Development and internal validation of a prediction model for post-COVID-19 condition 2 years after infection-results of the CORFU study.

IF 2.6
Dorthe Odyl Klein, Nick Wilmes, Sophie F Waardenburg, Gouke J Bonsel, Erwin Birnie, Marieke Sjn Wintjens, Stella Cm Heemskerk, Emma Bnj Janssen, Chahinda Ghossein-Doha, Michiel C Warlé, Lotte Mc Jacobs, Bea Hemmen, Jeanine A Verbunt, Bas Ct van Bussel, Susanne van Santen, Bas Ljh Kietselaer, Gwyneth Jansen, Folkert W Asselbergs, Marijke Linschoten, Juanita A Haagsma, S M J van Kuijk
{"title":"Development and internal validation of a prediction model for post-COVID-19 condition 2 years after infection-results of the CORFU study.","authors":"Dorthe Odyl Klein, Nick Wilmes, Sophie F Waardenburg, Gouke J Bonsel, Erwin Birnie, Marieke Sjn Wintjens, Stella Cm Heemskerk, Emma Bnj Janssen, Chahinda Ghossein-Doha, Michiel C Warlé, Lotte Mc Jacobs, Bea Hemmen, Jeanine A Verbunt, Bas Ct van Bussel, Susanne van Santen, Bas Ljh Kietselaer, Gwyneth Jansen, Folkert W Asselbergs, Marijke Linschoten, Juanita A Haagsma, S M J van Kuijk","doi":"10.1186/s41512-025-00203-w","DOIUrl":null,"url":null,"abstract":"<p><strong>Background: </strong>A subset of COVID-19 patients develops post-COVID-19 condition (PCC). This condition results in disability in numerous areas of patients' lives and a reduced health-related quality of life, with societal impact including work absences and increased healthcare utilization. There is a scarcity of models predicting PCC, especially those considering the severity of the initial severe acute respiratory syndrome coronavirus 2 (SARS-CoV-2) infection and incorporating long-term follow-up data. Therefore, we developed and internally validated a prediction model for PCC 2 years after SARS-CoV-2 infection in a cohort of COVID-19 patients.</p><p><strong>Methods: </strong>Data from the CORona Follow-Up (CORFU) study were used. This research initiative integrated data from multiple Dutch COVID-19 cohort studies. We utilized 2-year follow-up data collected via the questionnaires between October 1st of 2021 and December 31st of 2022. Participants were former COVID-19 patients, approximately 2-year post-SARS-CoV-2 infection. Candidate predictors were selected based on literature and availability across cohorts. The outcome of interest was the prevalence of PCC at 2 years after the initial infection. Logistic regression with backward stepwise elimination identified significant predictors such as sex, BMI and initial disease severity. The model was internally validated using bootstrapping. Model performance was quantified as model fit, discrimination and calibration.</p><p><strong>Results: </strong>In total 904 former COVID-19 patients were included in the analysis. The cohort included 146 (16.2%) non-hospitalized patients, 511 (56.5%) ward admitted patients, and 247 (27.3%) intensive care unit (ICU) admitted patients. Of all participants, 551 (61.0%) participants suffered from PCC. We included 20 candidate predictors in the multivariable analysis. The final model, after backward elimination, identified sex, body mass index (BMI), ward admission, ICU admission, and comorbidities such as arrhythmia, asthma, angina pectoris, previous stroke, hernia, osteoarthritis, and rheumatoid arthritis as predictors of post-COVID-19 condition. Nagelkerke's R-squared value for the model was 0.19. The optimism-adjusted AUC was 71.2%, and calibration was good across predicted probabilities.</p><p><strong>Conclusions: </strong>This internally validated prediction model demonstrated moderate discriminative ability to predict PCC 2 years after COVID-19 based on sex, BMI, initial disease severity, and a collection of comorbidities.</p>","PeriodicalId":72800,"journal":{"name":"Diagnostic and prognostic research","volume":"9 1","pages":"18"},"PeriodicalIF":2.6000,"publicationDate":"2025-09-01","publicationTypes":"Journal Article","fieldsOfStudy":null,"isOpenAccess":false,"openAccessPdf":"https://www.ncbi.nlm.nih.gov/pmc/articles/PMC12400538/pdf/","citationCount":"0","resultStr":null,"platform":"Semanticscholar","paperid":null,"PeriodicalName":"Diagnostic and prognostic research","FirstCategoryId":"1085","ListUrlMain":"https://doi.org/10.1186/s41512-025-00203-w","RegionNum":0,"RegionCategory":null,"ArticlePicture":[],"TitleCN":null,"AbstractTextCN":null,"PMCID":null,"EPubDate":"","PubModel":"","JCR":"","JCRName":"","Score":null,"Total":0}
引用次数: 0

