Outcome-guided spike-and-slab Lasso Biclustering: A Novel Approach for Enhancing Biclustering Techniques for Gene Expression Analysis.

IF 1.6 2区 数学 Q2 COMPUTER SCIENCE, THEORY & METHODS
Statistics and Computing Pub Date : 2025-01-01 Epub Date: 2025-08-28 DOI:10.1007/s11222-025-10709-4
Luis A Vargas-Mieles, Paul D W Kirk, Chris Wallace
{"title":"Outcome-guided spike-and-slab Lasso Biclustering: A Novel Approach for Enhancing Biclustering Techniques for Gene Expression Analysis.","authors":"Luis A Vargas-Mieles, Paul D W Kirk, Chris Wallace","doi":"10.1007/s11222-025-10709-4","DOIUrl":null,"url":null,"abstract":"<p><p>Biclustering has gained interest in gene expression data analysis due to its ability to identify groups of samples that exhibit similar behaviour in specific subsets of genes (or vice versa), in contrast to traditional clustering methods that classify samples based on all genes. Despite advances, biclustering remains a challenging problem, even with cutting-edge methodologies. This paper introduces an extension of the recently proposed Spike-and-Slab Lasso Biclustering (SSLB) algorithm, termed Outcome-Guided SSLB (OG-SSLB), aimed at enhancing the identification of biclusters in gene expression analysis. Our proposed approach integrates disease outcomes into the biclustering framework through Bayesian profile regression. By leveraging additional clinical information, OG-SSLB improves the interpretability and relevance of the resulting biclusters. Comprehensive simulations and numerical experiments demonstrate that OG-SSLB achieves superior performance, with improved accuracy in estimating the number of clusters and higher consensus scores compared to the original SSLB method. Furthermore, OG-SSLB effectively identifies meaningful patterns and associations between gene expression profiles and disease states. These promising results demonstrate the effectiveness of OG-SSLB in advancing biclustering techniques, providing a powerful tool for uncovering biologically relevant insights. The OGSSLB software can be found as an R/C++ package at https://github.com/luisvargasmieles/OGSSLB.</p>","PeriodicalId":22058,"journal":{"name":"Statistics and Computing","volume":"35 6","pages":"179"},"PeriodicalIF":1.6000,"publicationDate":"2025-01-01","publicationTypes":"Journal Article","fieldsOfStudy":null,"isOpenAccess":false,"openAccessPdf":"https://www.ncbi.nlm.nih.gov/pmc/articles/PMC12394340/pdf/","citationCount":"0","resultStr":null,"platform":"Semanticscholar","paperid":null,"PeriodicalName":"Statistics and Computing","FirstCategoryId":"100","ListUrlMain":"https://doi.org/10.1007/s11222-025-10709-4","RegionNum":2,"RegionCategory":"数学","ArticlePicture":[],"TitleCN":null,"AbstractTextCN":null,"PMCID":null,"EPubDate":"2025/8/28 0:00:00","PubModel":"Epub","JCR":"Q2","JCRName":"COMPUTER SCIENCE, THEORY & METHODS","Score":null,"Total":0}
引用次数: 0

Abstract

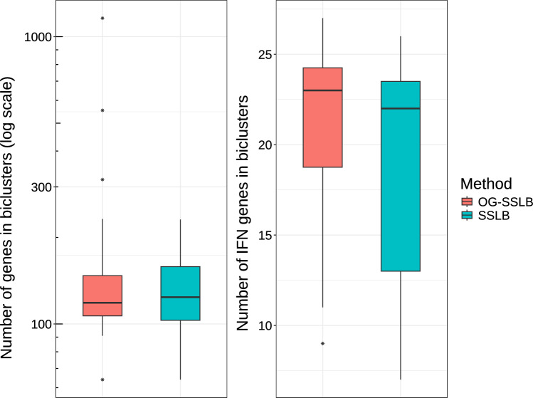
Biclustering has gained interest in gene expression data analysis due to its ability to identify groups of samples that exhibit similar behaviour in specific subsets of genes (or vice versa), in contrast to traditional clustering methods that classify samples based on all genes. Despite advances, biclustering remains a challenging problem, even with cutting-edge methodologies. This paper introduces an extension of the recently proposed Spike-and-Slab Lasso Biclustering (SSLB) algorithm, termed Outcome-Guided SSLB (OG-SSLB), aimed at enhancing the identification of biclusters in gene expression analysis. Our proposed approach integrates disease outcomes into the biclustering framework through Bayesian profile regression. By leveraging additional clinical information, OG-SSLB improves the interpretability and relevance of the resulting biclusters. Comprehensive simulations and numerical experiments demonstrate that OG-SSLB achieves superior performance, with improved accuracy in estimating the number of clusters and higher consensus scores compared to the original SSLB method. Furthermore, OG-SSLB effectively identifies meaningful patterns and associations between gene expression profiles and disease states. These promising results demonstrate the effectiveness of OG-SSLB in advancing biclustering techniques, providing a powerful tool for uncovering biologically relevant insights. The OGSSLB software can be found as an R/C++ package at https://github.com/luisvargasmieles/OGSSLB.

