Impact of a deep learning image reconstruction algorithm on the robustness of abdominal computed tomography radiomics features using standard and low radiation doses.

IF 2.3 2区 医学 Q2 RADIOLOGY, NUCLEAR MEDICINE & MEDICAL IMAGING
Quantitative Imaging in Medicine and Surgery Pub Date : 2025-09-01 Epub Date: 2025-08-18 DOI:10.21037/qims-2025-238
Shuo Yang, Yifan Bie, Lei Zhao, Kun Luan, Xingchao Li, Yanheng Chi, Zhen Bian, Deqing Zhang, Guodong Pang, Hai Zhong
{"title":"Impact of a deep learning image reconstruction algorithm on the robustness of abdominal computed tomography radiomics features using standard and low radiation doses.","authors":"Shuo Yang, Yifan Bie, Lei Zhao, Kun Luan, Xingchao Li, Yanheng Chi, Zhen Bian, Deqing Zhang, Guodong Pang, Hai Zhong","doi":"10.21037/qims-2025-238","DOIUrl":null,"url":null,"abstract":"<p><strong>Background: </strong>Deep learning image reconstruction (DLIR) can enhance image quality and lower image dose, yet its impact on radiomics features (RFs) remains unclear. This study aimed to compare the effects of DLIR and conventional adaptive statistical iterative reconstruction-Veo (ASIR-V) algorithms on the robustness of RFs using standard and low-dose abdominal clinical computed tomography (CT) scans.</p><p><strong>Methods: </strong>A total of 54 patients with hepatic masses who underwent abdominal contrast-enhanced CT scans were retrospectively analyzed. The raw data of standard dose in the venous phase and low dose in the delayed phase were reconstructed using five reconstruction settings, including ASIR-V at 30% (ASIR-V30%) and 70% (ASIR-V70%) levels, and DLIR at low (DLIR-L), medium (DLIR-M), and high (DLIR-H) levels. The PyRadiomics platform was used for the extraction of RFs in 18 regions of interest (ROIs) in different organs or tissues. The consistency of RFs among different algorithms and different strength levels was tested by coefficient of variation (CV) and quartile coefficient of dispersion (QCD). The consistency of RFs among different strength levels of the same algorithm and clinically comparable levels across algorithms was evaluated by intraclass correlation coefficient (ICC). Robust features were identified by Kruskal-Wallis and Mann-Whitney <i>U</i> test.</p><p><strong>Results: </strong>Among the five reconstruction methods, the mean CV and QCD in the standard-dose group were 0.364 and 0.213, respectively, and the corresponding values were 0.444 and 0.245 in the low-dose group. The mean ICC values between ASIR-V 30% and 70%, DLIR-L and M, DLIR-M and H, DLIR-L and H, ASIR-V30% and DLIR-M, and ASIR-V70% and DLIR-H were 0.672, 0.734, 0.756, 0.629, 0.724, and 0.651, respectively, in the standard-dose group, and the corresponding values were 0.500, 0.567, 0.700, 0.474, 0.499, and 0.650 in the low-dose group. The ICC values between DLIR-M and H under low-dose conditions were even higher than those of ASIR-V30% and -V70% under standard dose conditions. Among the five reconstruction settings, averages of 14.0% (117/837) and 10.3% (86/837) of RFs across 18 ROIs exhibited robustness under standard-dose and low-dose conditions, respectively. Some 23.1% (193/837) of RFs demonstrated robustness between the low-dose DLIR-M and H groups, which was higher than the 21.0% (176/837) observed in the standard-dose ASIR-V30% and -V70% groups.</p><p><strong>Conclusions: </strong>Most of the RFs lacked reproducibility across algorithms and energy levels. However, DLIR at medium (M) and high (H) levels significantly improved RFs consistency and robustness, even at reduced doses.</p>","PeriodicalId":54267,"journal":{"name":"Quantitative Imaging in Medicine and Surgery","volume":"15 9","pages":"7922-7934"},"PeriodicalIF":2.3000,"publicationDate":"2025-09-01","publicationTypes":"Journal Article","fieldsOfStudy":null,"isOpenAccess":false,"openAccessPdf":"https://www.ncbi.nlm.nih.gov/pmc/articles/PMC12397659/pdf/","citationCount":"0","resultStr":null,"platform":"Semanticscholar","paperid":null,"PeriodicalName":"Quantitative Imaging in Medicine and Surgery","FirstCategoryId":"3","ListUrlMain":"https://doi.org/10.21037/qims-2025-238","RegionNum":2,"RegionCategory":"医学","ArticlePicture":[],"TitleCN":null,"AbstractTextCN":null,"PMCID":null,"EPubDate":"2025/8/18 0:00:00","PubModel":"Epub","JCR":"Q2","JCRName":"RADIOLOGY, NUCLEAR MEDICINE & MEDICAL IMAGING","Score":null,"Total":0}
引用次数: 0

