Cardiac disease in patients with vasculitis.

IF 3.7 2区 医学 Q1 CARDIAC & CARDIOVASCULAR SYSTEMS
Clinical Research in Cardiology Pub Date : 2025-09-01 Epub Date: 2025-08-25 DOI:10.1007/s00392-025-02728-y
Leonhard Binzenhöfer, Katharina Strauß, Linus Seifert, Inas Saleh, Marie Scherzer, Julia Höpler, Didzis Gailis, Christina Gebhard, Julia Lichtnekert, Fabian Ullrich, Delila Singh, Torben Sonneck, Matthias Thaler, Sebastian Zimmer, Steffen Massberg, Holger Thiele, Valentin Sebastian Schäfer, Georg Nickenig, Michael Czihal, Hendrik Schulze-Koops, Enzo Lüsebrink
{"title":"Cardiac disease in patients with vasculitis.","authors":"Leonhard Binzenhöfer, Katharina Strauß, Linus Seifert, Inas Saleh, Marie Scherzer, Julia Höpler, Didzis Gailis, Christina Gebhard, Julia Lichtnekert, Fabian Ullrich, Delila Singh, Torben Sonneck, Matthias Thaler, Sebastian Zimmer, Steffen Massberg, Holger Thiele, Valentin Sebastian Schäfer, Georg Nickenig, Michael Czihal, Hendrik Schulze-Koops, Enzo Lüsebrink","doi":"10.1007/s00392-025-02728-y","DOIUrl":null,"url":null,"abstract":"<p><strong>Background: </strong>Cardiac involvement has been described in many forms of vasculitides and is associated with worse outcomes. However, data on the incidence of structural and arrhythmic heart disease is limited.</p><p><strong>Methods: </strong>For this single-center study, we recruited 191 patients with giant-cell arteritis (GCA, n = 109), Takayasu arteritis (TAK, n = 26), polyarteritis nodosa (PAN, n = 3), granulomatosis with polyangiitis (GPA, n = 38), or eosinophilic granulomatosis with polyangiitis (EGPA, n = 15) between August 2023 and January 2025. The primary study endpoint was the incidence of structural or arrhythmic heart disease after the diagnosis of vasculitis.</p><p><strong>Results: </strong>The demographic characteristics of patients diagnosed with vasculitis differed significantly between those with GCA, TAK, PAN, GPA, and EGPA. Arterial hypertension and dyslipidemia at baseline were more prevalent among patients with GCA, while chest pain and signs of congestion were more frequently reported by patients with EGPA. No significant difference between the five main subgroups were found regarding the incidence of documented arrhythmic diseases. Cardiac imaging was performed using echocardiography in 70% of the overall cohort and cardiac magnetic resonance (CMR) in 11%. CMR detected left ventricular systolic dysfunction and myocardial fibrosis in 33% and 40% of EGPA patients, respectively. All four cases of acute myocardial infarction occurred in patients with GCA. Among 19 GCA patients who underwent coronary angiography, 21.1% underwent percutaneous coronary intervention. In the EGPA group, coronary angiography was performed in 46.7% of patients, but none required percutaneous intervention. A substantial proportion of patients was treated with acetylsalicylic acid (50.3%), beta-blockers (41.9%), or ACE-inhibitors/AT1-receptor antagonists (60.2%).</p><p><strong>Conclusion: </strong>Severe cardiac complications occurred rarely, although cardiovascular risk factors, structural abnormalities, and arrhythmias affected a substantial proportion of patients with vasculitis, highlighting the potential benefit of systematic screening and multidisciplinary management.</p>","PeriodicalId":10474,"journal":{"name":"Clinical Research in Cardiology","volume":"114 9","pages":"1216-1231"},"PeriodicalIF":3.7000,"publicationDate":"2025-09-01","publicationTypes":"Journal Article","fieldsOfStudy":null,"isOpenAccess":false,"openAccessPdf":"https://www.ncbi.nlm.nih.gov/pmc/articles/PMC12408678/pdf/","citationCount":"0","resultStr":null,"platform":"Semanticscholar","paperid":null,"PeriodicalName":"Clinical Research in Cardiology","FirstCategoryId":"3","ListUrlMain":"https://doi.org/10.1007/s00392-025-02728-y","RegionNum":2,"RegionCategory":"医学","ArticlePicture":[],"TitleCN":null,"AbstractTextCN":null,"PMCID":null,"EPubDate":"2025/8/25 0:00:00","PubModel":"Epub","JCR":"Q1","JCRName":"CARDIAC & CARDIOVASCULAR SYSTEMS","Score":null,"Total":0}
引用次数: 0

Abstract

Background: Cardiac involvement has been described in many forms of vasculitides and is associated with worse outcomes. However, data on the incidence of structural and arrhythmic heart disease is limited.

Methods: For this single-center study, we recruited 191 patients with giant-cell arteritis (GCA, n = 109), Takayasu arteritis (TAK, n = 26), polyarteritis nodosa (PAN, n = 3), granulomatosis with polyangiitis (GPA, n = 38), or eosinophilic granulomatosis with polyangiitis (EGPA, n = 15) between August 2023 and January 2025. The primary study endpoint was the incidence of structural or arrhythmic heart disease after the diagnosis of vasculitis.

