Assessing the Effect of Environmental Factors on Production of Microalgae Nannochloropsis Oculata in A Vertical Photo Bioreactor.

IF 1.5 4区 生物学 Q4 BIOTECHNOLOGY & APPLIED MICROBIOLOGY
Mohammad Hossein Afsharbakhsh, Ahmad Mohammadi, Hamid Mashhadi, Fahimeh Mahmoudnia
{"title":"Assessing the Effect of Environmental Factors on Production of Microalgae <i>Nannochloropsis Oculata</i> in A Vertical Photo Bioreactor.","authors":"Mohammad Hossein Afsharbakhsh, Ahmad Mohammadi, Hamid Mashhadi, Fahimeh Mahmoudnia","doi":"10.30498/ijb.2025.479547.3995","DOIUrl":null,"url":null,"abstract":"<p><strong>Background: </strong>Microalgae like <i>Nannochloropsis oculata</i> are gaining interest in biotech for sustainable biofuels and nutrition due to their lipid and protein production. This study explores how factors like light, temperature, pH, and nutrients affect <i>N. oculata</i>'s growth and productivity to enhance bioprocesses.</p><p><strong>Objective: </strong>The goal was to refine these environmental conditions to enhance the biotechnological applications of <i>N. oculata</i> , fostering innovative solutions in sustainable energy and nutrition.</p><p><strong>Materials and method: </strong>This study examined how culture medium, temperature, pH, and light affect biomass, chlorophyll, carotenoids, and lipid content of <i>Nannochloropsis oculata</i> in a photobioreactor. A light intensity of 5000 Lux was used for 16 hours with three medium: Walne, BBM, and Jourdan. Temperatures of 25 °C and 30 °C, and pH levels of 7-9 and 9-11 were tested. Key outcomes included cell density, growth rate, biomass, and lipid production, analyzed using Design Expert.</p><p><strong>Results: </strong>The study conducted highlighted notable and significant discrepancies in various parameters, specifically cell density (measured in cells.mL<sup>-1</sup>), biomass (expressed in g.L<sup>-1</sup>), and chlorophyll content across the three different culture media: Walne, BBM, and Jordan. These differences were statistically validated at a significance level of 1%, all while maintaining carefully controlled conditions for temperature and pH. Among the three, Walne medium produced the most favorable outcomes for the growth of <i>N. oculata</i> , particularly when cultured at a pH level of 9 and at a temperature of 25 °C. This medium clearly outperformed the others in terms of biological performance metrics. On the other hand, Jordan medium emerged as the more economically viable option for large-scale cultivation despite the superior biological results associated with Walne. Not only was Jordan medium financially advantageous, but it also demonstrated remarkable lipid production capabilities, with Palmitic acid identified as the predominant fatty acid present in the cultures grown in this medium. Furthermore, the investigation revealed that both temperature and pH have a significant and impactful role in regulating the production of chlorophyll and carotenoids. This finding emphasizes the critical importance of maintaining optimal culture conditions in order to maximize the metabolic production efficiency of microalgae.</p><p><strong>Conclusion: </strong>In conclusion, the selection of the appropriate culture medium plays a crucial role in influencing both the growth metrics and biochemical performance of <i>N. oculata</i>. Specifically, Walne medium attained the highest measures for cell density, biomass accumulation, and chlorophyll production when cultivated under the optimal conditions of pH 9 and 25 °C. Although Walne medium provides superior biological results, the Jordan medium represents a more cost-effective alternative for large-scale production, thereby underlining the necessity to carefully balance the dual objectives of biological efficiency and economic feasibility within the domain of microalgae cultivation for biotechnological applications. Looking forward, future research endeavors should aim at further optimizing the various media as well as the conditions under which these cultures are grown, with the overarching goal of enhancing both productivity levels and cost-effectiveness in microalgal cultivation processes.</p>","PeriodicalId":14492,"journal":{"name":"Iranian Journal of Biotechnology","volume":"23 2","pages":"e3995"},"PeriodicalIF":1.5000,"publicationDate":"2025-04-01","publicationTypes":"Journal Article","fieldsOfStudy":null,"isOpenAccess":false,"openAccessPdf":"https://www.ncbi.nlm.nih.gov/pmc/articles/PMC12374126/pdf/","citationCount":"0","resultStr":null,"platform":"Semanticscholar","paperid":null,"PeriodicalName":"Iranian Journal of Biotechnology","FirstCategoryId":"5","ListUrlMain":"https://doi.org/10.30498/ijb.2025.479547.3995","RegionNum":4,"RegionCategory":"生物学","ArticlePicture":[],"TitleCN":null,"AbstractTextCN":null,"PMCID":null,"EPubDate":"","PubModel":"","JCR":"Q4","JCRName":"BIOTECHNOLOGY & APPLIED MICROBIOLOGY","Score":null,"Total":0}
引用次数: 0

