Lipopeptide adjuvants for antibiotics and vaccines: the future step in the fight against multidrug-resistant and extensively drug-resistant pathogens.

Exploration of drug science Pub Date : 2024-01-01 Epub Date: 2024-04-29 DOI:10.37349/eds.2024.00043
Chloé O Sebilleau, Steven J Sucheck
{"title":"Lipopeptide adjuvants for antibiotics and vaccines: the future step in the fight against multidrug-resistant and extensively drug-resistant pathogens.","authors":"Chloé O Sebilleau, Steven J Sucheck","doi":"10.37349/eds.2024.00043","DOIUrl":null,"url":null,"abstract":"<p><p>With the surge of antibiotic resistance in bacteria, the need for a larger arsenal of effective antibiotics and vaccines has drastically increased in the past decades. Antibiotics like vaccines can benefit from significant potentiation when used in combination with adjuvants. Antibiotic adjuvants can allow for gram-positive bacteria (GPB) specific treatments to be used against gram-negative bacteria (GNB) infections, with minimal antimicrobial resistance (AMR). In the case of vaccines, they allow for modulation and increase of the immune response. Lipopeptides are molecules of choice because of their ability to activate specific cell surface receptors, penetrate the outer membrane of GNB, safety and ease of synthesis. This review explores the recent developments in lipopeptide adjuvants for antibiotics and vaccines, providing a roadmap on how to develop adjuvants to efficiently combat AMR. After a brief overview of bacterial resistance, lipopeptide adjuvants for antibiotics and vaccines are discussed, providing insights into stability, sources, and delivery methods. Findings discussed in this review could be applied to the development of safer, more effective adjuvants, that could expand the use or repurpose current antibiotics or improve vaccination results in future clinical trials.</p>","PeriodicalId":521004,"journal":{"name":"Exploration of drug science","volume":"2 ","pages":"203-233"},"PeriodicalIF":0.0000,"publicationDate":"2024-01-01","publicationTypes":"Journal Article","fieldsOfStudy":null,"isOpenAccess":false,"openAccessPdf":"https://www.ncbi.nlm.nih.gov/pmc/articles/PMC12366752/pdf/","citationCount":"0","resultStr":null,"platform":"Semanticscholar","paperid":null,"PeriodicalName":"Exploration of drug science","FirstCategoryId":"1085","ListUrlMain":"https://doi.org/10.37349/eds.2024.00043","RegionNum":0,"RegionCategory":null,"ArticlePicture":[],"TitleCN":null,"AbstractTextCN":null,"PMCID":null,"EPubDate":"2024/4/29 0:00:00","PubModel":"Epub","JCR":"","JCRName":"","Score":null,"Total":0}
引用次数: 0

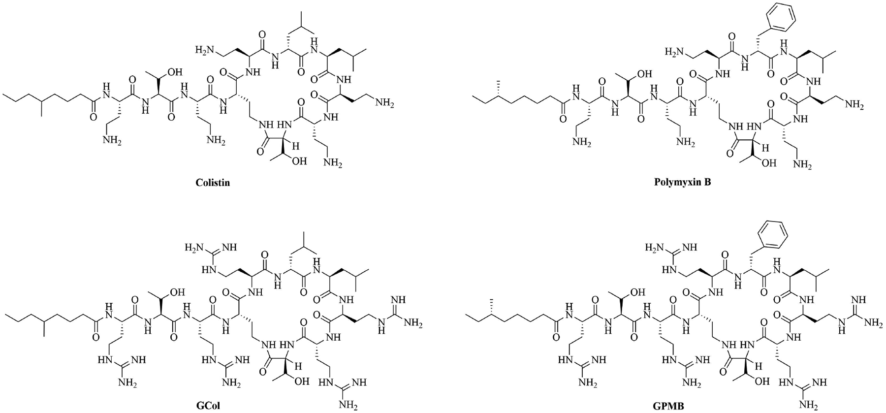
Abstract

With the surge of antibiotic resistance in bacteria, the need for a larger arsenal of effective antibiotics and vaccines has drastically increased in the past decades. Antibiotics like vaccines can benefit from significant potentiation when used in combination with adjuvants. Antibiotic adjuvants can allow for gram-positive bacteria (GPB) specific treatments to be used against gram-negative bacteria (GNB) infections, with minimal antimicrobial resistance (AMR). In the case of vaccines, they allow for modulation and increase of the immune response. Lipopeptides are molecules of choice because of their ability to activate specific cell surface receptors, penetrate the outer membrane of GNB, safety and ease of synthesis. This review explores the recent developments in lipopeptide adjuvants for antibiotics and vaccines, providing a roadmap on how to develop adjuvants to efficiently combat AMR. After a brief overview of bacterial resistance, lipopeptide adjuvants for antibiotics and vaccines are discussed, providing insights into stability, sources, and delivery methods. Findings discussed in this review could be applied to the development of safer, more effective adjuvants, that could expand the use or repurpose current antibiotics or improve vaccination results in future clinical trials.

Abstract Image

Abstract Image

Abstract Image

用于抗生素和疫苗的脂肽佐剂:对抗多重耐药和广泛耐药病原体的未来步骤。
随着细菌对抗生素耐药性的激增,在过去几十年里,对大量有效抗生素和疫苗的需求急剧增加。像疫苗这样的抗生素在与佐剂联合使用时可以从显著的增强中获益。抗生素佐剂可使革兰氏阳性菌(GPB)特异性治疗用于革兰氏阴性菌(GNB)感染,同时具有最小的抗菌素耐药性(AMR)。就疫苗而言,它们允许调节和增强免疫反应。脂肽是首选分子,因为它们能够激活特定的细胞表面受体,穿透GNB的外膜,安全性和易于合成。本文综述了用于抗生素和疫苗的脂肽佐剂的最新进展,为如何开发有效对抗抗生素耐药性的佐剂提供了路线图。在对细菌耐药性的简要概述之后,讨论了抗生素和疫苗的脂肽佐剂,提供了对稳定性,来源和递送方法的见解。本综述中讨论的结果可以应用于开发更安全、更有效的佐剂,从而扩大当前抗生素的使用或改变用途,或在未来的临床试验中改善疫苗接种结果。
本文章由计算机程序翻译,如有差异,请以英文原文为准。
求助全文
约1分钟内获得全文 求助全文
来源期刊
自引率
0.00%
发文量
0
×
引用
GB/T 7714-2015
复制
MLA
复制
APA
复制
导出至
BibTeX EndNote RefMan NoteFirst NoteExpress
×
提示
您的信息不完整,为了账户安全,请先补充。
现在去补充
×
提示
您因"违规操作"
具体请查看互助需知
我知道了
×
提示
确定
请完成安全验证×
copy
已复制链接
快去分享给好友吧!
我知道了
右上角分享
点击右上角分享
0
联系我们:info@booksci.cn Book学术提供免费学术资源搜索服务,方便国内外学者检索中英文文献。致力于提供最便捷和优质的服务体验。 Copyright © 2023 布克学术 All rights reserved.
京ICP备2023020795号-1
ghs 京公网安备 11010802042870号
Book学术文献互助
Book学术文献互助群
群 号:604180095
Book学术官方微信