Is evaluation of cortisol after dexamethasone suppression test enough? Analysis of steroid profile after dexamethasone suppression test using tandem mass spectrometry.

IF 2.8 3区 医学 Q3 ENDOCRINOLOGY & METABOLISM
Endocrine Connections Pub Date : 2025-09-04 Print Date: 2025-09-01 DOI:10.1530/EC-25-0281
Tomas Brutvan, Marcela Kotasova, Adela Krausova, Jarmila Krizova, Otakar Psenicka, Jan Sevcik, Martin Sevcik, Hana Vitkova, Jana Jezkova
{"title":"Is evaluation of cortisol after dexamethasone suppression test enough? Analysis of steroid profile after dexamethasone suppression test using tandem mass spectrometry.","authors":"Tomas Brutvan, Marcela Kotasova, Adela Krausova, Jarmila Krizova, Otakar Psenicka, Jan Sevcik, Martin Sevcik, Hana Vitkova, Jana Jezkova","doi":"10.1530/EC-25-0281","DOIUrl":null,"url":null,"abstract":"<p><strong>Introduction: </strong>The overnight dexamethasone suppression test (DST) is recommended for the initial testing of Cushing's syndrome. Simultaneous measurement of dexamethasone and cortisol is recommended. This study aimed to determine the cutoff value for dexamethasone measured in DST analyzed via liquid chromatography tandem mass spectrometry (2D-LC-MS/MS) and to assess whether analysis of adrenal steroids other than cortisol may improve diagnostic accuracy.</p><p><strong>Methods: </strong>A prospective study was conducted including patients with adrenal incidentalomas (n = 55), pituitary incidentalomas and symptoms of Cushing's disease (n = 18), and healthy controls (n = 100) undergoing DST. Plasma levels of ten steroids and dexamethasone were determined via 2D-LC-MS/MS, while cortisol levels were also determined via a chemiluminescence immunoassay.</p><p><strong>Results: </strong>The lower 2.5th percentile of plasma dexamethasone in the control group (cortisol level <50 nmol/L) was 3.48 nmol/L, which was set as the cutoff. In the subgroup of patients with adrenal incidentalomas, regardless of the results of DST, subjects exhibited identical changes in the basal adrenal steroid profile: increased 11-deoxycortisol and decreased DHEA and DHEAS levels. After 1 mg dexamethasone administration, cortisol and cortisone levels increased, while decreased androstenedione and 17-OHP levels were detected. Statistically significant changes were found in the subgroup of patients with pituitary incidentalomas: increased levels of 11-deoxycortisol, plasma cortisol, cortisone, and androstenedione were observed only in those with serum cortisol levels >50 nmol/L. Based on the ROC curves, none of the steroid hormones exhibited higher specificity than cortisol.</p><p><strong>Conclusion: </strong>Simultaneous measurement of cortisol and dexamethasone increases DST specificity. The cutoff value for dexamethasone was set at 3.48 nmol/L. None of the adrenal steroids in the DST demonstrated increased specificity; thus, a cortisol concentration <50 nmol/L remains the gold standard for ruling out Cushing's syndrome.</p>","PeriodicalId":11634,"journal":{"name":"Endocrine Connections","volume":" ","pages":""},"PeriodicalIF":2.8000,"publicationDate":"2025-09-04","publicationTypes":"Journal Article","fieldsOfStudy":null,"isOpenAccess":false,"openAccessPdf":"https://www.ncbi.nlm.nih.gov/pmc/articles/PMC12412285/pdf/","citationCount":"0","resultStr":null,"platform":"Semanticscholar","paperid":null,"PeriodicalName":"Endocrine Connections","FirstCategoryId":"3","ListUrlMain":"https://doi.org/10.1530/EC-25-0281","RegionNum":3,"RegionCategory":"医学","ArticlePicture":[],"TitleCN":null,"AbstractTextCN":null,"PMCID":null,"EPubDate":"2025/9/1 0:00:00","PubModel":"Print","JCR":"Q3","JCRName":"ENDOCRINOLOGY & METABOLISM","Score":null,"Total":0}
引用次数: 0

Abstract

Introduction: The overnight dexamethasone suppression test (DST) is recommended for the initial testing of Cushing's syndrome. Simultaneous measurement of dexamethasone and cortisol is recommended. This study aimed to determine the cutoff value for dexamethasone measured in DST analyzed via liquid chromatography tandem mass spectrometry (2D-LC-MS/MS) and to assess whether analysis of adrenal steroids other than cortisol may improve diagnostic accuracy.

Methods: A prospective study was conducted including patients with adrenal incidentalomas (n = 55), pituitary incidentalomas and symptoms of Cushing's disease (n = 18), and healthy controls (n = 100) undergoing DST. Plasma levels of ten steroids and dexamethasone were determined via 2D-LC-MS/MS, while cortisol levels were also determined via a chemiluminescence immunoassay.

