Preclinical detection of Alzheimer's disease pathology using conceptual discrimination abilities.

IF 7.8 Q2 BUSINESS
Lara Huyghe, Yasmine Salman, Lise Colmant, Thomas Gérard, Vincent Malotaux, Gabriel Besson, Emma Delhaye, Christine Bastin, Quentin Dessain, Laurence Dricot, Renaud Lhommel, Adrian Ivanoiu, Lisa Quenon, Bernard Hanseeuw
{"title":"Preclinical detection of Alzheimer's disease pathology using conceptual discrimination abilities.","authors":"Lara Huyghe, Yasmine Salman, Lise Colmant, Thomas Gérard, Vincent Malotaux, Gabriel Besson, Emma Delhaye, Christine Bastin, Quentin Dessain, Laurence Dricot, Renaud Lhommel, Adrian Ivanoiu, Lisa Quenon, Bernard Hanseeuw","doi":"10.1016/j.tjpad.2025.100332","DOIUrl":null,"url":null,"abstract":"<p><strong>Background: </strong>Performance on the Conceptual Matching Task (CMT), a measure of discrimination between conceptually confusable items, has been suggested as a cognitive marker of rhinal cortex atrophy, one of the first brain regions affected by Alzheimer's disease (AD) pathology.</p><p><strong>Objectives: </strong>We aimed to determine whether CMT can detect preclinical AD, and whether CMT performance is related to regional deposition of tau protein or other AD-associated lesions including amyloid (Aβ) accumulation and white matter hyperintensities (WMH).</p><p><strong>Design, setting and participants: </strong>This cross-sectional study include 101 participants from the UCL2016-121 cohorts in Brussels, Belgium, classified as 56 Aβ-negative cognitively unimpaired (Aβ-CU), 25 Aβ-positive CU (Aβ+CU, preclinical AD), and 20 Aβ-positive mildly cognitively impaired (Aβ+MCI, prodromal AD) individuals.</p><p><strong>Measurements: </strong>Participants underwent CMT and a standard neuropsychological assessment that included the Preclinical Alzheimer Cognitive Composite (PACC5), an Aβ status examination, a 3D-T1 MRI and a [<sup>18</sup>F]MK-6240 tau-PET scan.</p><p><strong>Results: </strong>CMT performance was lower among Aβ+MCI and Aβ+CU than Aβ-CU individuals. The effect of Aβ on CMT performance was stronger in the presence of WMH, but rhinal tau burden did not explain CMT performance beyond the effects of Aβ and WMH. CMT performance correlated with executive, memory, and language performance. Finally, CMT was more sensitive than PACC5 to detect CU individuals with Aβ or tau pathology.</p><p><strong>Conclusion: </strong>Given that impaired performance is observed earlier in the CMT than in standard neuropsychological tests, this test shows promise as an early diagnostic tool for AD and may offer significant utility in the context of clinical trials.</p>","PeriodicalId":22711,"journal":{"name":"The Journal of Prevention of Alzheimer's Disease","volume":" ","pages":"100332"},"PeriodicalIF":7.8000,"publicationDate":"2025-11-01","publicationTypes":"Journal Article","fieldsOfStudy":null,"isOpenAccess":false,"openAccessPdf":"https://www.ncbi.nlm.nih.gov/pmc/articles/PMC12501345/pdf/","citationCount":"0","resultStr":null,"platform":"Semanticscholar","paperid":null,"PeriodicalName":"The Journal of Prevention of Alzheimer's Disease","FirstCategoryId":"1085","ListUrlMain":"https://doi.org/10.1016/j.tjpad.2025.100332","RegionNum":0,"RegionCategory":null,"ArticlePicture":[],"TitleCN":null,"AbstractTextCN":null,"PMCID":null,"EPubDate":"2025/9/1 0:00:00","PubModel":"Epub","JCR":"Q2","JCRName":"BUSINESS","Score":null,"Total":0}
引用次数: 0

Abstract

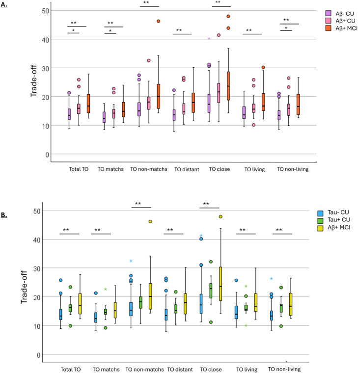
Background: Performance on the Conceptual Matching Task (CMT), a measure of discrimination between conceptually confusable items, has been suggested as a cognitive marker of rhinal cortex atrophy, one of the first brain regions affected by Alzheimer's disease (AD) pathology.

Objectives: We aimed to determine whether CMT can detect preclinical AD, and whether CMT performance is related to regional deposition of tau protein or other AD-associated lesions including amyloid (Aβ) accumulation and white matter hyperintensities (WMH).

