Multisequence magnetic resonance imaging habitat analysis for pre-operative meningioma grade prediction.

IF 2.3 2区 医学 Q2 RADIOLOGY, NUCLEAR MEDICINE & MEDICAL IMAGING
Zongyou Cai, Ye Heng Wong, Tiffany Y So
{"title":"Multisequence magnetic resonance imaging habitat analysis for pre-operative meningioma grade prediction.","authors":"Zongyou Cai, Ye Heng Wong, Tiffany Y So","doi":"10.21037/qims-2025-1041","DOIUrl":null,"url":null,"abstract":"<p><strong>Background: </strong>Accurate grading of meningiomas is crucial for patient prognostication and management. Intratumoral heterogeneity may lead to differences in the biological and radiological properties observed within different tumor subregions. This study aimed to represent the spatial distributions and local patterns of tumor heterogeneity in meningiomas using non-invasive habitat analysis on filtered multisequence magnetic resonance imaging (MRI) and evaluate the utility of integrated models combining habitat and clinical data for meningioma grade prediction.</p><p><strong>Methods: </strong>Sixty patients with pathologically confirmed meningiomas [30 World Health Organization (WHO) grade 1, 28 grade 2, 2 grade 3] were retrospectively included in this cross-sectional study. Pre-operative T2-weighted (T2W) and T1-weighted with contrast (T1C) MRI sequences were processed using a three-dimensional (3D) Laplacian of Gaussian (LoG) filter (σ=3), and four distinct tumor habitats were generated using Otsu's thresholding method. Relative mean, relative standard deviation (SD), and entropy were quantified for each habitat on MRI.</p><p><strong>Results: </strong>Significant differences in relative mean intensities were observed between habitats in individual patients for both low-grade and high-grade meningiomas (P<0.01). High-grade meningiomas exhibited significantly higher relative mean and SD of T2W and T1C intensities across habitats compared to low-grade tumors (P≤0.03). The entropy of T1C was also significantly higher in high-grade tumors (P≤0.01). The integrated model incorporating the selected habitat measures and clinical factors achieved an area under the curve (AUC) of 0.84 [95% bootstrap confidence interval (CI): 0.72-0.92] in differentiating high-grade from low-grade meningiomas, with 0.78 accuracy, 0.73 sensitivity, and 0.83 specificity.</p><p><strong>Conclusions: </strong>Habitat analysis of conventional multisequence MRI provides a promising non-invasive approach to capture tumor heterogeneity for meningioma grading.</p>","PeriodicalId":54267,"journal":{"name":"Quantitative Imaging in Medicine and Surgery","volume":"15 9","pages":"7874-7884"},"PeriodicalIF":2.3000,"publicationDate":"2025-09-01","publicationTypes":"Journal Article","fieldsOfStudy":null,"isOpenAccess":false,"openAccessPdf":"https://www.ncbi.nlm.nih.gov/pmc/articles/PMC12397627/pdf/","citationCount":"0","resultStr":null,"platform":"Semanticscholar","paperid":null,"PeriodicalName":"Quantitative Imaging in Medicine and Surgery","FirstCategoryId":"3","ListUrlMain":"https://doi.org/10.21037/qims-2025-1041","RegionNum":2,"RegionCategory":"医学","ArticlePicture":[],"TitleCN":null,"AbstractTextCN":null,"PMCID":null,"EPubDate":"2025/8/19 0:00:00","PubModel":"Epub","JCR":"Q2","JCRName":"RADIOLOGY, NUCLEAR MEDICINE & MEDICAL IMAGING","Score":null,"Total":0}
引用次数: 0

Abstract

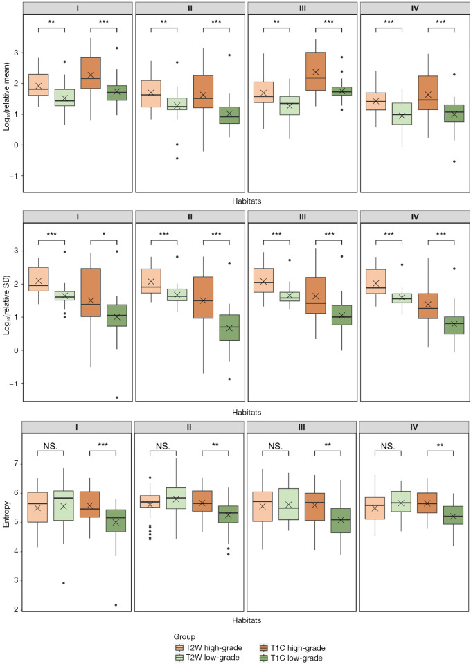
Background: Accurate grading of meningiomas is crucial for patient prognostication and management. Intratumoral heterogeneity may lead to differences in the biological and radiological properties observed within different tumor subregions. This study aimed to represent the spatial distributions and local patterns of tumor heterogeneity in meningiomas using non-invasive habitat analysis on filtered multisequence magnetic resonance imaging (MRI) and evaluate the utility of integrated models combining habitat and clinical data for meningioma grade prediction.