Abstract

Background: Microalgae like Nannochloropsis oculata are gaining interest in biotech for sustainable biofuels and nutrition due to their lipid and protein production. This study explores how factors like light, temperature, pH, and nutrients affect N. oculata's growth and productivity to enhance bioprocesses.

Objective: The goal was to refine these environmental conditions to enhance the biotechnological applications of N. oculata , fostering innovative solutions in sustainable energy and nutrition.

Materials and method: This study examined how culture medium, temperature, pH, and light affect biomass, chlorophyll, carotenoids, and lipid content of Nannochloropsis oculata in a photobioreactor. A light intensity of 5000 Lux was used for 16 hours with three medium: Walne, BBM, and Jourdan. Temperatures of 25 °C and 30 °C, and pH levels of 7-9 and 9-11 were tested. Key outcomes included cell density, growth rate, biomass, and lipid production, analyzed using Design Expert.

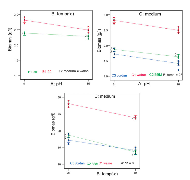
Results: The study conducted highlighted notable and significant discrepancies in various parameters, specifically cell density (measured in cells.mL-1), biomass (expressed in g.L-1), and chlorophyll content across the three different culture media: Walne, BBM, and Jordan. These differences were statistically validated at a significance level of 1%, all while maintaining carefully controlled conditions for temperature and pH. Among the three, Walne medium produced the most favorable outcomes for the growth of N. oculata , particularly when cultured at a pH level of 9 and at a temperature of 25 °C. This medium clearly outperformed the others in terms of biological performance metrics. On the other hand, Jordan medium emerged as the more economically viable option for large-scale cultivation despite the superior biological results associated with Walne. Not only was Jordan medium financially advantageous, but it also demonstrated remarkable lipid production capabilities, with Palmitic acid identified as the predominant fatty acid present in the cultures grown in this medium. Furthermore, the investigation revealed that both temperature and pH have a significant and impactful role in regulating the production of chlorophyll and carotenoids. This finding emphasizes the critical importance of maintaining optimal culture conditions in order to maximize the metabolic production efficiency of microalgae.

Conclusion: In conclusion, the selection of the appropriate culture medium plays a crucial role in influencing both the growth metrics and biochemical performance of N. oculata. Specifically, Walne medium attained the highest measures for cell density, biomass accumulation, and chlorophyll production when cultivated under the optimal conditions of pH 9 and 25 °C. Although Walne medium provides superior biological results, the Jordan medium represents a more cost-effective alternative for large-scale production, thereby underlining the necessity to carefully balance the dual objectives of biological efficiency and economic feasibility within the domain of microalgae cultivation for biotechnological applications. Looking forward, future research endeavors should aim at further optimizing the various media as well as the conditions under which these cultures are grown, with the overarching goal of enhancing both productivity levels and cost-effectiveness in microalgal cultivation processes.