Abstract

Background: A subset of COVID-19 patients develops post-COVID-19 condition (PCC). This condition results in disability in numerous areas of patients' lives and a reduced health-related quality of life, with societal impact including work absences and increased healthcare utilization. There is a scarcity of models predicting PCC, especially those considering the severity of the initial severe acute respiratory syndrome coronavirus 2 (SARS-CoV-2) infection and incorporating long-term follow-up data. Therefore, we developed and internally validated a prediction model for PCC 2 years after SARS-CoV-2 infection in a cohort of COVID-19 patients.

Methods: Data from the CORona Follow-Up (CORFU) study were used. This research initiative integrated data from multiple Dutch COVID-19 cohort studies. We utilized 2-year follow-up data collected via the questionnaires between October 1st of 2021 and December 31st of 2022. Participants were former COVID-19 patients, approximately 2-year post-SARS-CoV-2 infection. Candidate predictors were selected based on literature and availability across cohorts. The outcome of interest was the prevalence of PCC at 2 years after the initial infection. Logistic regression with backward stepwise elimination identified significant predictors such as sex, BMI and initial disease severity. The model was internally validated using bootstrapping. Model performance was quantified as model fit, discrimination and calibration.

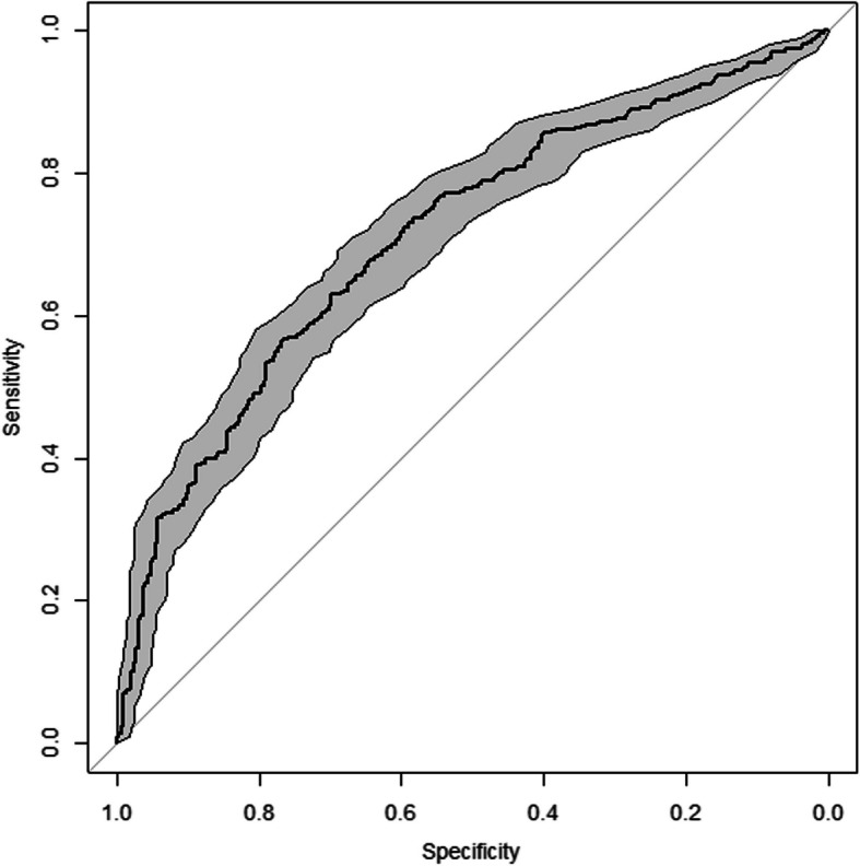
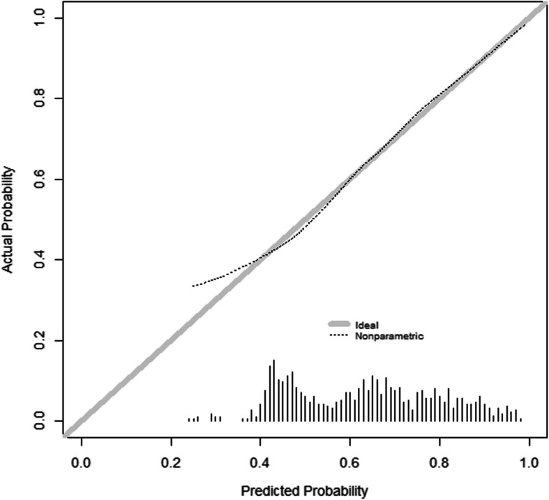
Results: In total 904 former COVID-19 patients were included in the analysis. The cohort included 146 (16.2%) non-hospitalized patients, 511 (56.5%) ward admitted patients, and 247 (27.3%) intensive care unit (ICU) admitted patients. Of all participants, 551 (61.0%) participants suffered from PCC. We included 20 candidate predictors in the multivariable analysis. The final model, after backward elimination, identified sex, body mass index (BMI), ward admission, ICU admission, and comorbidities such as arrhythmia, asthma, angina pectoris, previous stroke, hernia, osteoarthritis, and rheumatoid arthritis as predictors of post-COVID-19 condition. Nagelkerke's R-squared value for the model was 0.19. The optimism-adjusted AUC was 71.2%, and calibration was good across predicted probabilities.