Methods: Sixty patients with pathologically confirmed meningiomas [30 World Health Organization (WHO) grade 1, 28 grade 2, 2 grade 3] were retrospectively included in this cross-sectional study. Pre-operative T2-weighted (T2W) and T1-weighted with contrast (T1C) MRI sequences were processed using a three-dimensional (3D) Laplacian of Gaussian (LoG) filter (σ=3), and four distinct tumor habitats were generated using Otsu's thresholding method. Relative mean, relative standard deviation (SD), and entropy were quantified for each habitat on MRI.

Results: Significant differences in relative mean intensities were observed between habitats in individual patients for both low-grade and high-grade meningiomas (P<0.01). High-grade meningiomas exhibited significantly higher relative mean and SD of T2W and T1C intensities across habitats compared to low-grade tumors (P≤0.03). The entropy of T1C was also significantly higher in high-grade tumors (P≤0.01). The integrated model incorporating the selected habitat measures and clinical factors achieved an area under the curve (AUC) of 0.84 [95% bootstrap confidence interval (CI): 0.72-0.92] in differentiating high-grade from low-grade meningiomas, with 0.78 accuracy, 0.73 sensitivity, and 0.83 specificity.

Conclusions: Habitat analysis of conventional multisequence MRI provides a promising non-invasive approach to capture tumor heterogeneity for meningioma grading.

Abstract Image

Abstract Image

Abstract Image

术前多序列磁共振成像栖息地分析预测脑膜瘤分级。
背景:脑膜瘤的准确分级对患者预后和治疗至关重要。肿瘤内的异质性可能导致在不同肿瘤亚区观察到的生物学和放射学特性的差异。本研究旨在利用滤波多序列磁共振成像(MRI)的非侵入性栖息地分析来表征脑膜瘤肿瘤异质性的空间分布和局部模式,并评估结合栖息地和临床数据的综合模型在脑膜瘤分级预测中的实用性。方法:回顾性分析60例经病理证实的脑膜瘤患者[30例世界卫生组织(WHO)分级为1级,28例为2级,2例为3级]。术前t2加权(T2W)和t1加权对比(T1C) MRI序列采用三维(3D)拉普拉斯高斯(LoG)滤波(σ=3)处理,并采用Otsu阈值法生成4种不同的肿瘤栖息地。在MRI上量化各生境的相对均值、相对标准差(SD)和熵。结果:低级别和高级别脑膜瘤患者个体的相对平均强度存在显著差异(结论:常规多序列MRI的栖息地分析为脑膜瘤分级提供了一种有希望的非侵入性方法来捕获肿瘤异质性。
本文章由计算机程序翻译,如有差异,请以英文原文为准。
求助全文
约1分钟内获得全文 求助全文
来源期刊
Quantitative Imaging in Medicine and Surgery
Quantitative Imaging in Medicine and Surgery Medicine-Radiology, Nuclear Medicine and Imaging
CiteScore
4.20
自引率
17.90%
发文量
252
期刊介绍: Information not localized
×
引用
GB/T 7714-2015
复制
MLA
复制
APA
复制
导出至
BibTeX EndNote RefMan NoteFirst NoteExpress
×
提示
您的信息不完整,为了账户安全,请先补充。
现在去补充
×
提示
您因"违规操作"
具体请查看互助需知
我知道了
×
提示
确定
请完成安全验证×
copy
已复制链接
快去分享给好友吧!
我知道了
右上角分享
点击右上角分享
0
联系我们:info@booksci.cn Book学术提供免费学术资源搜索服务,方便国内外学者检索中英文文献。致力于提供最便捷和优质的服务体验。 Copyright © 2023 布克学术 All rights reserved.
京ICP备2023020795号-1
ghs 京公网安备 11010802042870号
Book学术文献互助
Book学术文献互助群
群 号:604180095
Book学术官方微信