Abstract Image

Abstract Image

Abstract Image

环境因子对垂直光生物反应器生产纳米绿藻的影响
背景:微藻(如Nannochloropsis oculata)由于其脂质和蛋白质的生产而引起了生物技术领域对可持续生物燃料和营养的兴趣。本研究探讨了光、温度、pH值和营养等因素如何影响青苔的生长和生产力,从而促进生物过程。目的:目的是改善这些环境条件,以加强野蚕豆的生物技术应用,促进可持续能源和营养方面的创新解决方案。材料和方法:本研究考察了光生物反应器中培养基、温度、pH值和光照对纳米绿藻生物量、叶绿素、类胡萝卜素和脂质含量的影响。光照强度为5000 Lux,使用Walne、BBM、Jourdan三种介质,持续16小时。温度为25°C和30°C, pH值为7-9和9-11。主要结果包括细胞密度、生长率、生物量和脂质生成,使用Design Expert进行分析。结果:所进行的研究突出了各种参数,特别是细胞密度(在细胞中测量)的显着和显著差异。在Walne、BBM和Jordan三种不同培养基上,生物量(以g.L-1表示)和叶绿素含量。这些差异在1%的显著性水平上得到了统计验证,同时保持了严格控制的温度和pH条件。在这三种培养基中,Walne培养基对N. oculata的生长效果最有利,特别是在pH水平为9和温度为25°C的情况下。这种介质在生物性能指标方面明显优于其他介质。另一方面,尽管与Walne相关的生物学结果优越,但约旦培养基成为大规模栽培的更经济可行的选择。约旦培养基不仅具有经济优势,而且还显示出显著的脂质生产能力,棕榈酸被确定为在该培养基中培养的主要脂肪酸。此外,研究表明温度和pH值在调节叶绿素和类胡萝卜素的产生方面都具有重要的影响作用。这一发现强调了维持最佳培养条件以最大限度地提高微藻代谢生产效率的重要性。结论:培养基的选择对青花蓟马的生长指标和生化性能都有至关重要的影响。具体而言,在pH为9和25°C的最佳条件下培养的Walne培养基在细胞密度、生物量积累和叶绿素产量方面达到了最高水平。虽然Walne培养基提供了优越的生物学结果,但Jordan培养基代表了大规模生产的更具成本效益的替代方案,因此强调了在生物技术应用微藻培养领域中仔细平衡生物效率和经济可行性的双重目标的必要性。展望未来,未来的研究应着眼于进一步优化各种培养基以及这些培养条件,以提高微藻培养过程的生产力水平和成本效益为总体目标。
本文章由计算机程序翻译,如有差异,请以英文原文为准。
求助全文
约1分钟内获得全文 求助全文
来源期刊
Iranian Journal of Biotechnology
Iranian Journal of Biotechnology BIOTECHNOLOGY & APPLIED MICROBIOLOGY-
CiteScore
2.60
自引率
7.70%
发文量
20
期刊介绍: Iranian Journal of Biotechnology (IJB) is published quarterly by the National Institute of Genetic Engineering and Biotechnology. IJB publishes original scientific research papers in the broad area of Biotechnology such as, Agriculture, Animal and Marine Sciences, Basic Sciences, Bioinformatics, Biosafety and Bioethics, Environment, Industry and Mining and Medical Sciences.
×
引用
GB/T 7714-2015
复制
MLA
复制
APA
复制
导出至
BibTeX EndNote RefMan NoteFirst NoteExpress
×
提示
您的信息不完整,为了账户安全,请先补充。
现在去补充
×
提示
您因"违规操作"
具体请查看互助需知
我知道了
×
提示
确定
请完成安全验证×
copy
已复制链接
快去分享给好友吧!
我知道了
右上角分享
点击右上角分享
0
联系我们:info@booksci.cn Book学术提供免费学术资源搜索服务,方便国内外学者检索中英文文献。致力于提供最便捷和优质的服务体验。 Copyright © 2023 布克学术 All rights reserved.
京ICP备2023020795号-1
ghs 京公网安备 11010802042870号
Book学术文献互助
Book学术文献互助群
群 号:604180095
Book学术官方微信