Conclusions: This internally validated prediction model demonstrated moderate discriminative ability to predict PCC 2 years after COVID-19 based on sex, BMI, initial disease severity, and a collection of comorbidities.

Abstract Image

Abstract Image

感染后2年covid -19后病情预测模型的开发和内部验证- CORFU研究结果
背景:一部分COVID-19患者出现了COVID-19后病情(PCC)。这种情况导致患者在生活的许多方面残疾,并降低与健康有关的生活质量,其社会影响包括缺勤和医疗保健使用率增加。目前缺乏预测PCC的模型,特别是那些考虑到初始严重急性呼吸综合征冠状病毒2 (SARS-CoV-2)感染严重程度并纳入长期随访数据的模型。因此,我们在一组COVID-19患者中开发并内部验证了SARS-CoV-2感染2年后PCC的预测模型。方法:采用冠状病毒随访(CORFU)研究数据。这项研究计划整合了多项荷兰COVID-19队列研究的数据。我们使用了从2021年10月1日至2022年12月31日通过问卷收集的2年随访数据。参与者是前COVID-19患者,大约在sars - cov -2感染后2年。候选预测因子是根据文献和整个队列的可用性来选择的。研究的结果是首次感染后2年的PCC患病率。采用反向逐步消除的逻辑回归确定了显著的预测因素,如性别、BMI和初始疾病严重程度。采用自举法对模型进行内部验证。将模型性能量化为模型拟合、判别和校准。结果:共904例新冠肺炎患者纳入分析。该队列包括146例(16.2%)非住院患者,511例(56.5%)住院患者和247例(27.3%)重症监护病房(ICU)住院患者。在所有参与者中,551名(61.0%)参与者患有PCC。我们在多变量分析中纳入了20个候选预测因子。最终的模型,在反向排除后,确定性别、体重指数(BMI)、病房入住情况、ICU入住情况以及合并症,如心律失常、哮喘、心绞痛、既往中风、疝气、骨关节炎和类风湿性关节炎作为covid -19后病情的预测因素。该模型的Nagelkerke的r平方值为0.19。乐观调整的AUC为71.2%,在预测概率范围内校准良好。结论:该内部验证的预测模型基于性别、BMI、初始疾病严重程度和合共病的集合,显示出中度判别能力,可以预测COVID-19后2年的PCC。
本文章由计算机程序翻译,如有差异,请以英文原文为准。
求助全文
约1分钟内获得全文 求助全文
来源期刊
自引率
0.00%
发文量
0
审稿时长
18 weeks
×
引用
GB/T 7714-2015
复制
MLA
复制
APA
复制
导出至
BibTeX EndNote RefMan NoteFirst NoteExpress
×
提示
您的信息不完整,为了账户安全,请先补充。
现在去补充
×
提示
您因"违规操作"
具体请查看互助需知
我知道了
×
提示
确定
请完成安全验证×
copy
已复制链接
快去分享给好友吧!
我知道了
右上角分享
点击右上角分享
0
联系我们:info@booksci.cn Book学术提供免费学术资源搜索服务,方便国内外学者检索中英文文献。致力于提供最便捷和优质的服务体验。 Copyright © 2023 布克学术 All rights reserved.
京ICP备2023020795号-1
ghs 京公网安备 11010802042870号
Book学术文献互助
Book学术文献互助群
群 号:604180095
Book学术官方微信