The Predictive Value of the Combination of Serum RBP4, ALP, IL-1β for Postoperative Recurrence of Intrahepatic Bile Duct Stones.

IF 2.8 3区 医学 Q1 Pharmacology, Toxicology and Pharmaceutics
Therapeutics and Clinical Risk Management Pub Date : 2025-08-15 eCollection Date: 2025-01-01 DOI:10.2147/TCRM.S529277
Wenjie Tang, Xin Kang, Changhong Zhou, Chao Chen
{"title":"The Predictive Value of the Combination of Serum RBP4, ALP, IL-1β for Postoperative Recurrence of Intrahepatic Bile Duct Stones.","authors":"Wenjie Tang, Xin Kang, Changhong Zhou, Chao Chen","doi":"10.2147/TCRM.S529277","DOIUrl":null,"url":null,"abstract":"<p><strong>Objective: </strong>To investigate the predictive value of serum retinol-binding protein (RBP4), alkaline phosphatase (ALP), and interleukin (IL)-1β for postoperative recurrence of intrahepatic bile duct stones (IBDS).</p><p><strong>Methods: </strong>This retrospective study included 320 patients with intrahepatic bile duct stones (IBDS) admitted to our hospital from May 2020 to May 2022, all of whom underwent laparoscopic choledocholithotomy combined with choledochoscopy. Patients were divided into a recurrence group and a non-recurrence group based on their postoperative status. Serum levels of RBP4 and IL-1β were measured by ELISA; liver function indicators including ALP were analyzed using a biochemical analyzer; levels of interleukin-6 (IL-6) and tumor necrosis factor-α (TNF-α) were also detected by ELISA; toll-like receptor 4 (TLR4) and thyroid-stimulating hormone (TSH) were measured by radioimmunoassay.Pearson correlation analysis was performed to assess the relationships between serum RBP4, ALP, IL-1β and laboratory indicators. Multivariate logistic regression analysis was used to identify factors influencing postoperative recurrence of IBDS. Receiver operating characteristic (ROC) curves were plotted to evaluate the predictive value of serum RBP4, ALP, and IL-1β for IBDS recurrence after surgery.</p><p><strong>Results: </strong>The levels of serum RBP4, ALP, IL-1β, TNF-α, TLR4, and TSH in the recurrence group were significantly higher than those in the non-recurrence group (P < 0.05). Pearson correlation analysis showed that serum RBP4, ALP, and IL-1β were all positively correlated with TNF-α, TLR4, and TSH (P < 0.05). Multivariate logistic regression analysis identified RBP4, ALP, IL-1β, TNF-α, TLR4, and TSH as independent risk factors for postoperative recurrence of IBDS (P < 0.05).According to ROC curve analysis showed that the area under the curve (AUC) for serum RBP4 in predicting postoperative recurrence of IBDS was 0.844, for serum ALP was 0.822, and for serum IL-1β was 0.732. The combined detection of RBP4, ALP, and IL-1β yielded an AUC of 0.892, which was superior to the predictive performance of each marker alone (Z = 2.654, Z = 2.668, Z = 2.650; all P < 0.05).</p><p><strong>Conclusion: </strong>Serum levels of RBP4, ALP, and IL-1β are significantly elevated in patients with IBDS, and their combined detection can enhance the predictive value for postoperative recurrence of IBDS.</p>","PeriodicalId":22977,"journal":{"name":"Therapeutics and Clinical Risk Management","volume":"21 ","pages":"1277-1285"},"PeriodicalIF":2.8000,"publicationDate":"2025-08-15","publicationTypes":"Journal Article","fieldsOfStudy":null,"isOpenAccess":false,"openAccessPdf":"https://www.ncbi.nlm.nih.gov/pmc/articles/PMC12363549/pdf/","citationCount":"0","resultStr":null,"platform":"Semanticscholar","paperid":null,"PeriodicalName":"Therapeutics and Clinical Risk Management","FirstCategoryId":"3","ListUrlMain":"https://doi.org/10.2147/TCRM.S529277","RegionNum":3,"RegionCategory":"医学","ArticlePicture":[],"TitleCN":null,"AbstractTextCN":null,"PMCID":null,"EPubDate":"2025/1/1 0:00:00","PubModel":"eCollection","JCR":"Q1","JCRName":"Pharmacology, Toxicology and Pharmaceutics","Score":null,"Total":0}
引用次数: 0

Abstract

Objective: To investigate the predictive value of serum retinol-binding protein (RBP4), alkaline phosphatase (ALP), and interleukin (IL)-1β for postoperative recurrence of intrahepatic bile duct stones (IBDS).

Methods: This retrospective study included 320 patients with intrahepatic bile duct stones (IBDS) admitted to our hospital from May 2020 to May 2022, all of whom underwent laparoscopic choledocholithotomy combined with choledochoscopy. Patients were divided into a recurrence group and a non-recurrence group based on their postoperative status. Serum levels of RBP4 and IL-1β were measured by ELISA; liver function indicators including ALP were analyzed using a biochemical analyzer; levels of interleukin-6 (IL-6) and tumor necrosis factor-α (TNF-α) were also detected by ELISA; toll-like receptor 4 (TLR4) and thyroid-stimulating hormone (TSH) were measured by radioimmunoassay.Pearson correlation analysis was performed to assess the relationships between serum RBP4, ALP, IL-1β and laboratory indicators. Multivariate logistic regression analysis was used to identify factors influencing postoperative recurrence of IBDS. Receiver operating characteristic (ROC) curves were plotted to evaluate the predictive value of serum RBP4, ALP, and IL-1β for IBDS recurrence after surgery.

