Screening Candidates for Conversion Therapy in Unresectable Hepatocellular Carcinoma Patients After Tyrosine Kinase Inhibitor Plus PD-1/PD-L1 Antibody Therapy: A Multicenter Retrospective Study.

IF 3.4 3区 医学 Q2 ONCOLOGY
Journal of Hepatocellular Carcinoma Pub Date : 2025-08-25 eCollection Date: 2025-01-01 DOI:10.2147/JHC.S523476
Zhe Jin, Xueyan Li, Ling Lv, Bin Zhang, Xiao Ma, Siqin Chen, Jingjing You, Xuewei Wu, Liaoyuan Wang, Xin Liu, Fei Wang, Xiaoming Chen, Lijuan Yu, Shuixing Zhang, Lu Zhang
{"title":"Screening Candidates for Conversion Therapy in Unresectable Hepatocellular Carcinoma Patients After Tyrosine Kinase Inhibitor Plus PD-1/PD-L1 Antibody Therapy: A Multicenter Retrospective Study.","authors":"Zhe Jin, Xueyan Li, Ling Lv, Bin Zhang, Xiao Ma, Siqin Chen, Jingjing You, Xuewei Wu, Liaoyuan Wang, Xin Liu, Fei Wang, Xiaoming Chen, Lijuan Yu, Shuixing Zhang, Lu Zhang","doi":"10.2147/JHC.S523476","DOIUrl":null,"url":null,"abstract":"<p><strong>Background: </strong>Conversion therapies after immune checkpoint inhibitors (ICIs) plus tyrosine-kinase inhibitors (TKIs) provide curative surgery chance and prolong survival for unresectable hepatocellular carcinoma (uHCC). However, only some patients have the opportunity to receive conversion therapies. To this end, we aimed to develop and validate a machine-learning model to identify patients who may have the chance to undergo conversion therapy.</p><p><strong>Methods: </strong>This retrospective cohort study included 443 patients with uHCC who received ICIs and TKIs from four centers. Variables were analyzed using univariate and multivariate logistic regression to identify independent indicators of conversion therapy. The Gradient Boosting Machine (GBM) algorithm was used to develop and validate model, and the Shapley additive explanation algorithm was used to mechanically explain the prediction of the model.</p><p><strong>Results: </strong>Overall, 84 (19%) patients underwent conversion therapy, and their prognosis were significantly longer than those did not (<i>P</i> < 0.05). CA125 level, pre-TKI therapy, pre-antiviral therapy, lymph node metastasis status, and number of intrahepatic lesions were identified as indicators of conversion therapy. The GBM-based combined model outperformed the BCLC classification (<i>P</i> < 0.05), yielding an AUC of 0.76 and 0.74 in the training and external validation cohorts, respectively. Survival analyses indicated that patients who underwent surgery as conversion therapy had a better prognosis than those who underwent ablation therapy (<i>P</i> < 0.05).</p><p><strong>Conclusion: </strong>The GBM-based combined model could identify patients who may benefit from conversion therapy for uHCC treated with ICIs and TKIs. Surgical resection as curative conversion therapy may provide better survival benefits than ablation therapy.</p>","PeriodicalId":15906,"journal":{"name":"Journal of Hepatocellular Carcinoma","volume":"12 ","pages":"1921-1941"},"PeriodicalIF":3.4000,"publicationDate":"2025-08-25","publicationTypes":"Journal Article","fieldsOfStudy":null,"isOpenAccess":false,"openAccessPdf":"https://www.ncbi.nlm.nih.gov/pmc/articles/PMC12396238/pdf/","citationCount":"0","resultStr":null,"platform":"Semanticscholar","paperid":null,"PeriodicalName":"Journal of Hepatocellular Carcinoma","FirstCategoryId":"3","ListUrlMain":"https://doi.org/10.2147/JHC.S523476","RegionNum":3,"RegionCategory":"医学","ArticlePicture":[],"TitleCN":null,"AbstractTextCN":null,"PMCID":null,"EPubDate":"2025/1/1 0:00:00","PubModel":"eCollection","JCR":"Q2","JCRName":"ONCOLOGY","Score":null,"Total":0}
引用次数: 0

Abstract

Background: Conversion therapies after immune checkpoint inhibitors (ICIs) plus tyrosine-kinase inhibitors (TKIs) provide curative surgery chance and prolong survival for unresectable hepatocellular carcinoma (uHCC). However, only some patients have the opportunity to receive conversion therapies. To this end, we aimed to develop and validate a machine-learning model to identify patients who may have the chance to undergo conversion therapy.

