Impact of Traditional Chinese Medicine therapy focused on strengthening the body on postoperative recurrence and metastasis prevention in stage IIIA non-small cell lung cancer: a real-world retrospective cohort study.

IF 5.7 3区 医学 Q1 INTEGRATIVE & COMPLEMENTARY MEDICINE
Ruoyan Qin, Yi Jiang, Liping Shen, Jie Qian, Yanlan Kang, Rui Fan, Lingshuang Liu
{"title":"Impact of Traditional Chinese Medicine therapy focused on strengthening the body on postoperative recurrence and metastasis prevention in stage IIIA non-small cell lung cancer: a real-world retrospective cohort study.","authors":"Ruoyan Qin, Yi Jiang, Liping Shen, Jie Qian, Yanlan Kang, Rui Fan, Lingshuang Liu","doi":"10.1186/s13020-025-01195-x","DOIUrl":null,"url":null,"abstract":"<p><strong>Background: </strong>This study aimed to evaluate the impact of Traditional Chinese Medicine (TCM) therapy focused on strengthening the body on postoperative recurrence and metastasis prevention in patients with stage IIIA non-small cell lung cancer (NSCLC).</p><p><strong>Methods: </strong>This retrospective cohort study analyzed real-world data from patients with stage IIIA NSCLC who underwent radical surgery between January 2016 and January 2022 at Longhua Hospital, Shanghai University of Traditional Chinese Medicine. Patients were classified into an exposed group, receiving adjuvant chemotherapy or radiotherapy combined with TCM therapy, and a non-exposed group, receiving only adjuvant chemotherapy or radiotherapy. The primary outcome was disease-free survival (DFS), while secondary endpoints included 1-year, 2-year, and 3-year DFS rates (DFSR).</p><p><strong>Results: </strong>A total of 700 patients were included, with 340 in the exposed group and 360 in the non-exposed group. After propensity score matching, the exposed group demonstrated a significantly longer median DFS compared to the non-exposed group (32.0 months [95% CI 24.0-38.0] vs. 17.0 months [95% CI 15.0-20.0], p < 0.001) and higher 1-year, 2-year, and 3-year DFS rates (78% vs. 63%, 56% vs. 38%, and 44% vs. 24%, respectively; p < 0.001). TCM therapy was associated with reduced recurrence and metastasis (HR = 0.58, 95% CI 0.48-0.70, p < 0.001). Subgroup analysis showed greater DFS benefits following TCM therapy in patients with N2 involvement and those over 65 years (both p < 0.05).</p><p><strong>Conclusions: </strong>TCM therapy focused on strengthening the body may prolong DFS and improve DFSR in postoperative stage IIIA NSCLC patients. However, further large-scale prospective studies are needed to validate these findings.</p>","PeriodicalId":10266,"journal":{"name":"Chinese Medicine","volume":"20 1","pages":"137"},"PeriodicalIF":5.7000,"publicationDate":"2025-08-29","publicationTypes":"Journal Article","fieldsOfStudy":null,"isOpenAccess":false,"openAccessPdf":"https://www.ncbi.nlm.nih.gov/pmc/articles/PMC12395714/pdf/","citationCount":"0","resultStr":null,"platform":"Semanticscholar","paperid":null,"PeriodicalName":"Chinese Medicine","FirstCategoryId":"3","ListUrlMain":"https://doi.org/10.1186/s13020-025-01195-x","RegionNum":3,"RegionCategory":"医学","ArticlePicture":[],"TitleCN":null,"AbstractTextCN":null,"PMCID":null,"EPubDate":"","PubModel":"","JCR":"Q1","JCRName":"INTEGRATIVE & COMPLEMENTARY MEDICINE","Score":null,"Total":0}
引用次数: 0

Abstract

Background: This study aimed to evaluate the impact of Traditional Chinese Medicine (TCM) therapy focused on strengthening the body on postoperative recurrence and metastasis prevention in patients with stage IIIA non-small cell lung cancer (NSCLC).

Methods: This retrospective cohort study analyzed real-world data from patients with stage IIIA NSCLC who underwent radical surgery between January 2016 and January 2022 at Longhua Hospital, Shanghai University of Traditional Chinese Medicine. Patients were classified into an exposed group, receiving adjuvant chemotherapy or radiotherapy combined with TCM therapy, and a non-exposed group, receiving only adjuvant chemotherapy or radiotherapy. The primary outcome was disease-free survival (DFS), while secondary endpoints included 1-year, 2-year, and 3-year DFS rates (DFSR).

