Moaz, Samar E Ghanem, Fatma O Khalil, Hossam A Galbt, Ahmed S Elbauomy, Shimaa K Elmahdy, Marwa A Tahoon
{"title":"Interplay of PNPLA3 and TM6SF2 variants in modulating the risk of hepatocellular carcinoma among Egyptian hepatitis C patients.","authors":"Inas M Moaz, Samar E Ghanem, Fatma O Khalil, Hossam A Galbt, Ahmed S Elbauomy, Shimaa K Elmahdy, Marwa A Tahoon","doi":"10.5114/ceh.2025.151811","DOIUrl":null,"url":null,"abstract":"<p><strong>Aim of the study: </strong>One of the main causes of cancer-related death worldwide is hepatocellular carcinoma (HCC), which is significantly common in Egypt because of the high prevalence of hepatitis C virus (HCV) infection. The development of HCC has been linked to genetic variations in the <i>TM6SF2</i> (rs58542926) and <i>PNPLA3</i> (rs738409) genes. The aim of this study was to assess PNPLA3 and TM6SF2 genetic variants as risk factors for HCC in Egyptian patients with chronic HCV disease.</p><p><strong>Material and methods: </strong>The study included 286 participants divided into three groups: 100 healthy controls, 89 chronic HCV patients without HCC, and 97 HCC patients with chronic HCV. Demographic and clinical data were collected. TaqMan assays were used to genotype PNPLA3 and TM6SF2.</p><p><strong>Results: </strong>The PNPLA3 CG/GG genotypes were significantly associated with an increased risk of HCC (OR = 6.8, 95% CI: 2.93-15.8 for CG, and OR = 5.49, 95% CI: 1.45-20.85 for GG). The G allele of PNPLA3 was more prevalent in HCC patients (27.4%) compared to controls (7.0%) (<i>p</i> < 0.001). Conversely, the TM6SF2 CT/TT genotypes did not show a significant association with HCC risk (<i>p</i> = 0.93), and the T allele frequency was similar across all groups (<i>p</i> = 0.66).</p><p><strong>Conclusions: </strong>The PNPLA3 (rs738409) polymorphism is a significant risk factor for HCC in Egyptian patients with chronic HCV, with the G allele notably increasing the risk. In contrast, TM6SF2 (rs58542926) polymorphisms did not show a significant association with HCC risk in this population. These findings highlight the potential for genetic screening to identify HCV patients at elevated risk for HCC.</p>","PeriodicalId":10281,"journal":{"name":"Clinical and Experimental Hepatology","volume":"11 2","pages":"169-178"},"PeriodicalIF":1.7000,"publicationDate":"2025-06-01","publicationTypes":"Journal Article","fieldsOfStudy":null,"isOpenAccess":false,"openAccessPdf":"https://www.ncbi.nlm.nih.gov/pmc/articles/PMC12403674/pdf/","citationCount":"0","resultStr":null,"platform":"Semanticscholar","paperid":null,"PeriodicalName":"Clinical and Experimental Hepatology","FirstCategoryId":"1085","ListUrlMain":"https://doi.org/10.5114/ceh.2025.151811","RegionNum":0,"RegionCategory":null,"ArticlePicture":[],"TitleCN":null,"AbstractTextCN":null,"PMCID":null,"EPubDate":"2025/6/26 0:00:00","PubModel":"Epub","JCR":"Q3","JCRName":"GASTROENTEROLOGY & HEPATOLOGY","Score":null,"Total":0}
引用次数: 0

Abstract

Aim of the study: One of the main causes of cancer-related death worldwide is hepatocellular carcinoma (HCC), which is significantly common in Egypt because of the high prevalence of hepatitis C virus (HCV) infection. The development of HCC has been linked to genetic variations in the TM6SF2 (rs58542926) and PNPLA3 (rs738409) genes. The aim of this study was to assess PNPLA3 and TM6SF2 genetic variants as risk factors for HCC in Egyptian patients with chronic HCV disease.

Material and methods: The study included 286 participants divided into three groups: 100 healthy controls, 89 chronic HCV patients without HCC, and 97 HCC patients with chronic HCV. Demographic and clinical data were collected. TaqMan assays were used to genotype PNPLA3 and TM6SF2.