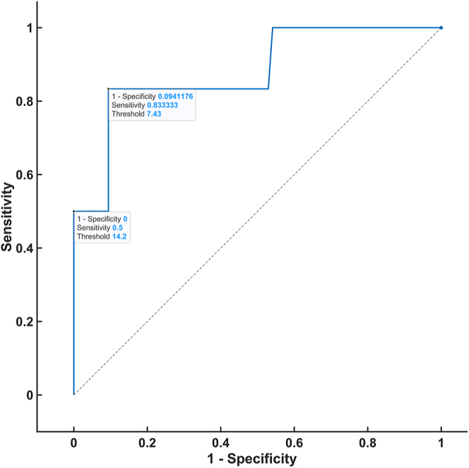
Results: The lower 2.5th percentile of plasma dexamethasone in the control group (cortisol level <50 nmol/L) was 3.48 nmol/L, which was set as the cutoff. In the subgroup of patients with adrenal incidentalomas, regardless of the results of DST, subjects exhibited identical changes in the basal adrenal steroid profile: increased 11-deoxycortisol and decreased DHEA and DHEAS levels. After 1 mg dexamethasone administration, cortisol and cortisone levels increased, while decreased androstenedione and 17-OHP levels were detected. Statistically significant changes were found in the subgroup of patients with pituitary incidentalomas: increased levels of 11-deoxycortisol, plasma cortisol, cortisone, and androstenedione were observed only in those with serum cortisol levels >50 nmol/L. Based on the ROC curves, none of the steroid hormones exhibited higher specificity than cortisol.

Conclusion: Simultaneous measurement of cortisol and dexamethasone increases DST specificity. The cutoff value for dexamethasone was set at 3.48 nmol/L. None of the adrenal steroids in the DST demonstrated increased specificity; thus, a cortisol concentration <50 nmol/L remains the gold standard for ruling out Cushing's syndrome.

Abstract Image

Abstract Image

Abstract Image

地塞米松抑制试验后的皮质醇评价是否足够?地塞米松抑制试验后类固醇谱的串联质谱分析。
推荐采用地塞米松抑制试验(DST)作为库欣综合征的初步检测。建议同时测量地塞米松和皮质醇。本研究旨在通过液相色谱串联质谱分析(2D-LC-MS/MS)确定DST测量地塞米松的截止值,并评估除皮质醇外的其他肾上腺类固醇分析是否可以提高诊断准确性。方法:前瞻性研究纳入有肾上腺偶发瘤(55例)、垂体偶发瘤和库欣病症状的患者(18例)以及接受DST的健康对照(100例)。通过2D-LC-MS/MS测定血浆中10种类固醇和地塞米松的水平,同时通过化学发光免疫分析法测定皮质醇水平。结果:对照组血浆地塞米松水平(皮质醇水平小于50 nmol/l)的下2.5百分位数为3.48 nmol/l,以其为临界值。在肾上腺偶发瘤患者亚组中,无论DST结果如何,受试者在基础肾上腺类固醇谱中表现出相同的变化:11-脱氧皮质醇升高;DHEA和DHEAS水平降低给药1 mg地塞米松后,皮质醇和可的松水平升高,雄烯二酮和17-OHP水平下降。在垂体偶发瘤患者亚组中发现有统计学意义的变化:仅在血清皮质醇水平为50 nmol/l的患者中观察到11-脱氧皮质醇、血浆皮质醇、可的松和雄烯二酮水平升高。根据ROC曲线,没有一种类固醇激素比皮质醇表现出更高的特异性。结论:同时测定皮质醇和地塞米松可提高DST特异性。地塞米松的截止值设为3.48 nmol/l。在DST中没有肾上腺类固醇显示出增加的特异性;因此,皮质醇浓度小于50 nmol/l仍然是排除库欣综合征的金标准。
本文章由计算机程序翻译,如有差异,请以英文原文为准。
求助全文
约1分钟内获得全文 求助全文
来源期刊
Endocrine Connections
Endocrine Connections Medicine-Internal Medicine
CiteScore
5.00
自引率
3.40%
发文量
361
审稿时长
6 weeks
期刊介绍: Endocrine Connections publishes original quality research and reviews in all areas of endocrinology, including papers that deal with non-classical tissues as source or targets of hormones and endocrine papers that have relevance to endocrine-related and intersecting disciplines and the wider biomedical community.
×
引用
GB/T 7714-2015
复制
MLA
复制
APA
复制
导出至
BibTeX EndNote RefMan NoteFirst NoteExpress
×
提示
您的信息不完整,为了账户安全,请先补充。
现在去补充
×
提示
您因"违规操作"
具体请查看互助需知
我知道了
×
提示
确定
请完成安全验证×
copy
已复制链接
快去分享给好友吧!
我知道了
右上角分享
点击右上角分享
0
联系我们:info@booksci.cn Book学术提供免费学术资源搜索服务,方便国内外学者检索中英文文献。致力于提供最便捷和优质的服务体验。 Copyright © 2023 布克学术 All rights reserved.
京ICP备2023020795号-1
ghs 京公网安备 11010802042870号
Book学术文献互助
Book学术文献互助群
群 号:604180095
Book学术官方微信