Experimental Investigation of Eddy Current Pulsed Thermography Based on Ferrite-Yoke–Helmholtz-Coil for the Inspection of Hidden Corrosion Defects in CFRP-Reinforced Steel Structures

IF 0.9 4区 材料科学 Q4 MATERIALS SCIENCE, CHARACTERIZATION & TESTING
Lina Chen, Rui Liu, Changhang Xu, Yubin Zhang, Qing Zhao, Longbo Wang, Ying Li, Linglin Chen, Jing Xie
{"title":"Experimental Investigation of Eddy Current Pulsed Thermography Based on Ferrite-Yoke–Helmholtz-Coil for the Inspection of Hidden Corrosion Defects in CFRP-Reinforced Steel Structures","authors":"Lina Chen,&nbsp;Rui Liu,&nbsp;Changhang Xu,&nbsp;Yubin Zhang,&nbsp;Qing Zhao,&nbsp;Longbo Wang,&nbsp;Ying Li,&nbsp;Linglin Chen,&nbsp;Jing Xie","doi":"10.1134/S1061830925600169","DOIUrl":null,"url":null,"abstract":"<p>Carbon fiber reinforced polymer has been widely used in the repair and reinforcement of steel structures due to its excellent structural performance. The CFRP-reinforced steel structures are widely used in various industries. However, due to the effect of various unexpected loads, hybrid structures are prone to generate defects, which will harm structure safety. Hidden corrosion defect on the interface of CFRP and steel substrate is a typical defect type and proposes an urgent need for non-destructive testing (NDT) methods. This study investigates the possibilities of corrosion defect detection using eddy current pulsed thermography (ECPT) and proposes an improved excitation coil configuration, ferrite-yoke-Helmholtz-coil, to improve the effectiveness and generality of the ECPT technology. Experiments were conducted on the CFRP-reinforced steel structure with prefabricated corrosion defects, and the results demonstrate the effectiveness of the proposed excitation configuration. The influence factors of the detection effect were also studied, including the defect size, excitation current, and excitation duration. The findings demonstrate that the proposed excitation coil configuration is efficient for hidden corrosion defect detection.</p>","PeriodicalId":764,"journal":{"name":"Russian Journal of Nondestructive Testing","volume":"61 5","pages":"578 - 590"},"PeriodicalIF":0.9000,"publicationDate":"2025-09-04","publicationTypes":"Journal Article","fieldsOfStudy":null,"isOpenAccess":false,"openAccessPdf":"","citationCount":"0","resultStr":null,"platform":"Semanticscholar","paperid":null,"PeriodicalName":"Russian Journal of Nondestructive Testing","FirstCategoryId":"88","ListUrlMain":"https://link.springer.com/article/10.1134/S1061830925600169","RegionNum":4,"RegionCategory":"材料科学","ArticlePicture":[],"TitleCN":null,"AbstractTextCN":null,"PMCID":null,"EPubDate":"","PubModel":"","JCR":"Q4","JCRName":"MATERIALS SCIENCE, CHARACTERIZATION & TESTING","Score":null,"Total":0}
引用次数: 0

Abstract

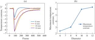
Carbon fiber reinforced polymer has been widely used in the repair and reinforcement of steel structures due to its excellent structural performance. The CFRP-reinforced steel structures are widely used in various industries. However, due to the effect of various unexpected loads, hybrid structures are prone to generate defects, which will harm structure safety. Hidden corrosion defect on the interface of CFRP and steel substrate is a typical defect type and proposes an urgent need for non-destructive testing (NDT) methods. This study investigates the possibilities of corrosion defect detection using eddy current pulsed thermography (ECPT) and proposes an improved excitation coil configuration, ferrite-yoke-Helmholtz-coil, to improve the effectiveness and generality of the ECPT technology. Experiments were conducted on the CFRP-reinforced steel structure with prefabricated corrosion defects, and the results demonstrate the effectiveness of the proposed excitation configuration. The influence factors of the detection effect were also studied, including the defect size, excitation current, and excitation duration. The findings demonstrate that the proposed excitation coil configuration is efficient for hidden corrosion defect detection.

Abstract Image

Abstract Image

基于铁氧体-约克-亥姆霍兹线圈涡流脉冲热成像检测cfrp钢结构潜在腐蚀缺陷的实验研究
碳纤维增强聚合物由于其优异的结构性能,在钢结构的修复和加固中得到了广泛的应用。cfrp增强钢结构广泛应用于各个行业。然而,由于各种意外荷载的作用,混合动力结构容易产生缺陷,危害结构安全。CFRP与钢基体界面的隐性腐蚀缺陷是一种典型的缺陷类型,提出了对无损检测方法的迫切需求。本研究探讨了利用涡流脉冲热成像(ECPT)检测腐蚀缺陷的可能性,并提出了一种改进的励磁线圈结构,铁氧体-轭-亥姆霍兹-线圈,以提高ECPT技术的有效性和通用性。对带有预制腐蚀缺陷的cfrp增强钢结构进行了试验,结果验证了所提出的激励方式的有效性。研究了缺陷尺寸、激励电流、激励持续时间等因素对检测效果的影响。研究结果表明,所提出的励磁线圈结构可以有效地检测出潜在的腐蚀缺陷。
本文章由计算机程序翻译,如有差异,请以英文原文为准。
求助全文
约1分钟内获得全文 求助全文
来源期刊
Russian Journal of Nondestructive Testing
Russian Journal of Nondestructive Testing 工程技术-材料科学:表征与测试
CiteScore
1.60
自引率
44.40%
发文量
59
审稿时长
6-12 weeks
期刊介绍: Russian Journal of Nondestructive Testing, a translation of Defectoskopiya, is a publication of the Russian Academy of Sciences. This publication offers current Russian research on the theory and technology of nondestructive testing of materials and components. It describes laboratory and industrial investigations of devices and instrumentation and provides reviews of new equipment developed for series manufacture. Articles cover all physical methods of nondestructive testing, including magnetic and electrical; ultrasonic; X-ray and Y-ray; capillary; liquid (color luminescence), and radio (for materials of low conductivity).
×
引用
GB/T 7714-2015
复制
MLA
复制
APA
复制
导出至
BibTeX EndNote RefMan NoteFirst NoteExpress
×
提示
您的信息不完整,为了账户安全,请先补充。
现在去补充
×
提示
您因"违规操作"
具体请查看互助需知
我知道了
×
提示
确定
请完成安全验证×
copy
已复制链接
快去分享给好友吧!
我知道了
右上角分享
点击右上角分享
0
联系我们:info@booksci.cn Book学术提供免费学术资源搜索服务,方便国内外学者检索中英文文献。致力于提供最便捷和优质的服务体验。 Copyright © 2023 布克学术 All rights reserved.
京ICP备2023020795号-1
ghs 京公网安备 11010802042870号
Book学术文献互助
Book学术文献互助群
群 号:604180095
Book学术官方微信