Prevalence and co-occurrence of dementia risk factors in Denmark: A nationwide study.

IF 7.8 Q2 BUSINESS
Janet Janbek, Thomas Munk Laursen, Kasper Jørgensen, Martin Mejlby Jensen, Marie Holm Eliasen, Anne Illemann Christensen, Sebastian Walsh, Andrew Sommerlad, Carol Brayne, Gunhild Waldemar
{"title":"Prevalence and co-occurrence of dementia risk factors in Denmark: A nationwide study.","authors":"Janet Janbek, Thomas Munk Laursen, Kasper Jørgensen, Martin Mejlby Jensen, Marie Holm Eliasen, Anne Illemann Christensen, Sebastian Walsh, Andrew Sommerlad, Carol Brayne, Gunhild Waldemar","doi":"10.1016/j.tjpad.2025.100365","DOIUrl":null,"url":null,"abstract":"<p><strong>Background: </strong>The clustering of dementia risk factors is common and has implications for policies targeting risk reduction.</p><p><strong>Objectives: </strong>To estimate the prevalence of 16 dementia risk factors and their co-occurrence.</p><p><strong>Design: </strong>Cross-sectional based on a closed cohort on 1 January 2022 with nationwide data on risk factors from 1969/1977.</p><p><strong>Setting: </strong>Denmark PARTICIPANTS: Whole population; closed cohort of individuals ≥65 years on 1 January 2022, and a subpopulation of responders in the 2010/2013 Danish National Health Survey.</p><p><strong>Intervention (exposures): </strong>Sixteen dementia risk factors: hypertension, cardiovascular disease, diabetes, hypercholesterolemia, obesity, smoking, alcohol, physical inactivity, depression, hearing loss, vision impairment, traumatic brain injury, sleep disorders, hospital-diagnosed infections, social isolation, and low education.</p><p><strong>Measurements: </strong>Period and point prevalence proportions of the dementia risk factors and of all possible combinations of factors (those occurring in ≥10 % of individuals). The prevalence estimates reflect a population-level view of persons who have experienced, were diagnosed, or were treated for the risk factors assessed.</p><p><strong>Results: </strong>In the whole population (N = 1,214,286) and the subpopulation (N = 88,565), 5 % had no risk factors, 12 % had only one, and 82 % had multiple. Hypertension was the most prevalent (57 %), and vision impairment the least (2 %). Men, individuals ≥85 years, and those with low education had the highest prevalence of risk factors (with exceptions).</p><p><strong>Conclusions: </strong>Clustering of risk factors is very common, and findings emphasize the need to focus on multidomain interventions for dementia risk reduction that account for the clustering of risk.</p>","PeriodicalId":22711,"journal":{"name":"The Journal of Prevention of Alzheimer's Disease","volume":" ","pages":"100365"},"PeriodicalIF":7.8000,"publicationDate":"2025-11-01","publicationTypes":"Journal Article","fieldsOfStudy":null,"isOpenAccess":false,"openAccessPdf":"https://www.ncbi.nlm.nih.gov/pmc/articles/PMC12501344/pdf/","citationCount":"0","resultStr":null,"platform":"Semanticscholar","paperid":null,"PeriodicalName":"The Journal of Prevention of Alzheimer's Disease","FirstCategoryId":"1085","ListUrlMain":"https://doi.org/10.1016/j.tjpad.2025.100365","RegionNum":0,"RegionCategory":null,"ArticlePicture":[],"TitleCN":null,"AbstractTextCN":null,"PMCID":null,"EPubDate":"2025/9/1 0:00:00","PubModel":"Epub","JCR":"Q2","JCRName":"BUSINESS","Score":null,"Total":0}
引用次数: 0

Abstract

Background: The clustering of dementia risk factors is common and has implications for policies targeting risk reduction.

Objectives: To estimate the prevalence of 16 dementia risk factors and their co-occurrence.

Design: Cross-sectional based on a closed cohort on 1 January 2022 with nationwide data on risk factors from 1969/1977.

Setting: Denmark PARTICIPANTS: Whole population; closed cohort of individuals ≥65 years on 1 January 2022, and a subpopulation of responders in the 2010/2013 Danish National Health Survey.

Intervention (exposures): Sixteen dementia risk factors: hypertension, cardiovascular disease, diabetes, hypercholesterolemia, obesity, smoking, alcohol, physical inactivity, depression, hearing loss, vision impairment, traumatic brain injury, sleep disorders, hospital-diagnosed infections, social isolation, and low education.