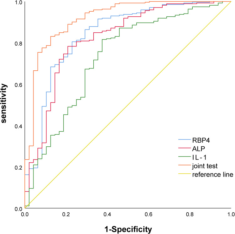
Results: The levels of serum RBP4, ALP, IL-1β, TNF-α, TLR4, and TSH in the recurrence group were significantly higher than those in the non-recurrence group (P < 0.05). Pearson correlation analysis showed that serum RBP4, ALP, and IL-1β were all positively correlated with TNF-α, TLR4, and TSH (P < 0.05). Multivariate logistic regression analysis identified RBP4, ALP, IL-1β, TNF-α, TLR4, and TSH as independent risk factors for postoperative recurrence of IBDS (P < 0.05).According to ROC curve analysis showed that the area under the curve (AUC) for serum RBP4 in predicting postoperative recurrence of IBDS was 0.844, for serum ALP was 0.822, and for serum IL-1β was 0.732. The combined detection of RBP4, ALP, and IL-1β yielded an AUC of 0.892, which was superior to the predictive performance of each marker alone (Z = 2.654, Z = 2.668, Z = 2.650; all P < 0.05).

Conclusion: Serum levels of RBP4, ALP, and IL-1β are significantly elevated in patients with IBDS, and their combined detection can enhance the predictive value for postoperative recurrence of IBDS.

Abstract Image

Abstract Image

Abstract Image

血清RBP4、ALP、IL-1β联合检测对肝内胆管结石术后复发的预测价值
目的:探讨血清视黄醇结合蛋白(RBP4)、碱性磷酸酶(ALP)、白细胞介素(IL)-1β对肝内胆管结石(IBDS)术后复发的预测价值。方法:回顾性研究我院2020年5月至2022年5月收治的320例肝内胆管结石(IBDS)患者,均行腹腔镜胆总管取石术联合胆总管镜检查。根据患者术后状态分为复发组和非复发组。ELISA法检测血清RBP4、IL-1β水平;采用生化分析仪分析肝功能指标,包括ALP;ELISA法检测各组白细胞介素-6 (IL-6)、肿瘤坏死因子-α (TNF-α)水平;放射免疫法测定toll样受体4 (TLR4)和促甲状腺激素(TSH)水平。采用Pearson相关分析评价血清RBP4、ALP、IL-1β与实验室指标的关系。采用多因素logistic回归分析确定影响IBDS术后复发的因素。绘制受试者工作特征(ROC)曲线,评估血清RBP4、ALP和IL-1β对IBDS术后复发的预测价值。结果:复发组患者血清RBP4、ALP、IL-1β、TNF-α、TLR4、TSH水平显著高于未复发组(P < 0.05)。Pearson相关分析显示,血清RBP4、ALP、IL-1β与TNF-α、TLR4、TSH均呈正相关(P < 0.05)。多因素logistic回归分析发现RBP4、ALP、IL-1β、TNF-α、TLR4、TSH是IBDS术后复发的独立危险因素(P < 0.05)。ROC曲线分析显示,血清RBP4预测IBDS术后复发的曲线下面积(AUC)为0.844,血清ALP为0.822,血清IL-1β为0.732。RBP4、ALP和IL-1β联合检测的AUC为0.892,优于单独检测的预测效果(Z = 2.654, Z = 2.668, Z = 2.650,均P < 0.05)。结论:IBDS患者血清RBP4、ALP、IL-1β水平明显升高,联合检测可提高对IBDS术后复发的预测价值。
本文章由计算机程序翻译,如有差异,请以英文原文为准。
求助全文
约1分钟内获得全文 求助全文
来源期刊
Therapeutics and Clinical Risk Management
Therapeutics and Clinical Risk Management HEALTH CARE SCIENCES & SERVICES-
CiteScore
5.30
自引率
3.60%
发文量
139
审稿时长
16 weeks
期刊介绍: Therapeutics and Clinical Risk Management is an international, peer-reviewed journal of clinical therapeutics and risk management, focusing on concise rapid reporting of clinical studies in all therapeutic areas, outcomes, safety, and programs for the effective, safe, and sustained use of medicines, therapeutic and surgical interventions in all clinical areas. The journal welcomes submissions covering original research, clinical and epidemiological studies, reviews, guidelines, expert opinion and commentary. The journal will consider case reports but only if they make a valuable and original contribution to the literature. As of 18th March 2019, Therapeutics and Clinical Risk Management will no longer consider meta-analyses for publication. The journal does not accept study protocols, animal-based or cell line-based studies.
×
引用
GB/T 7714-2015
复制
MLA
复制
APA
复制
导出至
BibTeX EndNote RefMan NoteFirst NoteExpress
×
提示
您的信息不完整,为了账户安全,请先补充。
现在去补充
×
提示
您因"违规操作"
具体请查看互助需知
我知道了
×
提示
确定
请完成安全验证×
copy
已复制链接
快去分享给好友吧!
我知道了
右上角分享
点击右上角分享
0
联系我们:info@booksci.cn Book学术提供免费学术资源搜索服务,方便国内外学者检索中英文文献。致力于提供最便捷和优质的服务体验。 Copyright © 2023 布克学术 All rights reserved.
京ICP备2023020795号-1
ghs 京公网安备 11010802042870号
Book学术文献互助
Book学术文献互助群
群 号:604180095
Book学术官方微信