Effects of acupuncture versus moxibustion on functional dyspepsia: a randomized clinical trial.

IF 5.7 3区 医学 Q1 INTEGRATIVE & COMPLEMENTARY MEDICINE
Yangke Mao, Pan Zhang, Zhaoxuan He, Yuke Teng, Zilei Tian, Sha Yang, Kuan Fang, Wei Zhang, Yuting Wang, Tao Yin, Fang Zeng
{"title":"Effects of acupuncture versus moxibustion on functional dyspepsia: a randomized clinical trial.","authors":"Yangke Mao, Pan Zhang, Zhaoxuan He, Yuke Teng, Zilei Tian, Sha Yang, Kuan Fang, Wei Zhang, Yuting Wang, Tao Yin, Fang Zeng","doi":"10.1186/s13020-025-01187-x","DOIUrl":null,"url":null,"abstract":"<p><strong>Background: </strong>Functional dyspepsia (FD) is a prevalent gastrointestinal disorder, despite its high prevalence and impact on quality of life, effective treatments are limited. Acupuncture and moxibustion, two complementary therapies based on traditional Chinese medicine, have shown potential in alleviating FD symptoms. However, the differences of acupuncture and moxibustion in FD are unclear.</p><p><strong>Methods: </strong>A total of 144 eligible FD patients were enrolled and randomly assigned to either the acupuncture or moxibustion group to receive 20 treatment sessions. The primary outcome was the Short-Form Leeds Dyspepsia Questionnaire (SFLDQ) total score after 4 weeks of treatment. Secondary outcomes included SFLDQ symptom-specific score, Nepean Dyspepsia Life Quality Index etc. Linear mixed-effects model was used for analyses.</p><p><strong>Results: </strong>There was no difference in SFLDQ total score after treatment with acupuncture compared with moxibustion (difference, 0.08[95% CI -0.634 to 0.794], p = 0.82), despite both groups were effective. However, the results of the secondary outcomes showed that compared with moxibustion, acupuncture was more effective in alleviating epigastric pain (difference, -0.318[95% CI -0.056 to -0.579], p = 0.017) and anxiety mood (difference, -2.893[95% CI -0.419 to -5.367], p = .022). On the other hand, moxibustion was more effective than acupuncture in reducing post-prandial fullness (difference, -0.3[95% CI -0.551 to -0.048], p = .02). The incidence of adverse events was similar between the groups.</p><p><strong>Conclusions: </strong>Both the acupuncture and moxibustion groups showed significant improvement in FD symptoms. Although there were no significant differences between the groups at week 4 for the primary outcome, acupuncture exhibited greater improvement in addressing epigastric pain and reduction in anxiety symptoms while moxibustion demonstrated a larger reduction in improving post-prandial fullness. Choice of acupuncture and moxibustion should be tailored to the primary symptoms of FD patients to achieve optimal efficacy.</p><p><strong>Trial registration: </strong>Chinese Clinical Trial Registry (ID: ChiCTR2100049496).</p>","PeriodicalId":10266,"journal":{"name":"Chinese Medicine","volume":"20 1","pages":"131"},"PeriodicalIF":5.7000,"publicationDate":"2025-08-22","publicationTypes":"Journal Article","fieldsOfStudy":null,"isOpenAccess":false,"openAccessPdf":"https://www.ncbi.nlm.nih.gov/pmc/articles/PMC12372385/pdf/","citationCount":"0","resultStr":null,"platform":"Semanticscholar","paperid":null,"PeriodicalName":"Chinese Medicine","FirstCategoryId":"3","ListUrlMain":"https://doi.org/10.1186/s13020-025-01187-x","RegionNum":3,"RegionCategory":"医学","ArticlePicture":[],"TitleCN":null,"AbstractTextCN":null,"PMCID":null,"EPubDate":"","PubModel":"","JCR":"Q1","JCRName":"INTEGRATIVE & COMPLEMENTARY MEDICINE","Score":null,"Total":0}
引用次数: 0

Abstract

Background: Functional dyspepsia (FD) is a prevalent gastrointestinal disorder, despite its high prevalence and impact on quality of life, effective treatments are limited. Acupuncture and moxibustion, two complementary therapies based on traditional Chinese medicine, have shown potential in alleviating FD symptoms. However, the differences of acupuncture and moxibustion in FD are unclear.

Methods: A total of 144 eligible FD patients were enrolled and randomly assigned to either the acupuncture or moxibustion group to receive 20 treatment sessions. The primary outcome was the Short-Form Leeds Dyspepsia Questionnaire (SFLDQ) total score after 4 weeks of treatment. Secondary outcomes included SFLDQ symptom-specific score, Nepean Dyspepsia Life Quality Index etc. Linear mixed-effects model was used for analyses.

