Metabolic score for insulin resistance is associated with adverse cardiovascular events in patients with type 2 diabetes.

IF 4.6 3区 医学 Q1 ENDOCRINOLOGY & METABOLISM
Ying Xin, Na-Ling Peng, Cai-Yan Xin, Jiang-Rong Liao, Xin-Qun Hu, Yi-Heng Dong, Xiang-Yu Zhang
{"title":"Metabolic score for insulin resistance is associated with adverse cardiovascular events in patients with type 2 diabetes.","authors":"Ying Xin, Na-Ling Peng, Cai-Yan Xin, Jiang-Rong Liao, Xin-Qun Hu, Yi-Heng Dong, Xiang-Yu Zhang","doi":"10.4239/wjd.v16.i8.108671","DOIUrl":null,"url":null,"abstract":"<p><strong>Background: </strong>Cardiovascular disease represents a major complication in patients with type 2 diabetes mellitus (T2DM), with insulin resistance (IR) recognized as a key underlying pathophysiological mechanism. The metabolic score for IR (METS-IR), a simple, non-invasive, and insulin-independent surrogate marker of IR, has been validated for risk stratification and prognostic assessment in conditions such as hypertension, ischemic cardiomyopathy, and T2DM. Monitoring fluctuations in METS-IR levels among individuals with T2DM may facilitate early identification of elevated cardiovascular risk and inform timely therapeutic adjustments.</p><p><strong>Aim: </strong>To investigate the association between METS-IR and cardiovascular risk in patients with T2DM and to evaluate its potential utility as a predictive biomarker.</p><p><strong>Methods: </strong>This study represents a secondary analysis of a multicenter randomized controlled trial, ultimately including 10191 patients with T2DM aged 40 years to 79 years, with a follow-up duration of approximately 10 years. Baseline METS-IR was calculated using triglycerides, body mass index, high-density lipoprotein cholesterol and fasting plasma glucose. The predictive value of METS-IR for major adverse cardiovascular events (MACEs), all-cause mortality, congestive heart failure, and major coronary heart disease events, was assessed using Cox proportional hazards models, restricted cubic spline analysis, and stratified subgroup analyses. Multivariable adjustments were performed to account for potential confounding factors.</p><p><strong>Results: </strong>The incidence of MACEs increased steadily across higher METS-IR quartiles. After adjusting for multiple confounding factors, hazard ratios comparing the highest to the lowest METS-IR quartile were 1.25 [95% confidence interval (CI): 1.08-1.45] for MACEs, 1.55 (95%CI: 1.23-1.96) for cardiovascular death, 1.39 (95%CI: 1.21-1.59) for all-cause mortality, 2.22 (95%CI: 1.74-2.82) for congestive heart failure, and 1.35 (95%CI: 1.17-1.56) for major coronary heart disease. Restricted cubic spline analysis supported a positive, dose-dependent relationship between rising METS-IR levels and cardiovascular risk. Moreover, adding METS-IR to conventional risk prediction models enhanced their performance, as evidenced by improvements in the C-statistic, net reclassification improvement, and integrated discrimination improvement. Subgroup analyses indicated possible interactions between METS-IR, hemoglobin A1c levels, and aspirin therapy.</p><p><strong>Conclusion: </strong>METS-IR shows a strong correlation with cardiovascular risk in individuals with T2DM. Tracking METS-IR levels could enhance risk assessment and the prediction of cardiovascular events.</p>","PeriodicalId":48607,"journal":{"name":"World Journal of Diabetes","volume":"16 8","pages":"108671"},"PeriodicalIF":4.6000,"publicationDate":"2025-08-15","publicationTypes":"Journal Article","fieldsOfStudy":null,"isOpenAccess":false,"openAccessPdf":"https://www.ncbi.nlm.nih.gov/pmc/articles/PMC12362426/pdf/","citationCount":"0","resultStr":null,"platform":"Semanticscholar","paperid":null,"PeriodicalName":"World Journal of Diabetes","FirstCategoryId":"3","ListUrlMain":"https://doi.org/10.4239/wjd.v16.i8.108671","RegionNum":3,"RegionCategory":"医学","ArticlePicture":[],"TitleCN":null,"AbstractTextCN":null,"PMCID":null,"EPubDate":"","PubModel":"","JCR":"Q1","JCRName":"ENDOCRINOLOGY & METABOLISM","Score":null,"Total":0}
引用次数: 0

Abstract

Background: Cardiovascular disease represents a major complication in patients with type 2 diabetes mellitus (T2DM), with insulin resistance (IR) recognized as a key underlying pathophysiological mechanism. The metabolic score for IR (METS-IR), a simple, non-invasive, and insulin-independent surrogate marker of IR, has been validated for risk stratification and prognostic assessment in conditions such as hypertension, ischemic cardiomyopathy, and T2DM. Monitoring fluctuations in METS-IR levels among individuals with T2DM may facilitate early identification of elevated cardiovascular risk and inform timely therapeutic adjustments.

Aim: To investigate the association between METS-IR and cardiovascular risk in patients with T2DM and to evaluate its potential utility as a predictive biomarker.

Methods: This study represents a secondary analysis of a multicenter randomized controlled trial, ultimately including 10191 patients with T2DM aged 40 years to 79 years, with a follow-up duration of approximately 10 years. Baseline METS-IR was calculated using triglycerides, body mass index, high-density lipoprotein cholesterol and fasting plasma glucose. The predictive value of METS-IR for major adverse cardiovascular events (MACEs), all-cause mortality, congestive heart failure, and major coronary heart disease events, was assessed using Cox proportional hazards models, restricted cubic spline analysis, and stratified subgroup analyses. Multivariable adjustments were performed to account for potential confounding factors.