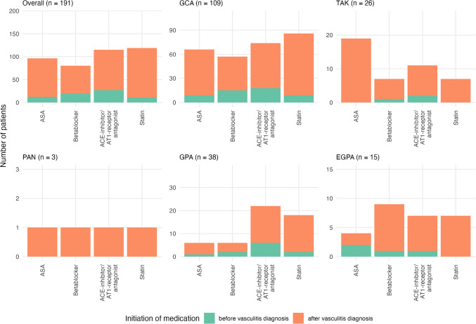
Results: The demographic characteristics of patients diagnosed with vasculitis differed significantly between those with GCA, TAK, PAN, GPA, and EGPA. Arterial hypertension and dyslipidemia at baseline were more prevalent among patients with GCA, while chest pain and signs of congestion were more frequently reported by patients with EGPA. No significant difference between the five main subgroups were found regarding the incidence of documented arrhythmic diseases. Cardiac imaging was performed using echocardiography in 70% of the overall cohort and cardiac magnetic resonance (CMR) in 11%. CMR detected left ventricular systolic dysfunction and myocardial fibrosis in 33% and 40% of EGPA patients, respectively. All four cases of acute myocardial infarction occurred in patients with GCA. Among 19 GCA patients who underwent coronary angiography, 21.1% underwent percutaneous coronary intervention. In the EGPA group, coronary angiography was performed in 46.7% of patients, but none required percutaneous intervention. A substantial proportion of patients was treated with acetylsalicylic acid (50.3%), beta-blockers (41.9%), or ACE-inhibitors/AT1-receptor antagonists (60.2%).

Conclusion: Severe cardiac complications occurred rarely, although cardiovascular risk factors, structural abnormalities, and arrhythmias affected a substantial proportion of patients with vasculitis, highlighting the potential benefit of systematic screening and multidisciplinary management.

Abstract Image

Abstract Image

Abstract Image

血管炎患者的心脏疾病。
背景:多种形式的血管增生都有涉及心脏的报道,并且与较差的预后相关。然而,有关结构性和心律失常心脏病发病率的数据有限。方法:在这项单中心研究中,我们在2023年8月至2025年1月期间招募了191例巨细胞动脉炎(GCA, n = 109)、高桥动脉炎(TAK, n = 26)、结节性多动脉炎(PAN, n = 3)、肉芽肿病合并多血管炎(GPA, n = 38)或嗜酸性肉芽肿病合并多血管炎(EGPA, n = 15)患者。主要研究终点是血管炎诊断后结构性或心律失常心脏病的发生率。结果:GCA、TAK、PAN、GPA和EGPA诊断为血管炎患者的人口学特征有显著差异。基线时动脉高血压和血脂异常在GCA患者中更为普遍,而胸痛和充血症状在EGPA患者中更为常见。在记录在案的心律失常疾病发生率方面,五个主要亚组之间没有发现显著差异。在整个队列中,70%的患者使用超声心动图进行心脏成像,11%的患者使用心脏磁共振(CMR)。CMR分别在33%和40%的EGPA患者中检测到左室收缩功能障碍和心肌纤维化。4例急性心肌梗死均发生在GCA患者。19例行冠状动脉造影的GCA患者中,21.1%行经皮冠状动脉介入治疗。在EGPA组中,46.7%的患者进行了冠状动脉造影,但没有患者需要经皮介入治疗。相当比例的患者接受了乙酰水杨酸(50.3%)、β受体阻滞剂(41.9%)或ace抑制剂/ at1受体拮抗剂(60.2%)的治疗。结论:尽管心血管危险因素、结构异常和心律失常影响了相当比例的血管炎患者,但严重的心脏并发症很少发生,这突出了系统筛查和多学科管理的潜在益处。
本文章由计算机程序翻译,如有差异,请以英文原文为准。
求助全文
约1分钟内获得全文 求助全文
来源期刊
Clinical Research in Cardiology
Clinical Research in Cardiology 医学-心血管系统
CiteScore
11.40
自引率
4.00%
发文量
140
审稿时长
4-8 weeks
期刊介绍: Clinical Research in Cardiology is an international journal for clinical cardiovascular research. It provides a forum for original and review articles as well as critical perspective articles. Articles are only accepted if they meet stringent scientific standards and have undergone peer review. The journal regularly receives articles from the field of clinical cardiology, angiology, as well as heart and vascular surgery. As the official journal of the German Cardiac Society, it gives a current and competent survey on the diagnosis and therapy of heart and vascular diseases.
×
引用
GB/T 7714-2015
复制
MLA
复制
APA
复制
导出至
BibTeX EndNote RefMan NoteFirst NoteExpress
×
提示
您的信息不完整,为了账户安全,请先补充。
现在去补充
×
提示
您因"违规操作"
具体请查看互助需知
我知道了
×
提示
确定
请完成安全验证×
copy
已复制链接
快去分享给好友吧!
我知道了
右上角分享
点击右上角分享
0
联系我们:info@booksci.cn Book学术提供免费学术资源搜索服务,方便国内外学者检索中英文文献。致力于提供最便捷和优质的服务体验。 Copyright © 2023 布克学术 All rights reserved.
京ICP备2023020795号-1
ghs 京公网安备 11010802042870号
Book学术文献互助
Book学术文献互助群
群 号:604180095
Book学术官方微信