1H-NMR urine metabolomic fingerprint for severity discrimination in pulmonary sarcoidosis.

IF 4 3区 医学 Q1 RESPIRATORY SYSTEM
ERJ Open Research Pub Date : 2025-08-26 eCollection Date: 2025-07-01 DOI:10.1183/23120541.00763-2024
Florence Jeny, Mohamed Nawfal Triba, Simon Chauveau, Dominique Valeyre, Sabrina Mokhtari, Hilario Nunes, Jean-Francois Bernaudin, Philippe Savarin
{"title":"<sup>1</sup>H-NMR urine metabolomic fingerprint for severity discrimination in pulmonary sarcoidosis.","authors":"Florence Jeny, Mohamed Nawfal Triba, Simon Chauveau, Dominique Valeyre, Sabrina Mokhtari, Hilario Nunes, Jean-Francois Bernaudin, Philippe Savarin","doi":"10.1183/23120541.00763-2024","DOIUrl":null,"url":null,"abstract":"<p><strong>Background: </strong>Sarcoidosis is a systemic inflammatory immune disease characterised by noncaseating granulomas. Its course can vary from benign to very severe, requiring appropriate treatment. Few biomarkers are available to monitor the management of these patients and to identify those at risk of poor prognosis. Given the systemic nature of sarcoidosis, we hypothesised that the analysis of urine metabolites could provide valuable biomarkers for the management of severe disease.</p><p><strong>Methods: </strong>We conducted a comparative analysis of urine metabolomics in a consecutive cohort of 37 well-phenotyped patients, using <sup>1</sup>H nuclear magnetic resonance (NMR) with multivariate statistical analysis, followed by metabolite identification. After NMR spectra acquisition, we used principal component analysis and partial least squares (PLS) discriminant analysis to generate predictive models.</p><p><strong>Results: </strong>A urinary metabolomic signature predictive of severe pulmonary sarcoidosis was identified using a PLS model. We selected five metabolites with significant changes in samples from severe sarcoidosis defined by a composite physiologic index >40 compared to those from nonsevere sarcoidosis. These changes correspond to the decreased levels of taurine, hippurate, serine and creatinine and increased levels of 3-hydroxyisovalerate. This metabolite profile suggests an association with activated inflammatory pathways.</p><p><strong>Conclusions: </strong>This study shows that urinary NMR metabolites can discriminate samples between nonsevere and severe sarcoidosis. It suggests that urinary metabolomic studies in sarcoidosis may be particularly useful to identify potentially relevant biomarkers. However, further validation in a larger cohort of patients at different disease stages is warranted to confirm the relevance of these NMR biomarkers for follow-up.</p>","PeriodicalId":11739,"journal":{"name":"ERJ Open Research","volume":"11 4","pages":""},"PeriodicalIF":4.0000,"publicationDate":"2025-08-26","publicationTypes":"Journal Article","fieldsOfStudy":null,"isOpenAccess":false,"openAccessPdf":"https://www.ncbi.nlm.nih.gov/pmc/articles/PMC12378737/pdf/","citationCount":"0","resultStr":null,"platform":"Semanticscholar","paperid":null,"PeriodicalName":"ERJ Open Research","FirstCategoryId":"3","ListUrlMain":"https://doi.org/10.1183/23120541.00763-2024","RegionNum":3,"RegionCategory":"医学","ArticlePicture":[],"TitleCN":null,"AbstractTextCN":null,"PMCID":null,"EPubDate":"2025/7/1 0:00:00","PubModel":"eCollection","JCR":"Q1","JCRName":"RESPIRATORY SYSTEM","Score":null,"Total":0}
引用次数: 0

Abstract

Background: Sarcoidosis is a systemic inflammatory immune disease characterised by noncaseating granulomas. Its course can vary from benign to very severe, requiring appropriate treatment. Few biomarkers are available to monitor the management of these patients and to identify those at risk of poor prognosis. Given the systemic nature of sarcoidosis, we hypothesised that the analysis of urine metabolites could provide valuable biomarkers for the management of severe disease.

Methods: We conducted a comparative analysis of urine metabolomics in a consecutive cohort of 37 well-phenotyped patients, using 1H nuclear magnetic resonance (NMR) with multivariate statistical analysis, followed by metabolite identification. After NMR spectra acquisition, we used principal component analysis and partial least squares (PLS) discriminant analysis to generate predictive models.

