Reliability of Automated Amyloid PET Quantification: Real-World Validation of Commercial Tools Against Centiloid Project Method.

IF 2.2 4区 医学 Q2 RADIOLOGY, NUCLEAR MEDICINE & MEDICAL IMAGING
Yeon-Koo Kang, Jae Won Min, Soo Jin Kwon, Seunggyun Ha
{"title":"Reliability of Automated Amyloid PET Quantification: Real-World Validation of Commercial Tools Against Centiloid Project Method.","authors":"Yeon-Koo Kang, Jae Won Min, Soo Jin Kwon, Seunggyun Ha","doi":"10.3390/tomography11080086","DOIUrl":null,"url":null,"abstract":"<p><p><b>Background:</b> Despite the growing demand for amyloid PET quantification, practical challenges remain. As automated software platforms are increasingly adopted to address these limitations, we evaluated the reliability of commercial tools for Centiloid quantification against the original Centiloid Project method. <b>Methods:</b> This retrospective study included 332 amyloid PET scans (165 [<sup>18</sup>F]Florbetaben; 167 [<sup>18</sup>F]Flutemetamol) performed for suspected mild cognitive impairments or dementia, paired with T1-weighted MRI within one year. Centiloid values were calculated using three automated software platforms, BTXBrain, MIMneuro, and SCALE PET, and compared with the original Centiloid method. The agreement was assessed using Pearson's correlation coefficient, the intraclass correlation coefficient (ICC), a Passing-Bablok regression, and Bland-Altman plots. The concordance with the visual interpretation was evaluated using receiver operating characteristic (ROC) curves. <b>Results:</b> BTXBrain (R = 0.993; ICC = 0.986) and SCALE PET (R = 0.992; ICC = 0.991) demonstrated an excellent correlation with the reference, while MIMneuro showed a slightly lower agreement (R = 0.974; ICC = 0.966). BTXBrain exhibited a proportional underestimation (slope = 0.872 [0.860-0.885]), MIMneuro showed a significant overestimation (slope = 1.053 [1.026-1.081]), and SCALE PET demonstrated a minimal bias (slope = 1.014 [0.999-1.029]). The bias pattern was particularly noted for FMM. All platforms maintained their trends for correlations and biases when focusing on subthreshold-to-low-positive ranges (0-50 Centiloid units). However, all platforms showed an excellent agreement with the visual interpretation (areas under ROC curves > 0.996 for all). <b>Conclusions:</b> Three automated platforms demonstrated an acceptable reliability for Centiloid quantification, although software-specific biases were observed. These differences did not impair their feasibility in aiding the image interpretation, as supported by the concordance with visual readings. Nevertheless, users should recognize the platform-specific characteristics when applying diagnostic thresholds or interpreting longitudinal changes.</p>","PeriodicalId":51330,"journal":{"name":"Tomography","volume":"11 8","pages":""},"PeriodicalIF":2.2000,"publicationDate":"2025-07-30","publicationTypes":"Journal Article","fieldsOfStudy":null,"isOpenAccess":false,"openAccessPdf":"https://www.ncbi.nlm.nih.gov/pmc/articles/PMC12389775/pdf/","citationCount":"0","resultStr":null,"platform":"Semanticscholar","paperid":null,"PeriodicalName":"Tomography","FirstCategoryId":"3","ListUrlMain":"https://doi.org/10.3390/tomography11080086","RegionNum":4,"RegionCategory":"医学","ArticlePicture":[],"TitleCN":null,"AbstractTextCN":null,"PMCID":null,"EPubDate":"","PubModel":"","JCR":"Q2","JCRName":"RADIOLOGY, NUCLEAR MEDICINE & MEDICAL IMAGING","Score":null,"Total":0}
引用次数: 0

Abstract

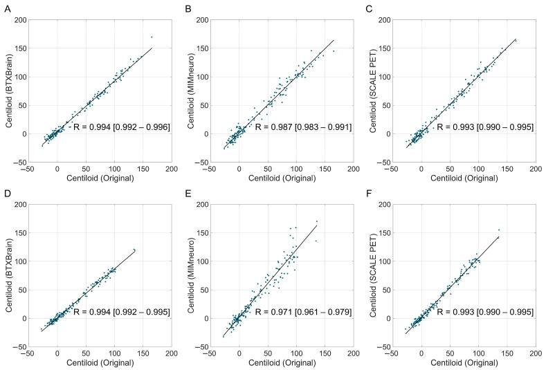
Background: Despite the growing demand for amyloid PET quantification, practical challenges remain. As automated software platforms are increasingly adopted to address these limitations, we evaluated the reliability of commercial tools for Centiloid quantification against the original Centiloid Project method. Methods: This retrospective study included 332 amyloid PET scans (165 [18F]Florbetaben; 167 [18F]Flutemetamol) performed for suspected mild cognitive impairments or dementia, paired with T1-weighted MRI within one year. Centiloid values were calculated using three automated software platforms, BTXBrain, MIMneuro, and SCALE PET, and compared with the original Centiloid method. The agreement was assessed using Pearson's correlation coefficient, the intraclass correlation coefficient (ICC), a Passing-Bablok regression, and Bland-Altman plots. The concordance with the visual interpretation was evaluated using receiver operating characteristic (ROC) curves. Results: BTXBrain (R = 0.993; ICC = 0.986) and SCALE PET (R = 0.992; ICC = 0.991) demonstrated an excellent correlation with the reference, while MIMneuro showed a slightly lower agreement (R = 0.974; ICC = 0.966). BTXBrain exhibited a proportional underestimation (slope = 0.872 [0.860-0.885]), MIMneuro showed a significant overestimation (slope = 1.053 [1.026-1.081]), and SCALE PET demonstrated a minimal bias (slope = 1.014 [0.999-1.029]). The bias pattern was particularly noted for FMM. All platforms maintained their trends for correlations and biases when focusing on subthreshold-to-low-positive ranges (0-50 Centiloid units). However, all platforms showed an excellent agreement with the visual interpretation (areas under ROC curves > 0.996 for all). Conclusions: Three automated platforms demonstrated an acceptable reliability for Centiloid quantification, although software-specific biases were observed. These differences did not impair their feasibility in aiding the image interpretation, as supported by the concordance with visual readings. Nevertheless, users should recognize the platform-specific characteristics when applying diagnostic thresholds or interpreting longitudinal changes.

