Safety and Effectiveness of Unilateral Transcranial Magnetic Resonance-Guided Focused Ultrasound in Essential Tremor: One-Year Single-Center Real-World Results.

IF 3 Q2 CLINICAL NEUROLOGY
Salvatore Iacono, Cesare Gagliardo, Domenico Gerardo Iacopino, Giuseppe Schirò, Rosario Maugeri, Sergio Mastrilli, Valentina Picciolo, Eleonora Bruno, Maurizio Marrale, Massimo Midiri, Marco D'Amelio
{"title":"Safety and Effectiveness of Unilateral Transcranial Magnetic Resonance-Guided Focused Ultrasound in Essential Tremor: One-Year Single-Center Real-World Results.","authors":"Salvatore Iacono, Cesare Gagliardo, Domenico Gerardo Iacopino, Giuseppe Schirò, Rosario Maugeri, Sergio Mastrilli, Valentina Picciolo, Eleonora Bruno, Maurizio Marrale, Massimo Midiri, Marco D'Amelio","doi":"10.3390/neurolint17080131","DOIUrl":null,"url":null,"abstract":"<p><p><b>Background/Objectives</b>: Essential tremor (ET) is the most common movement disorder worldwide. It negatively affects patients' activities of daily living (ADL) and quality of life. Unilateral transcranial magnetic resonance-guided focused ultrasound (tcMRgFUS) thalamotomy has been proven as a highly effective and safe treatment option for patients with refractory ET. The aims of this study are to explore the effectiveness and safety of tcMRgFUS thalamotomy in patients with ET in a real-world setting. <b>Methods</b>: Patients who underwent tcMRgFUS thalamotomy at the University Hospital of Palermo were prospectively enrolled. Scores obtained by Quality of Life in Essential Tremor Questionnaire (QUEST) and The Essential Tremor Rating Assessment Scale (TETRAS) were compared before and after tcMRgFUS thalamotomy. Predictors of tcMRgFUS thalamotomy effectiveness were explored by multivariable Cox regression analyses. All the adverse events (AEs) during and after the procedure were collected. <b>Results</b>: Fifty patients were included (80% male; median age at tcMRgFUS 67.4 years). After procedure, the QUEST score decreased by 46.2%, while TETRAS-ADL and TETRAS Performance (TETRAS-PE) decreased by 52.2% and 51.8%, respectively. Temperature peak and longitudinal lesion diameter positively correlated with the magnitude of QUEST and TETRAS-PE reduction. A higher baseline TETRAS-PE score predicted a good prognosis (HR = HR 6.6 [95% CI: 2.1-21.3]; <i>p</i> = 0.001). AEs were mild to moderate and transient, while permanent AE was observed only in one case. <b>Conclusions</b>: This real-world study confirms the higher effectiveness and the favorable safety profile of tcMRgFUS thalamotomy in patients with ET by reducing the tremor-related interference in quality of life, disability in ADL, and tremor severity.</p>","PeriodicalId":19130,"journal":{"name":"Neurology International","volume":"17 8","pages":""},"PeriodicalIF":3.0000,"publicationDate":"2025-08-21","publicationTypes":"Journal Article","fieldsOfStudy":null,"isOpenAccess":false,"openAccessPdf":"https://www.ncbi.nlm.nih.gov/pmc/articles/PMC12388773/pdf/","citationCount":"0","resultStr":null,"platform":"Semanticscholar","paperid":null,"PeriodicalName":"Neurology International","FirstCategoryId":"1085","ListUrlMain":"https://doi.org/10.3390/neurolint17080131","RegionNum":0,"RegionCategory":null,"ArticlePicture":[],"TitleCN":null,"AbstractTextCN":null,"PMCID":null,"EPubDate":"","PubModel":"","JCR":"Q2","JCRName":"CLINICAL NEUROLOGY","Score":null,"Total":0}
引用次数: 0