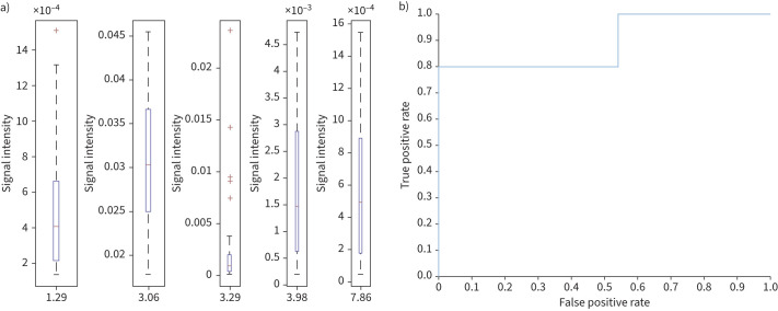
Results: A urinary metabolomic signature predictive of severe pulmonary sarcoidosis was identified using a PLS model. We selected five metabolites with significant changes in samples from severe sarcoidosis defined by a composite physiologic index >40 compared to those from nonsevere sarcoidosis. These changes correspond to the decreased levels of taurine, hippurate, serine and creatinine and increased levels of 3-hydroxyisovalerate. This metabolite profile suggests an association with activated inflammatory pathways.

Conclusions: This study shows that urinary NMR metabolites can discriminate samples between nonsevere and severe sarcoidosis. It suggests that urinary metabolomic studies in sarcoidosis may be particularly useful to identify potentially relevant biomarkers. However, further validation in a larger cohort of patients at different disease stages is warranted to confirm the relevance of these NMR biomarkers for follow-up.

Abstract Image

Abstract Image

Abstract Image

1H-NMR尿代谢组学指纹鉴别肺结节病的严重程度。
背景:结节病是一种以非干酪化肉芽肿为特征的全身性炎性免疫疾病。其病程从良性到非常严重不等,需要适当的治疗。很少有生物标志物可用于监测这些患者的管理并识别那些有预后不良风险的患者。鉴于结节病的全身性,我们假设尿液代谢物的分析可以为严重疾病的管理提供有价值的生物标志物。方法:我们对37例表型良好的连续队列患者进行尿液代谢组学比较分析,采用1H核磁共振(NMR)多变量统计分析,然后进行代谢物鉴定。在获取NMR光谱后,我们使用主成分分析和偏最小二乘(PLS)判别分析来生成预测模型。结果:尿代谢组学特征预测严重肺结节病被确定使用PLS模型。我们选择了5种代谢物,这些代谢物与非严重结节病的代谢物相比,严重结节病的样品有显著的变化,由复合生理指数bbb40定义。这些变化对应于牛磺酸、马尿酸、丝氨酸和肌酐水平的降低和3-羟基异戊酸水平的升高。这种代谢物谱表明与激活的炎症途径有关。结论:本研究表明尿核磁共振代谢物可以区分非严重和严重结节病。这表明结节病的尿代谢组学研究可能对识别潜在的相关生物标志物特别有用。然而,在更大的不同疾病阶段的患者队列中进一步验证是必要的,以确认这些核磁共振生物标志物与随访的相关性。
本文章由计算机程序翻译,如有差异,请以英文原文为准。
求助全文
约1分钟内获得全文 求助全文
来源期刊
ERJ Open Research
ERJ Open Research Medicine-Pulmonary and Respiratory Medicine
CiteScore
6.20
自引率
4.30%
发文量
273
审稿时长
8 weeks
期刊介绍: ERJ Open Research is a fully open access original research journal, published online by the European Respiratory Society. The journal aims to publish high-quality work in all fields of respiratory science and medicine, covering basic science, clinical translational science and clinical medicine. The journal was created to help fulfil the ERS objective to disseminate scientific and educational material to its members and to the medical community, but also to provide researchers with an affordable open access specialty journal in which to publish their work.
×
引用
GB/T 7714-2015
复制
MLA
复制
APA
复制
导出至
BibTeX EndNote RefMan NoteFirst NoteExpress
×
提示
您的信息不完整,为了账户安全,请先补充。
现在去补充
×
提示
您因"违规操作"
具体请查看互助需知
我知道了
×
提示
确定
请完成安全验证×
copy
已复制链接
快去分享给好友吧!
我知道了
右上角分享
点击右上角分享
0
联系我们:info@booksci.cn Book学术提供免费学术资源搜索服务,方便国内外学者检索中英文文献。致力于提供最便捷和优质的服务体验。 Copyright © 2023 布克学术 All rights reserved.
京ICP备2023020795号-1
ghs 京公网安备 11010802042870号
Book学术文献互助
Book学术文献互助群
群 号:604180095
Book学术官方微信