Modified stress hyperglycemia ratio identifies the risk of early cardiovascular complications in patients with acute myocardial infarction.

IF 2.8 3区 医学 Q3 ENDOCRINOLOGY & METABOLISM
Endocrine Connections Pub Date : 2025-09-11 Print Date: 2025-09-01 DOI:10.1530/EC-25-0377
Yi Zhang, Jiahao Duan, Fan Huang, Kai Huang, Ruting Wang, Wei Liu, Xiaoyu Yang, Bin Zhu, Chun Yang, Ling Yang
{"title":"Modified stress hyperglycemia ratio identifies the risk of early cardiovascular complications in patients with acute myocardial infarction.","authors":"Yi Zhang, Jiahao Duan, Fan Huang, Kai Huang, Ruting Wang, Wei Liu, Xiaoyu Yang, Bin Zhu, Chun Yang, Ling Yang","doi":"10.1530/EC-25-0377","DOIUrl":null,"url":null,"abstract":"<p><strong>Background: </strong>Stress hyperglycemia ratio (SHR) has been associated with poor outcomes in patients with acute myocardial infarction (AMI). Modified SHR (mSHR) is defined as the highest SHR observed within the first 24 h of admission. However, the association between mSHR and early cardiovascular complications (ECC) following AMI is unclear.</p><p><strong>Methods: </strong>This multicenter observational study incorporated retrospective and prospective analyses across two independent cohorts. The discovery and validation cohorts each included consecutive AMI patients admitted to intensive care units. The blood glucose and hemoglobin A1c levels were used to calculate mSHR. The primary outcome was the occurrence of ECC during the hospital stay.</p><p><strong>Results: </strong>In the discovery cohort, ECC occurred in 322 (23.9%) of 1,349 patients, and mSHR was independently associated with ECC (adjusted odds ratio: 1.164; 95% confidence interval (CI): 1.124-1.206; P < 0.001). Machine learning approaches identified mSHR as the most important feature. In the validation cohort, 303 patients were divided into three groups according to mSHR tertiles. Modified Poisson regression analysis showed that patients with mSHR ≥ 1.202 (tertile 3) had a significantly higher risk of ECC compared to those in tertiles 1-2 (adjusted risk ratio: 2.337; 95% CI: 1.479-3.693; P < 0.001). The results of multivariate analysis were consistent before and after applying inverse probability of treatment weighting.</p><p><strong>Conclusion: </strong>In AMI patients, mSHR is an accurate risk-stratification tool for identifying ECC. It may provide exploratory evidence to optimize current glycemic control strategies and early discharge pathways.</p>","PeriodicalId":11634,"journal":{"name":"Endocrine Connections","volume":" ","pages":""},"PeriodicalIF":2.8000,"publicationDate":"2025-09-11","publicationTypes":"Journal Article","fieldsOfStudy":null,"isOpenAccess":false,"openAccessPdf":"https://www.ncbi.nlm.nih.gov/pmc/articles/PMC12434227/pdf/","citationCount":"0","resultStr":null,"platform":"Semanticscholar","paperid":null,"PeriodicalName":"Endocrine Connections","FirstCategoryId":"3","ListUrlMain":"https://doi.org/10.1530/EC-25-0377","RegionNum":3,"RegionCategory":"医学","ArticlePicture":[],"TitleCN":null,"AbstractTextCN":null,"PMCID":null,"EPubDate":"2025/9/1 0:00:00","PubModel":"Print","JCR":"Q3","JCRName":"ENDOCRINOLOGY & METABOLISM","Score":null,"Total":0}
引用次数: 0

Abstract

Background: Stress hyperglycemia ratio (SHR) has been associated with poor outcomes in patients with acute myocardial infarction (AMI). Modified SHR (mSHR) is defined as the highest SHR observed within the first 24 h of admission. However, the association between mSHR and early cardiovascular complications (ECC) following AMI is unclear.

Methods: This multicenter observational study incorporated retrospective and prospective analyses across two independent cohorts. The discovery and validation cohorts each included consecutive AMI patients admitted to intensive care units. The blood glucose and hemoglobin A1c levels were used to calculate mSHR. The primary outcome was the occurrence of ECC during the hospital stay.