Design, setting and participants: This cross-sectional study include 101 participants from the UCL2016-121 cohorts in Brussels, Belgium, classified as 56 Aβ-negative cognitively unimpaired (Aβ-CU), 25 Aβ-positive CU (Aβ+CU, preclinical AD), and 20 Aβ-positive mildly cognitively impaired (Aβ+MCI, prodromal AD) individuals.

Measurements: Participants underwent CMT and a standard neuropsychological assessment that included the Preclinical Alzheimer Cognitive Composite (PACC5), an Aβ status examination, a 3D-T1 MRI and a [18F]MK-6240 tau-PET scan.

Results: CMT performance was lower among Aβ+MCI and Aβ+CU than Aβ-CU individuals. The effect of Aβ on CMT performance was stronger in the presence of WMH, but rhinal tau burden did not explain CMT performance beyond the effects of Aβ and WMH. CMT performance correlated with executive, memory, and language performance. Finally, CMT was more sensitive than PACC5 to detect CU individuals with Aβ or tau pathology.

Conclusion: Given that impaired performance is observed earlier in the CMT than in standard neuropsychological tests, this test shows promise as an early diagnostic tool for AD and may offer significant utility in the context of clinical trials.

Abstract Image

Abstract Image

Abstract Image

运用概念辨析能力进行阿尔茨海默病病理的临床前检测。
背景:在概念匹配任务(CMT)上的表现,概念匹配任务(CMT)是一种衡量概念混淆项目之间区分的措施,已被认为是鼻皮质萎缩的认知标志,鼻皮质萎缩是阿尔茨海默病(AD)病理影响的第一个大脑区域之一。目的:我们旨在确定CMT是否可以检测临床前AD,以及CMT表现是否与tau蛋白的区域沉积或其他AD相关病变(包括淀粉样蛋白(Aβ)积累和白质高强度(WMH))有关。设计、环境和参与者:本横断研究包括来自比利时布鲁塞尔UCL2016-121队列的101名参与者,分为56名Aβ阴性认知未受损(Aβ-CU), 25名Aβ阳性CU (Aβ+CU,临床前AD)和20名Aβ阳性轻度认知受损(Aβ+MCI,前体AD)个体。测量:参与者接受了CMT和标准的神经心理学评估,包括临床前阿尔茨海默认知复合(PACC5), a β状态检查,3D-T1 MRI和[18F]MK-6240 tau-PET扫描。结果:Aβ+MCI和Aβ+CU个体的CMT表现低于Aβ-CU个体。在WMH存在的情况下,Aβ对CMT性能的影响更强,但鼻tau负荷并不能解释Aβ和WMH影响之外的CMT性能。CMT表现与执行、记忆和语言表现相关。最后,CMT检测具有Aβ或tau病理的CU个体比PACC5更敏感。结论:考虑到在CMT中比在标准神经心理学测试中更早观察到功能受损,该测试有望作为AD的早期诊断工具,并可能在临床试验中提供重要的实用价值。
本文章由计算机程序翻译,如有差异,请以英文原文为准。
求助全文
约1分钟内获得全文 求助全文
来源期刊
The Journal of Prevention of Alzheimer's Disease
The Journal of Prevention of Alzheimer's Disease Medicine-Psychiatry and Mental Health
CiteScore
9.20
自引率
0.00%
发文量
0
期刊介绍: The JPAD Journal of Prevention of Alzheimer’Disease will publish reviews, original research articles and short reports to improve our knowledge in the field of Alzheimer prevention including: neurosciences, biomarkers, imaging, epidemiology, public health, physical cognitive exercise, nutrition, risk and protective factors, drug development, trials design, and heath economic outcomes.JPAD will publish also the meeting abstracts from Clinical Trial on Alzheimer Disease (CTAD) and will be distributed both in paper and online version worldwide.We hope that JPAD with your contribution will play a role in the development of Alzheimer prevention.
×
引用
GB/T 7714-2015
复制
MLA
复制
APA
复制
导出至
BibTeX EndNote RefMan NoteFirst NoteExpress
×
提示
您的信息不完整,为了账户安全,请先补充。
现在去补充
×
提示
您因"违规操作"
具体请查看互助需知
我知道了
×
提示
确定
请完成安全验证×
copy
已复制链接
快去分享给好友吧!
我知道了
右上角分享
点击右上角分享
0
联系我们:info@booksci.cn Book学术提供免费学术资源搜索服务,方便国内外学者检索中英文文献。致力于提供最便捷和优质的服务体验。 Copyright © 2023 布克学术 All rights reserved.
京ICP备2023020795号-1
ghs 京公网安备 11010802042870号
Book学术文献互助
Book学术文献互助群
群 号:604180095
Book学术官方微信