Abstract

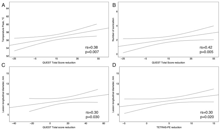
Background/Objectives: Essential tremor (ET) is the most common movement disorder worldwide. It negatively affects patients' activities of daily living (ADL) and quality of life. Unilateral transcranial magnetic resonance-guided focused ultrasound (tcMRgFUS) thalamotomy has been proven as a highly effective and safe treatment option for patients with refractory ET. The aims of this study are to explore the effectiveness and safety of tcMRgFUS thalamotomy in patients with ET in a real-world setting. Methods: Patients who underwent tcMRgFUS thalamotomy at the University Hospital of Palermo were prospectively enrolled. Scores obtained by Quality of Life in Essential Tremor Questionnaire (QUEST) and The Essential Tremor Rating Assessment Scale (TETRAS) were compared before and after tcMRgFUS thalamotomy. Predictors of tcMRgFUS thalamotomy effectiveness were explored by multivariable Cox regression analyses. All the adverse events (AEs) during and after the procedure were collected. Results: Fifty patients were included (80% male; median age at tcMRgFUS 67.4 years). After procedure, the QUEST score decreased by 46.2%, while TETRAS-ADL and TETRAS Performance (TETRAS-PE) decreased by 52.2% and 51.8%, respectively. Temperature peak and longitudinal lesion diameter positively correlated with the magnitude of QUEST and TETRAS-PE reduction. A higher baseline TETRAS-PE score predicted a good prognosis (HR = HR 6.6 [95% CI: 2.1-21.3]; p = 0.001). AEs were mild to moderate and transient, while permanent AE was observed only in one case. Conclusions: This real-world study confirms the higher effectiveness and the favorable safety profile of tcMRgFUS thalamotomy in patients with ET by reducing the tremor-related interference in quality of life, disability in ADL, and tremor severity.

Abstract Image

Abstract Image

Abstract Image

单侧经颅磁共振引导聚焦超声治疗特发性震颤的安全性和有效性:一年单中心真实世界结果。
背景/目的:特发性震颤(ET)是世界范围内最常见的运动障碍。它对患者的日常生活活动(ADL)和生活质量产生负面影响。单侧经颅磁共振引导聚焦超声(tcMRgFUS)丘脑切开术已被证明是难治性ET患者的一种非常有效和安全的治疗选择。本研究的目的是在现实世界中探讨tcMRgFUS丘脑切开术在ET患者中的有效性和安全性。方法:前瞻性纳入在巴勒莫大学医院接受tcMRgFUS丘脑切开术的患者。比较tcMRgFUS丘脑切开术前后特发性震颤生活质量问卷(QUEST)和特发性震颤评分评定量表(TETRAS)得分。采用多变量Cox回归分析探讨tcMRgFUS丘脑切开术疗效的预测因素。收集术中及术后所有不良事件(ae)。结果:纳入50例患者(80%为男性,tcMRgFUS中位年龄67.4岁)。手术后,QUEST分数下降46.2%,而TETRAS- adl和TETRAS性能(TETRAS- pe)分别下降52.2%和51.8%。温度峰和纵病变直径与QUEST和TETRAS-PE降低程度呈正相关。较高的基线TETRAS-PE评分预示着良好的预后(HR = HR 6.6 [95% CI: 2.1-21.3]; p = 0.001)。AE为轻至中度和短暂性,永久性AE仅1例。结论:这项现实世界的研究证实了tcMRgFUS丘脑切开术在ET患者中具有更高的有效性和良好的安全性,可以减少震颤相关的生活质量干扰、ADL残疾和震颤严重程度。
本文章由计算机程序翻译,如有差异,请以英文原文为准。
求助全文
约1分钟内获得全文 求助全文
来源期刊
Neurology International
Neurology International CLINICAL NEUROLOGY-
CiteScore
3.70
自引率
3.30%
发文量
69
审稿时长
11 weeks
×
引用
GB/T 7714-2015
复制
MLA
复制
APA
复制
导出至
BibTeX EndNote RefMan NoteFirst NoteExpress
×
提示
您的信息不完整,为了账户安全,请先补充。
现在去补充
×
提示
您因"违规操作"
具体请查看互助需知
我知道了
×
提示
确定
请完成安全验证×
copy
已复制链接
快去分享给好友吧!
我知道了
右上角分享
点击右上角分享
0
联系我们:info@booksci.cn Book学术提供免费学术资源搜索服务,方便国内外学者检索中英文文献。致力于提供最便捷和优质的服务体验。 Copyright © 2023 布克学术 All rights reserved.
京ICP备2023020795号-1
ghs 京公网安备 11010802042870号
Book学术文献互助
Book学术文献互助群
群 号:604180095
Book学术官方微信