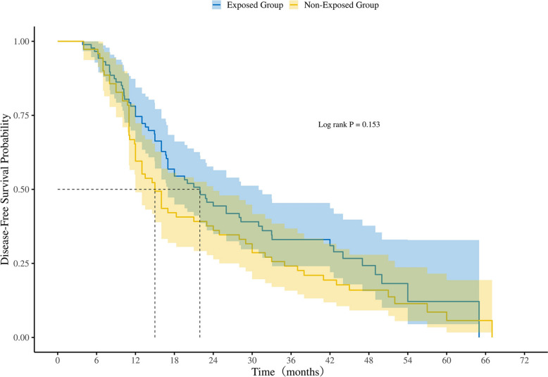
Results: A total of 700 patients were included, with 340 in the exposed group and 360 in the non-exposed group. After propensity score matching, the exposed group demonstrated a significantly longer median DFS compared to the non-exposed group (32.0 months [95% CI 24.0-38.0] vs. 17.0 months [95% CI 15.0-20.0], p < 0.001) and higher 1-year, 2-year, and 3-year DFS rates (78% vs. 63%, 56% vs. 38%, and 44% vs. 24%, respectively; p < 0.001). TCM therapy was associated with reduced recurrence and metastasis (HR = 0.58, 95% CI 0.48-0.70, p < 0.001). Subgroup analysis showed greater DFS benefits following TCM therapy in patients with N2 involvement and those over 65 years (both p < 0.05).

Conclusions: TCM therapy focused on strengthening the body may prolong DFS and improve DFSR in postoperative stage IIIA NSCLC patients. However, further large-scale prospective studies are needed to validate these findings.

Abstract Image

Abstract Image

Abstract Image

以健体为主的中药治疗对IIIA期非小细胞肺癌术后预防复发和转移的影响:一项现实世界回顾性队列研究
背景:本研究旨在评价以健体为主的中药治疗对IIIA期非小细胞肺癌(NSCLC)患者术后复发转移预防的影响。方法:本回顾性队列研究分析了2016年1月至2022年1月在上海中医药大学龙华医院接受根治性手术的IIIA期非小细胞肺癌患者的真实数据。将患者分为暴露组和非暴露组,暴露组接受辅助化疗或放疗并结合中医治疗,非暴露组仅接受辅助化疗或放疗。主要终点是无病生存期(DFS),次要终点包括1年、2年和3年的DFS率(DFSR)。结果:共纳入700例患者,其中暴露组340例,未暴露组360例。经倾向评分匹配后,暴露组的中位DFS明显长于未暴露组(32.0个月[95% CI 24.0-38.0] vs. 17.0个月[95% CI 15.0-20.0]。p结论:以强化身体为重点的中医药治疗可延长IIIA期NSCLC术后患者的DFS并改善DFSR。然而,需要进一步的大规模前瞻性研究来验证这些发现。
本文章由计算机程序翻译,如有差异,请以英文原文为准。
求助全文
约1分钟内获得全文 求助全文
来源期刊
Chinese Medicine
Chinese Medicine INTEGRATIVE & COMPLEMENTARY MEDICINE-PHARMACOLOGY & PHARMACY
CiteScore
7.90
自引率
4.10%
发文量
133
审稿时长
31 weeks
期刊介绍: Chinese Medicine is an open access, online journal publishing evidence-based, scientifically justified, and ethical research into all aspects of Chinese medicine. Areas of interest include recent advances in herbal medicine, clinical nutrition, clinical diagnosis, acupuncture, pharmaceutics, biomedical sciences, epidemiology, education, informatics, sociology, and psychology that are relevant and significant to Chinese medicine. Examples of research approaches include biomedical experimentation, high-throughput technology, clinical trials, systematic reviews, meta-analysis, sampled surveys, simulation, data curation, statistics, omics, translational medicine, and integrative methodologies. Chinese Medicine is a credible channel to communicate unbiased scientific data, information, and knowledge in Chinese medicine among researchers, clinicians, academics, and students in Chinese medicine and other scientific disciplines of medicine.
×
引用
GB/T 7714-2015
复制
MLA
复制
APA
复制
导出至
BibTeX EndNote RefMan NoteFirst NoteExpress
×
提示
您的信息不完整,为了账户安全,请先补充。
现在去补充
×
提示
您因"违规操作"
具体请查看互助需知
我知道了
×
提示
确定
请完成安全验证×
copy
已复制链接
快去分享给好友吧!
我知道了
右上角分享
点击右上角分享
0
联系我们:info@booksci.cn Book学术提供免费学术资源搜索服务,方便国内外学者检索中英文文献。致力于提供最便捷和优质的服务体验。 Copyright © 2023 布克学术 All rights reserved.
京ICP备2023020795号-1
ghs 京公网安备 11010802042870号
Book学术文献互助
Book学术文献互助群
群 号:604180095
Book学术官方微信