Methods: This retrospective cohort study included 443 patients with uHCC who received ICIs and TKIs from four centers. Variables were analyzed using univariate and multivariate logistic regression to identify independent indicators of conversion therapy. The Gradient Boosting Machine (GBM) algorithm was used to develop and validate model, and the Shapley additive explanation algorithm was used to mechanically explain the prediction of the model.

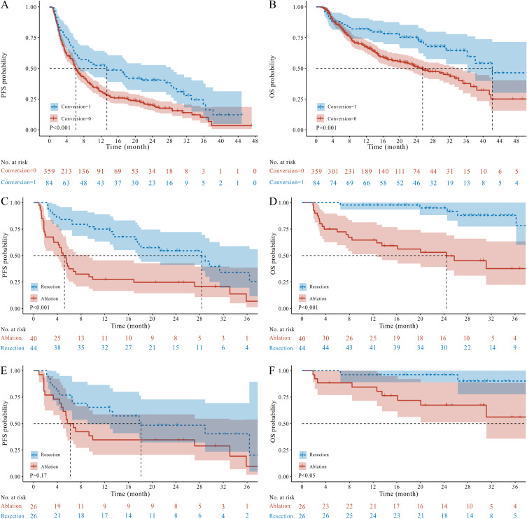
Results: Overall, 84 (19%) patients underwent conversion therapy, and their prognosis were significantly longer than those did not (P < 0.05). CA125 level, pre-TKI therapy, pre-antiviral therapy, lymph node metastasis status, and number of intrahepatic lesions were identified as indicators of conversion therapy. The GBM-based combined model outperformed the BCLC classification (P < 0.05), yielding an AUC of 0.76 and 0.74 in the training and external validation cohorts, respectively. Survival analyses indicated that patients who underwent surgery as conversion therapy had a better prognosis than those who underwent ablation therapy (P < 0.05).

Conclusion: The GBM-based combined model could identify patients who may benefit from conversion therapy for uHCC treated with ICIs and TKIs. Surgical resection as curative conversion therapy may provide better survival benefits than ablation therapy.

Abstract Image

Abstract Image

Abstract Image

筛选不可切除肝癌患者酪氨酸激酶抑制剂加PD-1/PD-L1抗体治疗后转化治疗的候选药物:一项多中心回顾性研究
背景:免疫检查点抑制剂(ICIs)联合酪氨酸激酶抑制剂(TKIs)后的转化治疗为不可切除的肝细胞癌(uHCC)提供了手术治愈的机会并延长了生存期。然而,只有部分患者有机会接受转化治疗。为此,我们旨在开发和验证一种机器学习模型,以识别可能有机会接受转化治疗的患者。方法:这项回顾性队列研究包括来自四个中心的443例接受ICIs和tki治疗的uHCC患者。采用单因素和多因素logistic回归分析变量,以确定转化治疗的独立指标。采用梯度增强机(Gradient Boosting Machine, GBM)算法对模型进行开发和验证,采用Shapley加性解释算法对模型的预测进行机械解释。结果:总的来说,84例(19%)患者接受了转换治疗,预后明显长于未接受转换治疗的患者(P < 0.05)。将CA125水平、tki治疗前、抗病毒治疗前、淋巴结转移情况、肝内病变数量作为转化治疗的指标。基于gbm的联合模型优于BCLC分类(P < 0.05),在训练组和外部验证组的AUC分别为0.76和0.74。生存分析表明,手术转换治疗患者预后优于消融治疗患者(P < 0.05)。结论:基于gbm的联合模型可以识别出可能受益于ICIs和TKIs治疗的原发性肝癌转化治疗的患者。手术切除作为治疗性转换疗法可能比消融治疗提供更好的生存效益。
本文章由计算机程序翻译,如有差异,请以英文原文为准。
求助全文
约1分钟内获得全文 求助全文
来源期刊
CiteScore
0.50
自引率
2.40%
发文量
108
审稿时长
16 weeks
×
引用
GB/T 7714-2015
复制
MLA
复制
APA
复制
导出至
BibTeX EndNote RefMan NoteFirst NoteExpress
×
提示
您的信息不完整,为了账户安全,请先补充。
现在去补充
×
提示
您因"违规操作"
具体请查看互助需知
我知道了
×
提示
确定
请完成安全验证×
copy
已复制链接
快去分享给好友吧!
我知道了
右上角分享
点击右上角分享
0
联系我们:info@booksci.cn Book学术提供免费学术资源搜索服务,方便国内外学者检索中英文文献。致力于提供最便捷和优质的服务体验。 Copyright © 2023 布克学术 All rights reserved.
京ICP备2023020795号-1
ghs 京公网安备 11010802042870号
Book学术文献互助
Book学术文献互助群
群 号:604180095
Book学术官方微信