Abstract Image

Abstract Image

Abstract Image

淀粉样蛋白PET自动定量的可靠性:商业工具对Centiloid项目方法的实际验证。
背景:尽管对淀粉样蛋白PET定量的需求不断增长,但实际挑战仍然存在。随着自动化软件平台越来越多地被采用来解决这些限制,我们根据原始的Centiloid Project方法评估了用于Centiloid量化的商业工具的可靠性。方法:本回顾性研究包括332例淀粉样蛋白PET扫描(165例[18F]Florbetaben; 167例[18F]氟替他莫),用于疑似轻度认知障碍或痴呆,并在一年内进行t1加权MRI扫描。使用BTXBrain、MIMneuro和SCALE PET三个自动化软件平台计算Centiloid值,并与原始的Centiloid方法进行比较。使用Pearson相关系数、类内相关系数(ICC)、Passing-Bablok回归和Bland-Altman图来评估一致性。采用受试者工作特征(ROC)曲线评价与视觉解释的一致性。结果:BTXBrain (R = 0.993; ICC = 0.986)和SCALE PET (R = 0.992; ICC = 0.991)与参考文献的相关性较好,而MIMneuro与参考文献的相关性稍低(R = 0.974; ICC = 0.966)。BTXBrain表现出成比例的低估(斜率= 0.872 [0.860-0.885]),MIMneuro表现出显著的高估(斜率= 1.053 [1.026-1.081]),SCALE PET表现出最小的偏差(斜率= 1.014[0.999-1.029])。偏置模式在FMM中特别突出。当关注亚阈值到低阳性范围(0-50厘体单位)时,所有平台都保持了相关性和偏差的趋势。然而,所有平台都表现出与视觉解释的良好一致性(ROC曲线下面积> 0.996)。结论:三个自动化平台显示了可接受的Centiloid定量可靠性,尽管观察到软件特定的偏差。这些差异并不影响其在帮助图像解释的可行性,因为与视觉读数的一致性支持。然而,在应用诊断阈值或解释纵向变化时,用户应该认识到特定于平台的特征。
本文章由计算机程序翻译,如有差异,请以英文原文为准。
求助全文
约1分钟内获得全文 求助全文
来源期刊
Tomography
Tomography Medicine-Radiology, Nuclear Medicine and Imaging
CiteScore
2.70
自引率
10.50%
发文量
222
期刊介绍: TomographyTM publishes basic (technical and pre-clinical) and clinical scientific articles which involve the advancement of imaging technologies. Tomography encompasses studies that use single or multiple imaging modalities including for example CT, US, PET, SPECT, MR and hyperpolarization technologies, as well as optical modalities (i.e. bioluminescence, photoacoustic, endomicroscopy, fiber optic imaging and optical computed tomography) in basic sciences, engineering, preclinical and clinical medicine. Tomography also welcomes studies involving exploration and refinement of contrast mechanisms and image-derived metrics within and across modalities toward the development of novel imaging probes for image-based feedback and intervention. The use of imaging in biology and medicine provides unparalleled opportunities to noninvasively interrogate tissues to obtain real-time dynamic and quantitative information required for diagnosis and response to interventions and to follow evolving pathological conditions. As multi-modal studies and the complexities of imaging technologies themselves are ever increasing to provide advanced information to scientists and clinicians. Tomography provides a unique publication venue allowing investigators the opportunity to more precisely communicate integrated findings related to the diverse and heterogeneous features associated with underlying anatomical, physiological, functional, metabolic and molecular genetic activities of normal and diseased tissue. Thus Tomography publishes peer-reviewed articles which involve the broad use of imaging of any tissue and disease type including both preclinical and clinical investigations. In addition, hardware/software along with chemical and molecular probe advances are welcome as they are deemed to significantly contribute towards the long-term goal of improving the overall impact of imaging on scientific and clinical discovery.
×
引用
GB/T 7714-2015
复制
MLA
复制
APA
复制
导出至
BibTeX EndNote RefMan NoteFirst NoteExpress
×
提示
您的信息不完整,为了账户安全,请先补充。
现在去补充
×
提示
您因"违规操作"
具体请查看互助需知
我知道了
×
提示
确定
请完成安全验证×
copy
已复制链接
快去分享给好友吧!
我知道了
右上角分享
点击右上角分享
0
联系我们:info@booksci.cn Book学术提供免费学术资源搜索服务,方便国内外学者检索中英文文献。致力于提供最便捷和优质的服务体验。 Copyright © 2023 布克学术 All rights reserved.
京ICP备2023020795号-1
ghs 京公网安备 11010802042870号
Book学术文献互助
Book学术文献互助群
群 号:604180095
Book学术官方微信