MolPrompt: improving multi-modal molecular pre-training with knowledge prompts.

IF 5.4
Yang Li, Chang Liu, Xin Gao, Guohua Wang
{"title":"MolPrompt: improving multi-modal molecular pre-training with knowledge prompts.","authors":"Yang Li, Chang Liu, Xin Gao, Guohua Wang","doi":"10.1093/bioinformatics/btaf466","DOIUrl":null,"url":null,"abstract":"<p><strong>Motivation: </strong>Molecular pre-training has emerged as a foundational approach in computational drug discovery, enabling the extraction of expressive molecular representations from large-scale unlabeled datasets. However, existing methods largely focus on topological or structural features, often neglecting critical physicochemical attributes embedded in molecular systems.</p><p><strong>Result: </strong>We present MolPrompt, a knowledge-enhanced multimodal pre-training framework that integrates molecular graphs and textual descriptions via contrastive learning. MolPrompt employs a dual-encoder architecture consisting of Graphormer for graph encoding and BERT for textual encoding, and introduces knowledge prompts, semantic embeddings constructed by converting molecular descriptors into natural language, into the graph encoder to guide structure-aware representation learning. Across tasks including molecular property prediction, toxicity estimation, cross-modal retrieval, and anticancer inhibitor identification, MolPrompt consistently surpasses state-of-the-art baselines. These results highlight the value of embedding domain knowledge into structural learning to improve the depth, interpretability, and transferability of molecular representations.</p><p><strong>Availability and implementation: </strong>The source code of MolPrompt is available at: https://github.com/catly/MolPrompt.</p>","PeriodicalId":93899,"journal":{"name":"Bioinformatics (Oxford, England)","volume":" ","pages":""},"PeriodicalIF":5.4000,"publicationDate":"2025-09-01","publicationTypes":"Journal Article","fieldsOfStudy":null,"isOpenAccess":false,"openAccessPdf":"https://www.ncbi.nlm.nih.gov/pmc/articles/PMC12448219/pdf/","citationCount":"0","resultStr":null,"platform":"Semanticscholar","paperid":null,"PeriodicalName":"Bioinformatics (Oxford, England)","FirstCategoryId":"1085","ListUrlMain":"https://doi.org/10.1093/bioinformatics/btaf466","RegionNum":0,"RegionCategory":null,"ArticlePicture":[],"TitleCN":null,"AbstractTextCN":null,"PMCID":null,"EPubDate":"","PubModel":"","JCR":"","JCRName":"","Score":null,"Total":0}
引用次数: 0

Abstract

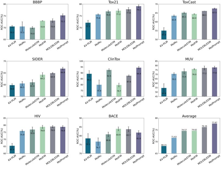
Motivation: Molecular pre-training has emerged as a foundational approach in computational drug discovery, enabling the extraction of expressive molecular representations from large-scale unlabeled datasets. However, existing methods largely focus on topological or structural features, often neglecting critical physicochemical attributes embedded in molecular systems.

Result: We present MolPrompt, a knowledge-enhanced multimodal pre-training framework that integrates molecular graphs and textual descriptions via contrastive learning. MolPrompt employs a dual-encoder architecture consisting of Graphormer for graph encoding and BERT for textual encoding, and introduces knowledge prompts, semantic embeddings constructed by converting molecular descriptors into natural language, into the graph encoder to guide structure-aware representation learning. Across tasks including molecular property prediction, toxicity estimation, cross-modal retrieval, and anticancer inhibitor identification, MolPrompt consistently surpasses state-of-the-art baselines. These results highlight the value of embedding domain knowledge into structural learning to improve the depth, interpretability, and transferability of molecular representations.

Availability and implementation: The source code of MolPrompt is available at: https://github.com/catly/MolPrompt.

Abstract Image

Abstract Image

MolPrompt:用知识提示改进多模态分子预训练。
动机:分子预训练已经成为计算药物发现的一种基础方法,可以从大规模未标记的数据集中提取具有表达性的分子表示。然而,现有的方法主要集中在拓扑或结构特征上,往往忽略了分子系统中嵌入的关键物理化学属性。结果:我们提出了MolPrompt,一个知识增强的多模态预训练框架,通过对比学习集成了分子图和文本描述。MolPrompt采用双编码器架构,其中graphhormer用于图形编码,BERT用于文本编码,并将知识提示和通过将分子描述符转换为自然语言构建的语义嵌入引入到图形编码器中,以指导结构感知表示学习。在包括分子特性预测、毒性评估、跨模态检索和抗癌抑制剂鉴定在内的任务中,MolPrompt始终超越最先进的基线。这些结果突出了将领域知识嵌入到结构学习中以提高分子表征的深度、可解释性和可转移性的价值。可用性和实现:MolPrompt的源代码可在:https://github.com/catly/MolPrompt.Supplementary信息:补充数据可在Bioinformatics在线获得。
本文章由计算机程序翻译,如有差异,请以英文原文为准。
求助全文
约1分钟内获得全文 求助全文
来源期刊
自引率
0.00%
发文量
0
×
引用
GB/T 7714-2015
复制
MLA
复制
APA
复制
导出至
BibTeX EndNote RefMan NoteFirst NoteExpress
×
提示
您的信息不完整,为了账户安全,请先补充。
现在去补充
×
提示
您因"违规操作"
具体请查看互助需知
我知道了
×
提示
确定
请完成安全验证×
copy
已复制链接
快去分享给好友吧!
我知道了
右上角分享
点击右上角分享
0
联系我们:info@booksci.cn Book学术提供免费学术资源搜索服务,方便国内外学者检索中英文文献。致力于提供最便捷和优质的服务体验。 Copyright © 2023 布克学术 All rights reserved.
京ICP备2023020795号-1
ghs 京公网安备 11010802042870号
Book学术文献互助
Book学术文献互助群
群 号:604180095
Book学术官方微信