Are Calculated Immune Markers with or Without Comorbidities Good Predictors of Colorectal Cancer Survival? The Results of a Longitudinal Study.

IF 4.4 Q1 Medicine
Zoltan Herold, Magdolna Herold, Gyongyver Szentmartoni, Reka Szalasy, Julia Lohinszky, Aniko Somogyi, Attila Marcell Szasz, Magdolna Dank
{"title":"Are Calculated Immune Markers with or Without Comorbidities Good Predictors of Colorectal Cancer Survival? The Results of a Longitudinal Study.","authors":"Zoltan Herold, Magdolna Herold, Gyongyver Szentmartoni, Reka Szalasy, Julia Lohinszky, Aniko Somogyi, Attila Marcell Szasz, Magdolna Dank","doi":"10.3390/medsci13030108","DOIUrl":null,"url":null,"abstract":"<p><strong>Background/objectives: </strong>Although numerous prognostic biomarkers have been proposed for colorectal cancer (CRC), their longitudinal evaluation remains limited. The aim of this study was to investigate longitudinal changes in biomarkers calculated from routinely used laboratory markers and their relationships to common chronic diseases (comorbidities).</p><p><strong>Methods: </strong>A retrospective longitudinal observational study was completed with the inclusion of 817 CRC patients and a total of 4542 measurement points. Pan-immune inflammation value (PIV), prognostic nutritional index (PNI), and systemic immune-inflammation index (SII) were calculated based on complete blood count and albumin measurement data.</p><p><strong>Results: </strong>Longitudinal data analyses confirmed the different values and slopes of the parameters tested at the different endpoints. Survivors had the lowest and most constant PIVs and SII values, and the highest and most slowly decreasing PNI values. Those patients with non-cancerous death had similar values to the previous cohort, but an increase/decrease occurred towards the death event. Patients with CRC-related death had significantly higher PIVs and SII values and significantly lower PNI values (<i>p</i> < 0.0001), and a significant increase/decrease was observed at the early observational periods. The presence of lymph node and/or distant metastases, adjuvant chemotherapy, and hypertension significantly affected PIVs and SII and/or PNI values. The changes in PIVs and SII and PNI values toward pathological values are poor prognostic signs (<i>p</i> < 0.0001).</p><p><strong>Conclusions: </strong>Each of the three calculated markers demonstrates suitability for longitudinal patient follow-up, and their pathological alterations over time serve as valuable prognostic indicators. They may also be useful to detect certain clinicopathological parameters early.</p>","PeriodicalId":74152,"journal":{"name":"Medical sciences (Basel, Switzerland)","volume":"13 3","pages":""},"PeriodicalIF":4.4000,"publicationDate":"2025-08-01","publicationTypes":"Journal Article","fieldsOfStudy":null,"isOpenAccess":false,"openAccessPdf":"https://www.ncbi.nlm.nih.gov/pmc/articles/PMC12371976/pdf/","citationCount":"0","resultStr":null,"platform":"Semanticscholar","paperid":null,"PeriodicalName":"Medical sciences (Basel, Switzerland)","FirstCategoryId":"1085","ListUrlMain":"https://doi.org/10.3390/medsci13030108","RegionNum":0,"RegionCategory":null,"ArticlePicture":[],"TitleCN":null,"AbstractTextCN":null,"PMCID":null,"EPubDate":"","PubModel":"","JCR":"Q1","JCRName":"Medicine","Score":null,"Total":0}
引用次数: 0

Abstract

Background/objectives: Although numerous prognostic biomarkers have been proposed for colorectal cancer (CRC), their longitudinal evaluation remains limited. The aim of this study was to investigate longitudinal changes in biomarkers calculated from routinely used laboratory markers and their relationships to common chronic diseases (comorbidities).

Methods: A retrospective longitudinal observational study was completed with the inclusion of 817 CRC patients and a total of 4542 measurement points. Pan-immune inflammation value (PIV), prognostic nutritional index (PNI), and systemic immune-inflammation index (SII) were calculated based on complete blood count and albumin measurement data.