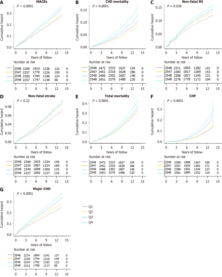
Results: The incidence of MACEs increased steadily across higher METS-IR quartiles. After adjusting for multiple confounding factors, hazard ratios comparing the highest to the lowest METS-IR quartile were 1.25 [95% confidence interval (CI): 1.08-1.45] for MACEs, 1.55 (95%CI: 1.23-1.96) for cardiovascular death, 1.39 (95%CI: 1.21-1.59) for all-cause mortality, 2.22 (95%CI: 1.74-2.82) for congestive heart failure, and 1.35 (95%CI: 1.17-1.56) for major coronary heart disease. Restricted cubic spline analysis supported a positive, dose-dependent relationship between rising METS-IR levels and cardiovascular risk. Moreover, adding METS-IR to conventional risk prediction models enhanced their performance, as evidenced by improvements in the C-statistic, net reclassification improvement, and integrated discrimination improvement. Subgroup analyses indicated possible interactions between METS-IR, hemoglobin A1c levels, and aspirin therapy.

Conclusion: METS-IR shows a strong correlation with cardiovascular risk in individuals with T2DM. Tracking METS-IR levels could enhance risk assessment and the prediction of cardiovascular events.

Abstract Image

Abstract Image

Abstract Image

2型糖尿病患者胰岛素抵抗代谢评分与不良心血管事件相关
背景:心血管疾病是2型糖尿病(T2DM)患者的主要并发症,胰岛素抵抗(IR)被认为是一个关键的潜在病理生理机制。IR代谢评分(METS-IR)是一种简单、无创、不依赖胰岛素的IR替代标志物,已被证实可用于高血压、缺血性心肌病和T2DM等疾病的风险分层和预后评估。监测T2DM患者met - ir水平的波动可能有助于早期识别心血管风险升高,并及时调整治疗。目的:研究met - ir与T2DM患者心血管风险之间的关系,并评估其作为预测性生物标志物的潜在效用。方法:本研究是对一项多中心随机对照试验的二次分析,最终纳入10191例年龄在40岁至79岁之间的T2DM患者,随访时间约为10年。使用甘油三酯、体重指数、高密度脂蛋白胆固醇和空腹血糖计算基线METS-IR。使用Cox比例风险模型、限制三次样条分析和分层亚组分析评估met - ir对主要不良心血管事件(mace)、全因死亡率、充血性心力衰竭和主要冠心病事件的预测价值。进行多变量调整以考虑潜在的混杂因素。结果:在met - ir较高的四分位数中,mace的发生率稳步上升。在调整多个混杂因素后,mace最高与最低met - ir四分位数的风险比为1.25[95%可信区间(CI): 1.08-1.45],心血管死亡为1.55 (95%CI: 1.23-1.96),全因死亡率为1.39 (95%CI: 1.21-1.59),充血性心力衰竭为2.22 (95%CI: 1.74-2.82),主要冠心病为1.35 (95%CI: 1.17-1.56)。限制性三次样条分析支持met - ir水平升高与心血管风险呈正剂量依赖关系。此外,在传统风险预测模型中加入met - ir可以提高其性能,这可以通过c统计量、净重分类改善和综合歧视改善来证明。亚组分析表明met - ir、糖化血红蛋白水平和阿司匹林治疗之间可能存在相互作用。结论:METS-IR与T2DM患者心血管风险密切相关。跟踪met - ir水平可以加强心血管事件的风险评估和预测。
本文章由计算机程序翻译,如有差异,请以英文原文为准。
求助全文
约1分钟内获得全文 求助全文
来源期刊
World Journal of Diabetes
World Journal of Diabetes ENDOCRINOLOGY & METABOLISM-
自引率
2.40%
发文量
909
期刊介绍: The WJD is a high-quality, peer reviewed, open-access journal. The primary task of WJD is to rapidly publish high-quality original articles, reviews, editorials, and case reports in the field of diabetes. In order to promote productive academic communication, the peer review process for the WJD is transparent; to this end, all published manuscripts are accompanied by the anonymized reviewers’ comments as well as the authors’ responses. The primary aims of the WJD are to improve diagnostic, therapeutic and preventive modalities and the skills of clinicians and to guide clinical practice in diabetes. Scope: Diabetes Complications, Experimental Diabetes Mellitus, Type 1 Diabetes Mellitus, Type 2 Diabetes Mellitus, Diabetes, Gestational, Diabetic Angiopathies, Diabetic Cardiomyopathies, Diabetic Coma, Diabetic Ketoacidosis, Diabetic Nephropathies, Diabetic Neuropathies, Donohue Syndrome, Fetal Macrosomia, and Prediabetic State.
×
引用
GB/T 7714-2015
复制
MLA
复制
APA
复制
导出至
BibTeX EndNote RefMan NoteFirst NoteExpress
×
提示
您的信息不完整,为了账户安全,请先补充。
现在去补充
×
提示
您因"违规操作"
具体请查看互助需知
我知道了
×
提示
确定
请完成安全验证×
copy
已复制链接
快去分享给好友吧!
我知道了
右上角分享
点击右上角分享
0
联系我们:info@booksci.cn Book学术提供免费学术资源搜索服务,方便国内外学者检索中英文文献。致力于提供最便捷和优质的服务体验。 Copyright © 2023 布克学术 All rights reserved.
京ICP备2023020795号-1
ghs 京公网安备 11010802042870号
Book学术文献互助
Book学术文献互助群
群 号:604180095
Book学术官方微信