Abstract Image

Abstract Image

Abstract Image

结果导向的穗板Lasso双聚类:一种增强基因表达分析双聚类技术的新方法。
与传统的基于所有基因对样本进行分类的聚类方法相比,双聚类方法能够识别在特定基因子集中表现出相似行为的样本组(反之亦然),因此对基因表达数据分析产生了兴趣。尽管取得了进步,但即使使用尖端的方法,双聚类仍然是一个具有挑战性的问题。本文介绍了最近提出的spike - slab Lasso双聚类(SSLB)算法的扩展,称为结果导向SSLB (OG-SSLB),旨在增强基因表达分析中双聚类的识别。我们提出的方法通过贝叶斯剖面回归将疾病结果整合到双聚类框架中。通过利用额外的临床信息,OG-SSLB提高了结果双聚类的可解释性和相关性。综合仿真和数值实验表明,OG-SSLB方法具有较好的性能,与原始的SSLB方法相比,OG-SSLB方法在估计聚类数量方面具有更高的准确性和更高的一致性分数。此外,OG-SSLB有效识别基因表达谱和疾病状态之间有意义的模式和关联。这些有希望的结果证明了OG-SSLB在推进双聚类技术方面的有效性,为揭示生物学相关的见解提供了一个强大的工具。可以在https://github.com/luisvargasmieles/OGSSLB上找到OGSSLB软件的R/ c++包。
本文章由计算机程序翻译,如有差异,请以英文原文为准。
求助全文
约1分钟内获得全文 求助全文
来源期刊
Statistics and Computing
Statistics and Computing 数学-计算机:理论方法
CiteScore
3.20
自引率
4.50%
发文量
93
审稿时长
6-12 weeks
期刊介绍: Statistics and Computing is a bi-monthly refereed journal which publishes papers covering the range of the interface between the statistical and computing sciences. In particular, it addresses the use of statistical concepts in computing science, for example in machine learning, computer vision and data analytics, as well as the use of computers in data modelling, prediction and analysis. Specific topics which are covered include: techniques for evaluating analytically intractable problems such as bootstrap resampling, Markov chain Monte Carlo, sequential Monte Carlo, approximate Bayesian computation, search and optimization methods, stochastic simulation and Monte Carlo, graphics, computer environments, statistical approaches to software errors, information retrieval, machine learning, statistics of databases and database technology, huge data sets and big data analytics, computer algebra, graphical models, image processing, tomography, inverse problems and uncertainty quantification. In addition, the journal contains original research reports, authoritative review papers, discussed papers, and occasional special issues on particular topics or carrying proceedings of relevant conferences. Statistics and Computing also publishes book review and software review sections.
×
引用
GB/T 7714-2015
复制
MLA
复制
APA
复制
导出至
BibTeX EndNote RefMan NoteFirst NoteExpress
×
提示
您的信息不完整,为了账户安全,请先补充。
现在去补充
×
提示
您因"违规操作"
具体请查看互助需知
我知道了
×
提示
确定
请完成安全验证×
copy
已复制链接
快去分享给好友吧!
我知道了
右上角分享
点击右上角分享
0
联系我们:info@booksci.cn Book学术提供免费学术资源搜索服务,方便国内外学者检索中英文文献。致力于提供最便捷和优质的服务体验。 Copyright © 2023 布克学术 All rights reserved.
京ICP备2023020795号-1
ghs 京公网安备 11010802042870号
Book学术文献互助
Book学术文献互助群
群 号:604180095
Book学术官方微信