Abstract

Background: Deep learning image reconstruction (DLIR) can enhance image quality and lower image dose, yet its impact on radiomics features (RFs) remains unclear. This study aimed to compare the effects of DLIR and conventional adaptive statistical iterative reconstruction-Veo (ASIR-V) algorithms on the robustness of RFs using standard and low-dose abdominal clinical computed tomography (CT) scans.

Methods: A total of 54 patients with hepatic masses who underwent abdominal contrast-enhanced CT scans were retrospectively analyzed. The raw data of standard dose in the venous phase and low dose in the delayed phase were reconstructed using five reconstruction settings, including ASIR-V at 30% (ASIR-V30%) and 70% (ASIR-V70%) levels, and DLIR at low (DLIR-L), medium (DLIR-M), and high (DLIR-H) levels. The PyRadiomics platform was used for the extraction of RFs in 18 regions of interest (ROIs) in different organs or tissues. The consistency of RFs among different algorithms and different strength levels was tested by coefficient of variation (CV) and quartile coefficient of dispersion (QCD). The consistency of RFs among different strength levels of the same algorithm and clinically comparable levels across algorithms was evaluated by intraclass correlation coefficient (ICC). Robust features were identified by Kruskal-Wallis and Mann-Whitney U test.

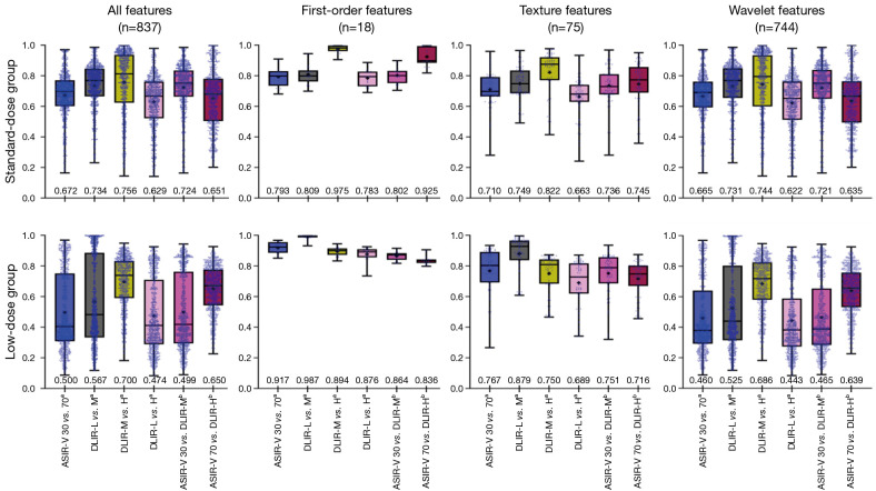
Results: Among the five reconstruction methods, the mean CV and QCD in the standard-dose group were 0.364 and 0.213, respectively, and the corresponding values were 0.444 and 0.245 in the low-dose group. The mean ICC values between ASIR-V 30% and 70%, DLIR-L and M, DLIR-M and H, DLIR-L and H, ASIR-V30% and DLIR-M, and ASIR-V70% and DLIR-H were 0.672, 0.734, 0.756, 0.629, 0.724, and 0.651, respectively, in the standard-dose group, and the corresponding values were 0.500, 0.567, 0.700, 0.474, 0.499, and 0.650 in the low-dose group. The ICC values between DLIR-M and H under low-dose conditions were even higher than those of ASIR-V30% and -V70% under standard dose conditions. Among the five reconstruction settings, averages of 14.0% (117/837) and 10.3% (86/837) of RFs across 18 ROIs exhibited robustness under standard-dose and low-dose conditions, respectively. Some 23.1% (193/837) of RFs demonstrated robustness between the low-dose DLIR-M and H groups, which was higher than the 21.0% (176/837) observed in the standard-dose ASIR-V30% and -V70% groups.