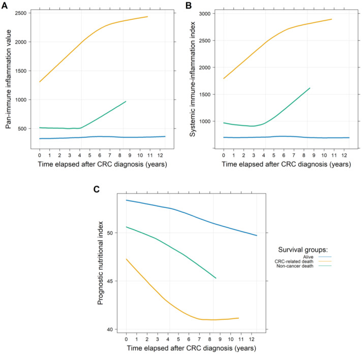
Results: Longitudinal data analyses confirmed the different values and slopes of the parameters tested at the different endpoints. Survivors had the lowest and most constant PIVs and SII values, and the highest and most slowly decreasing PNI values. Those patients with non-cancerous death had similar values to the previous cohort, but an increase/decrease occurred towards the death event. Patients with CRC-related death had significantly higher PIVs and SII values and significantly lower PNI values (p < 0.0001), and a significant increase/decrease was observed at the early observational periods. The presence of lymph node and/or distant metastases, adjuvant chemotherapy, and hypertension significantly affected PIVs and SII and/or PNI values. The changes in PIVs and SII and PNI values toward pathological values are poor prognostic signs (p < 0.0001).

Conclusions: Each of the three calculated markers demonstrates suitability for longitudinal patient follow-up, and their pathological alterations over time serve as valuable prognostic indicators. They may also be useful to detect certain clinicopathological parameters early.

Abstract Image

Abstract Image

Abstract Image

计算免疫标记是否有或无合并症是结直肠癌生存的良好预测指标?纵向研究的结果。
背景/目的:尽管许多预后生物标志物已被提出用于结直肠癌(CRC),但其纵向评估仍然有限。本研究的目的是调查从常规使用的实验室标志物计算的生物标志物的纵向变化及其与常见慢性疾病(合并症)的关系。方法:回顾性纵向观察研究,纳入817例结直肠癌患者,共4542个测量点。根据全血细胞计数和白蛋白测定数据计算泛免疫炎症值(PIV)、预后营养指数(PNI)和全身免疫炎症指数(SII)。结果:纵向数据分析证实了在不同终点测试的参数的不同值和斜率。幸存者的piv和SII值最低且最稳定,PNI值最高且下降最慢。非癌性死亡患者的数值与前一组相似,但死亡事件增加/减少。crc相关死亡患者的piv和SII值显著升高,PNI值显著降低(p < 0.0001),且在观察早期有显著升高/降低。淋巴结和/或远处转移、辅助化疗和高血压的存在显著影响piv、SII和/或PNI值。piv、SII和PNI值向病理值的变化为不良预后体征(p < 0.0001)。结论:三个计算的标记物均显示了患者纵向随访的适用性,其随时间的病理改变可作为有价值的预后指标。它们也可用于早期检测某些临床病理参数。
本文章由计算机程序翻译,如有差异,请以英文原文为准。
求助全文
约1分钟内获得全文 求助全文
来源期刊
CiteScore
9.00
自引率
0.00%
发文量
0
审稿时长
6 weeks
×
引用
GB/T 7714-2015
复制
MLA
复制
APA
复制
导出至
BibTeX EndNote RefMan NoteFirst NoteExpress
×
提示
您的信息不完整,为了账户安全,请先补充。
现在去补充
×
提示
您因"违规操作"
具体请查看互助需知
我知道了
×
提示
确定
请完成安全验证×
copy
已复制链接
快去分享给好友吧!
我知道了
右上角分享
点击右上角分享
0
联系我们:info@booksci.cn Book学术提供免费学术资源搜索服务,方便国内外学者检索中英文文献。致力于提供最便捷和优质的服务体验。 Copyright © 2023 布克学术 All rights reserved.
京ICP备2023020795号-1
ghs 京公网安备 11010802042870号
Book学术文献互助
Book学术文献互助群
群 号:604180095
Book学术官方微信