Online Survey Retention and Re-engagement: Learning from the COVID-19 Social Study.

IF 1.4 3区 社会学 Q2 ANTHROPOLOGY
Field Methods Pub Date : 2025-01-08 eCollection Date: 2025-08-01 DOI:10.1177/1525822X241289870
Feifei Bu, Alexandru Cernat, Andrew Steptoe, Daisy Fancourt
{"title":"Online Survey Retention and Re-engagement: Learning from the COVID-19 Social Study.","authors":"Feifei Bu, Alexandru Cernat, Andrew Steptoe, Daisy Fancourt","doi":"10.1177/1525822X241289870","DOIUrl":null,"url":null,"abstract":"<p><p>This article examines factors associated with survey attrition/retention in an online panel survey with weekly/monthly follow-ups during the COVID-19 pandemic. It also explores the effectiveness of making contact with dropout participants and factors associated with sample re-engagement, as well as motivations and barriers to maintaining survey participation. Our data consisted of over 1.2 million records from over 70,000 participants collected between March 2020 and April 2022. On average, 92.7% participants during weekly follow-ups and 95.9% during monthly follow-ups participated again in a later wave. The high retention rates, to some extent, could be attributed to a high level of altruistic motivations during a global health crisis and to the use of retention strategies to create a project community. A similar set of factors were related to both survey attrition/retention and re-engagement. However, some differences were also found, indicating the possibility of distinct decision processes.</p>","PeriodicalId":48060,"journal":{"name":"Field Methods","volume":"37 3","pages":"244-259"},"PeriodicalIF":1.4000,"publicationDate":"2025-01-08","publicationTypes":"Journal Article","fieldsOfStudy":null,"isOpenAccess":false,"openAccessPdf":"https://www.ncbi.nlm.nih.gov/pmc/articles/PMC12398353/pdf/","citationCount":"0","resultStr":null,"platform":"Semanticscholar","paperid":null,"PeriodicalName":"Field Methods","FirstCategoryId":"90","ListUrlMain":"https://doi.org/10.1177/1525822X241289870","RegionNum":3,"RegionCategory":"社会学","ArticlePicture":[],"TitleCN":null,"AbstractTextCN":null,"PMCID":null,"EPubDate":"2025/8/1 0:00:00","PubModel":"eCollection","JCR":"Q2","JCRName":"ANTHROPOLOGY","Score":null,"Total":0}
引用次数: 0

Abstract

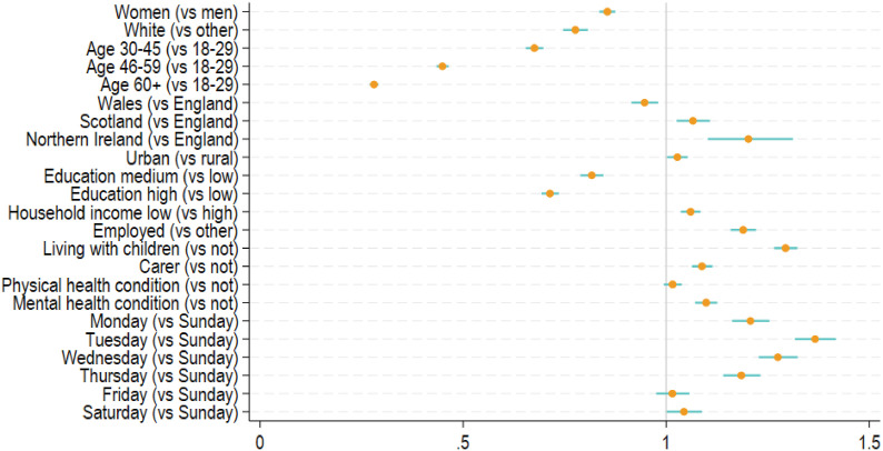
This article examines factors associated with survey attrition/retention in an online panel survey with weekly/monthly follow-ups during the COVID-19 pandemic. It also explores the effectiveness of making contact with dropout participants and factors associated with sample re-engagement, as well as motivations and barriers to maintaining survey participation. Our data consisted of over 1.2 million records from over 70,000 participants collected between March 2020 and April 2022. On average, 92.7% participants during weekly follow-ups and 95.9% during monthly follow-ups participated again in a later wave. The high retention rates, to some extent, could be attributed to a high level of altruistic motivations during a global health crisis and to the use of retention strategies to create a project community. A similar set of factors were related to both survey attrition/retention and re-engagement. However, some differences were also found, indicating the possibility of distinct decision processes.

Abstract Image

Abstract Image

Abstract Image

在线调查保留和再参与:从COVID-19社会研究中学习。
本文研究了在COVID-19大流行期间每周/每月随访的在线小组调查中与调查人员流失/保留相关的因素。它还探讨了与辍学参与者联系的有效性,与样本重新参与相关的因素,以及保持调查参与的动机和障碍。我们的数据包括在2020年3月至2022年4月期间收集的来自7万多名参与者的120多万条记录。平均而言,每周随访的92.7%的参与者和每月随访的95.9%的参与者在之后的一波中再次参与。在某种程度上,高留任率可归因于全球健康危机期间高度的利他动机,以及利用留任战略创建项目社区。类似的一系列因素也与调查人员流失/留存率和再粘性相关。然而,也发现了一些差异,表明可能存在不同的决策过程。
本文章由计算机程序翻译,如有差异,请以英文原文为准。
求助全文
约1分钟内获得全文 求助全文
来源期刊
Field Methods
Field Methods Multiple-
CiteScore
2.70
自引率
5.90%
发文量
41
期刊介绍: Field Methods (formerly Cultural Anthropology Methods) is devoted to articles about the methods used by field wzorkers in the social and behavioral sciences and humanities for the collection, management, and analysis data about human thought and/or human behavior in the natural world. Articles should focus on innovations and issues in the methods used, rather than on the reporting of research or theoretical/epistemological questions about research. High-quality articles using qualitative and quantitative methods-- from scientific or interpretative traditions-- dealing with data collection and analysis in applied and scholarly research from writers in the social sciences, humanities, and related professions are all welcome in the pages of the journal.
×
引用
GB/T 7714-2015
复制
MLA
复制
APA
复制
导出至
BibTeX EndNote RefMan NoteFirst NoteExpress
×
提示
您的信息不完整,为了账户安全,请先补充。
现在去补充
×
提示
您因"违规操作"
具体请查看互助需知
我知道了
×
提示
确定
请完成安全验证×
copy
已复制链接
快去分享给好友吧!
我知道了
右上角分享
点击右上角分享
0
联系我们:info@booksci.cn Book学术提供免费学术资源搜索服务,方便国内外学者检索中英文文献。致力于提供最便捷和优质的服务体验。 Copyright © 2023 布克学术 All rights reserved.
京ICP备2023020795号-1
ghs 京公网安备 11010802042870号
Book学术文献互助
Book学术文献互助群
群 号:604180095
Book学术官方微信