A Machine Learning Model for Predicting Sarcopenia Among Middle-Aged Adults: Development and External Validation.

IF 3.8 3区 医学 Q2 MEDICAL INFORMATICS
Hye Jin Chong
{"title":"A Machine Learning Model for Predicting Sarcopenia Among Middle-Aged Adults: Development and External Validation.","authors":"Hye Jin Chong","doi":"10.2196/75760","DOIUrl":null,"url":null,"abstract":"<p><strong>Background: </strong>Sarcopenia is a common muscle disorder in older adults, and its early identification and management in middle-aged populations are essential for ensuring a healthier later life. Detecting sarcopenia at an earlier stage may reduce the future burden on health care systems and enhance the quality of life in older adults. Machine learning (ML) models can evaluate large datasets, identify essential variables, and find complicated correlations between input variables. However, using ML models to detect sarcopenia remains an unsatisfied need.</p><p><strong>Objective: </strong>This study aimed to develop and externally validate an ML model to predict sarcopenia risk among middle-aged adults using a nationally representative dataset.</p><p><strong>Methods: </strong>We analyzed data from 1926 participants aged 40 to 64 years and enrolled in the 2022 Korea National Health and Nutrition Examination Survey (KNHANES). Sarcopenia was diagnosed and defined based on the 2019 Asian Working Group for Sarcopenia criteria, which incorporate both low muscle mass and reduced muscle strength. Muscle mass was assessed using bioelectrical impedance analysis with cutoffs of <7.0 kg/m² for men and <5.7 kg/m² for women. Muscle strength was measured via handgrip strength using a digital dynamometer with thresholds of <28 kg for men and <18 kg for women. Participants meeting both criteria were classified as those with sarcopenia. Four ML algorithms, random forest, support vector machine, extreme gradient boosting, and logistic regression, were used to identify risk factors of sarcopenia and predict its likelihood. The top-performing model was subsequently validated in an external cohort of 2247 middle-aged adults from the 2023 KNHANES. Model performance was assessed using the F<sub>2</sub>-score, area under the curve of a receiver operating characteristic curve, and sensitivity. All analyses were conducted using Python 3.13.2 (Python Software Foundation).</p><p><strong>Results: </strong>Among the 4 models, the logistic regression model demonstrated the strongest performance, yielding an area under the curve of 0.85, a sensitivity of 0.92, and an F<sub>2</sub>-score of 0.66. External validation using the 2023 KNHANES dataset confirmed the model's robust performance, indicating its potential for widespread applications.</p><p><strong>Conclusions: </strong>This study developed and externally validated an ML model that accurately identified sarcopenia in middle-aged adults. Leveraging data from a comprehensive national survey, our findings underscore the significance of early detection and customized interventions in midlife to mitigate sarcopenia risk and optimize long-term health outcomes.</p>","PeriodicalId":56334,"journal":{"name":"JMIR Medical Informatics","volume":"13 ","pages":"e75760"},"PeriodicalIF":3.8000,"publicationDate":"2025-08-27","publicationTypes":"Journal Article","fieldsOfStudy":null,"isOpenAccess":false,"openAccessPdf":"https://www.ncbi.nlm.nih.gov/pmc/articles/PMC12423610/pdf/","citationCount":"0","resultStr":null,"platform":"Semanticscholar","paperid":null,"PeriodicalName":"JMIR Medical Informatics","FirstCategoryId":"3","ListUrlMain":"https://doi.org/10.2196/75760","RegionNum":3,"RegionCategory":"医学","ArticlePicture":[],"TitleCN":null,"AbstractTextCN":null,"PMCID":null,"EPubDate":"","PubModel":"","JCR":"Q2","JCRName":"MEDICAL INFORMATICS","Score":null,"Total":0}
引用次数: 0

Abstract

Background: Sarcopenia is a common muscle disorder in older adults, and its early identification and management in middle-aged populations are essential for ensuring a healthier later life. Detecting sarcopenia at an earlier stage may reduce the future burden on health care systems and enhance the quality of life in older adults. Machine learning (ML) models can evaluate large datasets, identify essential variables, and find complicated correlations between input variables. However, using ML models to detect sarcopenia remains an unsatisfied need.

Objective: This study aimed to develop and externally validate an ML model to predict sarcopenia risk among middle-aged adults using a nationally representative dataset.