Conclusions: Most of the RFs lacked reproducibility across algorithms and energy levels. However, DLIR at medium (M) and high (H) levels significantly improved RFs consistency and robustness, even at reduced doses.

Abstract Image

Abstract Image

Abstract Image

深度学习图像重建算法对使用标准和低辐射剂量的腹部计算机断层扫描放射组学特征的鲁棒性的影响
背景:深度学习图像重建(DLIR)可以提高图像质量和降低图像剂量,但其对放射组学特征(RFs)的影响尚不清楚。本研究旨在比较DLIR和传统的自适应统计迭代重建- veo (ASIR-V)算法对标准和低剂量腹部临床计算机断层扫描(CT)图像鲁棒性的影响。方法:回顾性分析54例肝脏肿块行腹部CT增强扫描的临床资料。采用ASIR-V30% (ASIR-V30%)、70% (ASIR-V70%)水平和DLIR低(DLIR- l)、中(DLIR- m)、高(DLIR- h) 5种重建设置重建静脉期标准剂量和延迟期低剂量原始数据。PyRadiomics平台用于提取不同器官或组织中18个感兴趣区域(roi)的rf。通过变异系数(CV)和四分位数离散系数(QCD)检验不同算法和不同强度水平RFs的一致性。通过类内相关系数(ICC)评估同一算法不同强度水平和不同算法之间临床可比水平的RFs的一致性。鲁棒性特征由Kruskal-Wallis和Mann-Whitney U检验确定。结果:5种重构方法中,标准剂量组的CV均值为0.364,QCD均值为0.213,低剂量组的CV均值为0.444,QCD均值为0.245。标准剂量组ASIR-V30%与70%、d里尔- l与M、d里尔-M与H、d里尔- l与H、ASIR-V30%与d里尔-M、ASIR-V70%与d里尔-H之间的ICC平均值分别为0.672、0.734、0.756、0.629、0.724、0.651,低剂量组ASIR-V70%与d里尔-H的ICC平均值分别为0.500、0.567、0.700、0.474、0.499、0.650。低剂量条件下DLIR-M与H之间的ICC值甚至高于标准剂量条件下ASIR-V30%和-V70%的ICC值。在5种重建设置中,在标准剂量和低剂量条件下,18个roi中平均14.0%(117/837)和10.3%(86/837)的RFs表现出鲁棒性。低剂量dir - m组和H组的RFs有23.1%(193/837)的稳健性,高于标准剂量ASIR-V30%和-V70%组的21.0%(176/837)。结论:大多数RFs缺乏跨算法和能量水平的可重复性。然而,中(M)和高(H)水平的DLIR即使在减少剂量下也能显著提高RFs的一致性和稳健性。
本文章由计算机程序翻译,如有差异,请以英文原文为准。
求助全文
约1分钟内获得全文 求助全文
来源期刊
Quantitative Imaging in Medicine and Surgery
Quantitative Imaging in Medicine and Surgery Medicine-Radiology, Nuclear Medicine and Imaging
CiteScore
4.20
自引率
17.90%
发文量
252
期刊介绍: Information not localized
×
引用
GB/T 7714-2015
复制
MLA
复制
APA
复制
导出至
BibTeX EndNote RefMan NoteFirst NoteExpress
×
提示
您的信息不完整,为了账户安全,请先补充。
现在去补充
×
提示
您因"违规操作"
具体请查看互助需知
我知道了
×
提示
确定
请完成安全验证×
copy
已复制链接
快去分享给好友吧!
我知道了
右上角分享
点击右上角分享
0
联系我们:info@booksci.cn Book学术提供免费学术资源搜索服务,方便国内外学者检索中英文文献。致力于提供最便捷和优质的服务体验。 Copyright © 2023 布克学术 All rights reserved.
京ICP备2023020795号-1
ghs 京公网安备 11010802042870号
Book学术文献互助
Book学术文献互助群
群 号:604180095
Book学术官方微信