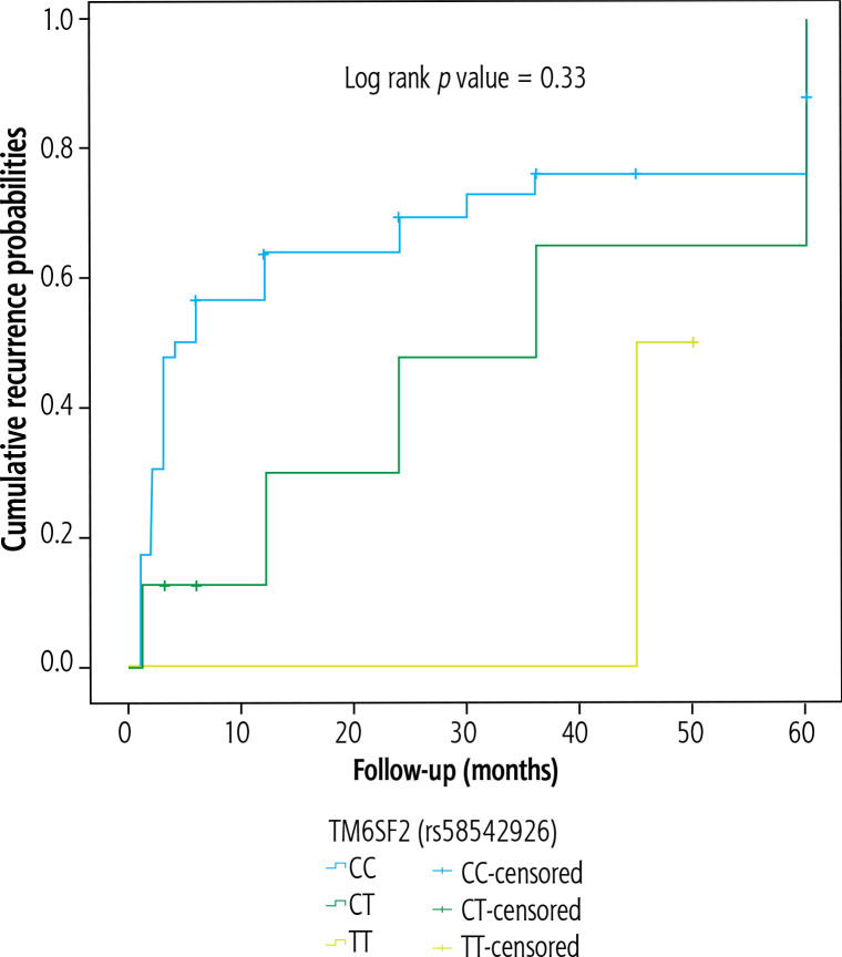
Results: The PNPLA3 CG/GG genotypes were significantly associated with an increased risk of HCC (OR = 6.8, 95% CI: 2.93-15.8 for CG, and OR = 5.49, 95% CI: 1.45-20.85 for GG). The G allele of PNPLA3 was more prevalent in HCC patients (27.4%) compared to controls (7.0%) (p < 0.001). Conversely, the TM6SF2 CT/TT genotypes did not show a significant association with HCC risk (p = 0.93), and the T allele frequency was similar across all groups (p = 0.66).

Conclusions: The PNPLA3 (rs738409) polymorphism is a significant risk factor for HCC in Egyptian patients with chronic HCV, with the G allele notably increasing the risk. In contrast, TM6SF2 (rs58542926) polymorphisms did not show a significant association with HCC risk in this population. These findings highlight the potential for genetic screening to identify HCV patients at elevated risk for HCC.

Abstract Image

Abstract Image

PNPLA3和TM6SF2变异在调节埃及丙型肝炎患者肝细胞癌风险中的相互作用
研究目的:世界范围内癌症相关死亡的主要原因之一是肝细胞癌(HCC),由于丙型肝炎病毒(HCV)感染的高流行率,这在埃及非常常见。HCC的发生与TM6SF2 (rss58542926)和PNPLA3 (rs738409)基因的遗传变异有关。本研究的目的是评估PNPLA3和TM6SF2基因变异作为埃及慢性HCV患者HCC的危险因素。材料和方法:研究纳入286名参与者,分为三组:100名健康对照组,89名无HCC的慢性HCV患者和97名HCC合并慢性HCV患者。收集了人口统计学和临床数据。采用TaqMan法对PNPLA3和TM6SF2进行基因分型。结果:PNPLA3 CG/GG基因型与HCC风险增加显著相关(CG OR = 6.8, 95% CI: 2.93-15.8; GG OR = 5.49, 95% CI: 1.45-20.85)。PNPLA3的G等位基因在HCC患者中(27.4%)比对照组(7.0%)更普遍(p < 0.001)。相反,TM6SF2 CT/TT基因型与HCC风险没有显著相关性(p = 0.93), T等位基因频率在所有组中相似(p = 0.66)。结论:PNPLA3 (rs738409)多态性是埃及慢性HCV患者发生HCC的重要危险因素,其中G等位基因显著增加HCC的风险。相比之下,TM6SF2 (rs58542926)多态性在该人群中未显示出与HCC风险的显著关联。这些发现强调了基因筛查识别HCC高风险HCV患者的潜力。
本文章由计算机程序翻译,如有差异,请以英文原文为准。
求助全文
约1分钟内获得全文 求助全文
来源期刊
Clinical and Experimental Hepatology
Clinical and Experimental Hepatology GASTROENTEROLOGY & HEPATOLOGY-
CiteScore
2.80
自引率
0.00%
发文量
32
期刊介绍: Clinical and Experimental Hepatology – quarterly of the Polish Association for Study of Liver – is a scientific and educational, peer-reviewed journal publishing original and review papers describing clinical and basic investigations in the field of hepatology.
×
引用
GB/T 7714-2015
复制
MLA
复制
APA
复制
导出至
BibTeX EndNote RefMan NoteFirst NoteExpress
×
提示
您的信息不完整,为了账户安全,请先补充。
现在去补充
×
提示
您因"违规操作"
具体请查看互助需知
我知道了
×
提示
确定
请完成安全验证×
copy
已复制链接
快去分享给好友吧!
我知道了
右上角分享
点击右上角分享
0
联系我们:info@booksci.cn Book学术提供免费学术资源搜索服务,方便国内外学者检索中英文文献。致力于提供最便捷和优质的服务体验。 Copyright © 2023 布克学术 All rights reserved.
京ICP备2023020795号-1
ghs 京公网安备 11010802042870号
Book学术文献互助
Book学术文献互助群
群 号:604180095
Book学术官方微信