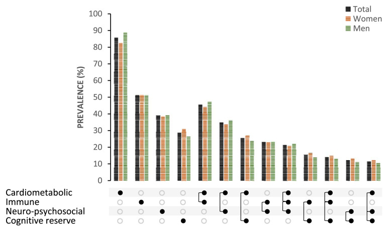
Measurements: Period and point prevalence proportions of the dementia risk factors and of all possible combinations of factors (those occurring in ≥10 % of individuals). The prevalence estimates reflect a population-level view of persons who have experienced, were diagnosed, or were treated for the risk factors assessed.

Results: In the whole population (N = 1,214,286) and the subpopulation (N = 88,565), 5 % had no risk factors, 12 % had only one, and 82 % had multiple. Hypertension was the most prevalent (57 %), and vision impairment the least (2 %). Men, individuals ≥85 years, and those with low education had the highest prevalence of risk factors (with exceptions).

Conclusions: Clustering of risk factors is very common, and findings emphasize the need to focus on multidomain interventions for dementia risk reduction that account for the clustering of risk.

Abstract Image

Abstract Image

Abstract Image

丹麦痴呆危险因素的患病率和共发生:一项全国性研究。
背景:痴呆症风险因素的聚类是常见的,并对旨在降低风险的政策有影响。目的:评估16种痴呆危险因素的患病率及其共发率。设计:横断面基于2022年1月1日的封闭队列,收集1969/1977年全国风险因素数据。环境:丹麦参与者:全体;2022年1月1日≥65岁个体的封闭队列,以及2010/2013年丹麦国家健康调查中应答者的亚群。干预(暴露):16个痴呆风险因素:高血压、心血管疾病、糖尿病、高胆固醇血症、肥胖、吸烟、酒精、缺乏运动、抑郁、听力丧失、视力损害、创伤性脑损伤、睡眠障碍、医院诊断的感染、社会孤立和低教育。测量:痴呆危险因素和所有可能的因素组合的时期和时点患病率比例(≥10%的个体发生)。患病率估计值反映了因所评估的危险因素而经历过、被诊断过或接受过治疗的人群水平的观点。结果:在整个人群(N = 1,214,286)和亚人群(N = 88,565)中,5%的人没有危险因素,12%的人只有一种危险因素,82%的人有多种危险因素。高血压最为普遍(57%),视力损害最少(2%)。男性、年龄≥85岁和受教育程度较低的人群的危险因素患病率最高(有例外)。结论:风险因素聚类是非常普遍的,研究结果强调需要关注多领域干预措施来降低痴呆风险,以解释风险聚类。
本文章由计算机程序翻译,如有差异,请以英文原文为准。
求助全文
约1分钟内获得全文 求助全文
来源期刊
The Journal of Prevention of Alzheimer's Disease
The Journal of Prevention of Alzheimer's Disease Medicine-Psychiatry and Mental Health
CiteScore
9.20
自引率
0.00%
发文量
0
期刊介绍: The JPAD Journal of Prevention of Alzheimer’Disease will publish reviews, original research articles and short reports to improve our knowledge in the field of Alzheimer prevention including: neurosciences, biomarkers, imaging, epidemiology, public health, physical cognitive exercise, nutrition, risk and protective factors, drug development, trials design, and heath economic outcomes.JPAD will publish also the meeting abstracts from Clinical Trial on Alzheimer Disease (CTAD) and will be distributed both in paper and online version worldwide.We hope that JPAD with your contribution will play a role in the development of Alzheimer prevention.
×
引用
GB/T 7714-2015
复制
MLA
复制
APA
复制
导出至
BibTeX EndNote RefMan NoteFirst NoteExpress
×
提示
您的信息不完整,为了账户安全,请先补充。
现在去补充
×
提示
您因"违规操作"
具体请查看互助需知
我知道了
×
提示
确定
请完成安全验证×
copy
已复制链接
快去分享给好友吧!
我知道了
右上角分享
点击右上角分享
0
联系我们:info@booksci.cn Book学术提供免费学术资源搜索服务,方便国内外学者检索中英文文献。致力于提供最便捷和优质的服务体验。 Copyright © 2023 布克学术 All rights reserved.
京ICP备2023020795号-1
ghs 京公网安备 11010802042870号
Book学术文献互助
Book学术文献互助群
群 号:604180095
Book学术官方微信