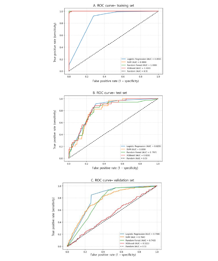
Methods: We analyzed data from 1926 participants aged 40 to 64 years and enrolled in the 2022 Korea National Health and Nutrition Examination Survey (KNHANES). Sarcopenia was diagnosed and defined based on the 2019 Asian Working Group for Sarcopenia criteria, which incorporate both low muscle mass and reduced muscle strength. Muscle mass was assessed using bioelectrical impedance analysis with cutoffs of <7.0 kg/m² for men and <5.7 kg/m² for women. Muscle strength was measured via handgrip strength using a digital dynamometer with thresholds of <28 kg for men and <18 kg for women. Participants meeting both criteria were classified as those with sarcopenia. Four ML algorithms, random forest, support vector machine, extreme gradient boosting, and logistic regression, were used to identify risk factors of sarcopenia and predict its likelihood. The top-performing model was subsequently validated in an external cohort of 2247 middle-aged adults from the 2023 KNHANES. Model performance was assessed using the F2-score, area under the curve of a receiver operating characteristic curve, and sensitivity. All analyses were conducted using Python 3.13.2 (Python Software Foundation).

Results: Among the 4 models, the logistic regression model demonstrated the strongest performance, yielding an area under the curve of 0.85, a sensitivity of 0.92, and an F2-score of 0.66. External validation using the 2023 KNHANES dataset confirmed the model's robust performance, indicating its potential for widespread applications.

Conclusions: This study developed and externally validated an ML model that accurately identified sarcopenia in middle-aged adults. Leveraging data from a comprehensive national survey, our findings underscore the significance of early detection and customized interventions in midlife to mitigate sarcopenia risk and optimize long-term health outcomes.

Abstract Image

Abstract Image

预测中年人肌肉减少症的机器学习模型:开发和外部验证。
背景:骨骼肌减少症是老年人常见的肌肉疾病,其在中年人群中的早期识别和治疗对于确保更健康的晚年生活至关重要。在早期阶段发现肌肉减少症可以减轻未来卫生保健系统的负担,并提高老年人的生活质量。机器学习(ML)模型可以评估大型数据集,识别基本变量,并找到输入变量之间复杂的相关性。然而,使用ML模型检测肌肉减少症仍然是一个未被满足的需求。目的:本研究旨在开发并外部验证ML模型,以使用具有全国代表性的数据集预测中年人肌肉减少症的风险。方法:我们分析了1926名年龄在40至64岁之间的参与者的数据,这些参与者参加了2022年韩国国家健康与营养调查(KNHANES)。肌肉减少症是根据2019年亚洲肌肉减少症工作组的标准诊断和定义的,其中包括肌肉质量低和肌肉力量下降。肌肉质量通过2分截止的生物电阻抗分析、接受者工作特性曲线下面积和灵敏度进行评估。所有分析均使用Python 3.13.2 (Python Software Foundation)进行。结果:4个模型中,logistic回归模型表现最好,曲线下面积为0.85,灵敏度为0.92,f2评分为0.66。使用2023 KNHANES数据集的外部验证证实了该模型的稳健性能,表明其具有广泛应用的潜力。结论:本研究开发并外部验证了一个ML模型,该模型可以准确识别中年人的肌肉减少症。利用一项全面的全国调查数据,我们的研究结果强调了在中年早期发现和定制干预对于减轻肌肉减少症风险和优化长期健康结果的重要性。
本文章由计算机程序翻译,如有差异,请以英文原文为准。
求助全文
约1分钟内获得全文 求助全文
来源期刊
JMIR Medical Informatics
JMIR Medical Informatics Medicine-Health Informatics
CiteScore
7.90
自引率
3.10%
发文量
173
审稿时长
12 weeks
期刊介绍: JMIR Medical Informatics (JMI, ISSN 2291-9694) is a top-rated, tier A journal which focuses on clinical informatics, big data in health and health care, decision support for health professionals, electronic health records, ehealth infrastructures and implementation. It has a focus on applied, translational research, with a broad readership including clinicians, CIOs, engineers, industry and health informatics professionals. Published by JMIR Publications, publisher of the Journal of Medical Internet Research (JMIR), the leading eHealth/mHealth journal (Impact Factor 2016: 5.175), JMIR Med Inform has a slightly different scope (emphasizing more on applications for clinicians and health professionals rather than consumers/citizens, which is the focus of JMIR), publishes even faster, and also allows papers which are more technical or more formative than what would be published in the Journal of Medical Internet Research.
×
引用
GB/T 7714-2015
复制
MLA
复制
APA
复制
导出至
BibTeX EndNote RefMan NoteFirst NoteExpress
×
提示
您的信息不完整,为了账户安全,请先补充。
现在去补充
×
提示
您因"违规操作"
具体请查看互助需知
我知道了
×
提示
确定
请完成安全验证×
copy
已复制链接
快去分享给好友吧!
我知道了
右上角分享
点击右上角分享
0
联系我们:info@booksci.cn Book学术提供免费学术资源搜索服务,方便国内外学者检索中英文文献。致力于提供最便捷和优质的服务体验。 Copyright © 2023 布克学术 All rights reserved.
京ICP备2023020795号-1
ghs 京公网安备 11010802042870号
Book学术文献互助
Book学术文献互助群
群 号:604180095
Book学术官方微信