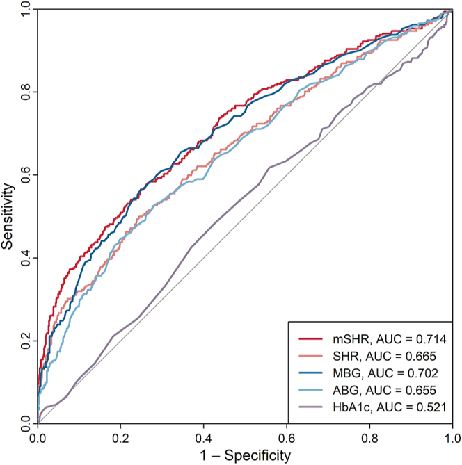
Results: In the discovery cohort, ECC occurred in 322 (23.9%) of 1,349 patients, and mSHR was independently associated with ECC (adjusted odds ratio: 1.164; 95% confidence interval (CI): 1.124-1.206; P < 0.001). Machine learning approaches identified mSHR as the most important feature. In the validation cohort, 303 patients were divided into three groups according to mSHR tertiles. Modified Poisson regression analysis showed that patients with mSHR ≥ 1.202 (tertile 3) had a significantly higher risk of ECC compared to those in tertiles 1-2 (adjusted risk ratio: 2.337; 95% CI: 1.479-3.693; P < 0.001). The results of multivariate analysis were consistent before and after applying inverse probability of treatment weighting.

Conclusion: In AMI patients, mSHR is an accurate risk-stratification tool for identifying ECC. It may provide exploratory evidence to optimize current glycemic control strategies and early discharge pathways.

Abstract Image

Abstract Image

Abstract Image

改良应激性高血糖比可识别急性心肌梗死患者早期心血管并发症的风险。
背景:应激性高血糖比(SHR)与急性心肌梗死(AMI)患者的不良预后相关。修正SHR (mSHR)定义为入院前24小时内观察到的最高SHR。然而,mSHR与AMI后早期心血管并发症(ECC)之间的关系尚不清楚。方法:这项多中心观察性研究纳入了两个独立队列的回顾性和前瞻性分析。发现和验证队列均包括连续入住重症监护病房的AMI患者。用血糖和糖化血红蛋白水平计算mSHR。主要观察指标是住院期间发生ECC的情况。结果:在发现队列中,1349例患者中有322例(23.9%)发生ECC, mSHR与ECC独立相关(校正优势比:1.164;95%可信区间[CI]: 1.124-1.206; P < 0.001)。机器学习方法将mSHR识别为最重要的特征。在验证队列中,303例患者根据mSHR位分为三组。修正泊松回归分析显示,mSHR bb0 1.202 (tertile 3)的患者发生ECC的风险显著高于tertile 1-2(校正风险比:2.337;95% CI: 1.479 ~ 3.693; P < 0.001)。应用逆概率处理加权前后的多变量分析结果一致。结论:在AMI患者中,mSHR是识别ECC的准确风险分层工具。这可能为优化当前血糖控制策略和早期出院途径提供探索性证据。
本文章由计算机程序翻译,如有差异,请以英文原文为准。
求助全文
约1分钟内获得全文 求助全文
来源期刊
Endocrine Connections
Endocrine Connections Medicine-Internal Medicine
CiteScore
5.00
自引率
3.40%
发文量
361
审稿时长
6 weeks
期刊介绍: Endocrine Connections publishes original quality research and reviews in all areas of endocrinology, including papers that deal with non-classical tissues as source or targets of hormones and endocrine papers that have relevance to endocrine-related and intersecting disciplines and the wider biomedical community.
×
引用
GB/T 7714-2015
复制
MLA
复制
APA
复制
导出至
BibTeX EndNote RefMan NoteFirst NoteExpress
×
提示
您的信息不完整,为了账户安全,请先补充。
现在去补充
×
提示
您因"违规操作"
具体请查看互助需知
我知道了
×
提示
确定
请完成安全验证×
copy
已复制链接
快去分享给好友吧!
我知道了
右上角分享
点击右上角分享
0
联系我们:info@booksci.cn Book学术提供免费学术资源搜索服务,方便国内外学者检索中英文文献。致力于提供最便捷和优质的服务体验。 Copyright © 2023 布克学术 All rights reserved.
京ICP备2023020795号-1
ghs 京公网安备 11010802042870号
Book学术文献互助
Book学术文献互助群
群 号:604180095
Book学术官方微信