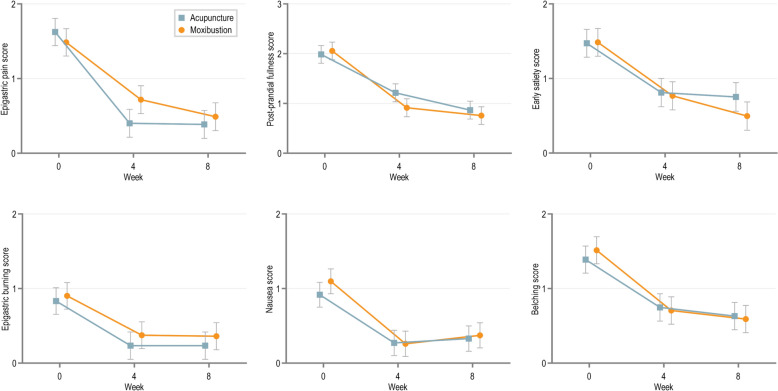
Results: There was no difference in SFLDQ total score after treatment with acupuncture compared with moxibustion (difference, 0.08[95% CI -0.634 to 0.794], p = 0.82), despite both groups were effective. However, the results of the secondary outcomes showed that compared with moxibustion, acupuncture was more effective in alleviating epigastric pain (difference, -0.318[95% CI -0.056 to -0.579], p = 0.017) and anxiety mood (difference, -2.893[95% CI -0.419 to -5.367], p = .022). On the other hand, moxibustion was more effective than acupuncture in reducing post-prandial fullness (difference, -0.3[95% CI -0.551 to -0.048], p = .02). The incidence of adverse events was similar between the groups.

Conclusions: Both the acupuncture and moxibustion groups showed significant improvement in FD symptoms. Although there were no significant differences between the groups at week 4 for the primary outcome, acupuncture exhibited greater improvement in addressing epigastric pain and reduction in anxiety symptoms while moxibustion demonstrated a larger reduction in improving post-prandial fullness. Choice of acupuncture and moxibustion should be tailored to the primary symptoms of FD patients to achieve optimal efficacy.

Trial registration: Chinese Clinical Trial Registry (ID: ChiCTR2100049496).

Abstract Image

Abstract Image

Abstract Image

针刺与艾灸对功能性消化不良的影响:一项随机临床试验。
背景:功能性消化不良(FD)是一种常见的胃肠道疾病,尽管其发病率高且影响生活质量,但有效的治疗方法有限。针刺和艾灸作为两种基于中医的辅助疗法,已显示出缓解FD症状的潜力。然而,针灸治疗FD的差异尚不清楚。方法:选取144例符合条件的FD患者,随机分为针刺组和艾灸组,接受20个疗程的治疗。主要终点是治疗4周后的利兹消化不良问卷(SFLDQ)总分。次要结局包括SFLDQ症状特异性评分、Nepean消化不良生活质量指数等。采用线性混合效应模型进行分析。结果:针刺治疗与艾灸治疗后SFLDQ总分差异无统计学意义(差异0.08[95% CI -0.634 ~ 0.794], p = 0.82),但两组均有效。然而,次要结局结果显示,与艾灸相比,针刺在缓解胃脘痛(差异为-0.318[95% CI -0.056 ~ -0.579], p = 0.017)和焦虑情绪(差异为-2.893[95% CI -0.419 ~ -5.367], p = 0.022)方面更有效。另一方面,艾灸在减少餐后饱腹感方面比针刺更有效(差异为-0.3[95% CI -0.551 ~ -0.048], p = 0.02)。两组间不良事件发生率相似。结论:针刺组和艾灸组对FD症状均有显著改善。虽然两组在第4周的主要结果没有显著差异,但针灸在解决胃脘痛和减轻焦虑症状方面表现出更大的改善,而艾灸在改善餐后饱腹感方面表现出更大的改善。针对FD患者的主要症状选择合适的针灸方法,以达到最佳疗效。试验注册:中国临床试验注册中心(ID: ChiCTR2100049496)。
本文章由计算机程序翻译,如有差异,请以英文原文为准。
求助全文
约1分钟内获得全文 求助全文
来源期刊
Chinese Medicine
Chinese Medicine INTEGRATIVE & COMPLEMENTARY MEDICINE-PHARMACOLOGY & PHARMACY
CiteScore
7.90
自引率
4.10%
发文量
133
审稿时长
31 weeks
期刊介绍: Chinese Medicine is an open access, online journal publishing evidence-based, scientifically justified, and ethical research into all aspects of Chinese medicine. Areas of interest include recent advances in herbal medicine, clinical nutrition, clinical diagnosis, acupuncture, pharmaceutics, biomedical sciences, epidemiology, education, informatics, sociology, and psychology that are relevant and significant to Chinese medicine. Examples of research approaches include biomedical experimentation, high-throughput technology, clinical trials, systematic reviews, meta-analysis, sampled surveys, simulation, data curation, statistics, omics, translational medicine, and integrative methodologies. Chinese Medicine is a credible channel to communicate unbiased scientific data, information, and knowledge in Chinese medicine among researchers, clinicians, academics, and students in Chinese medicine and other scientific disciplines of medicine.
×
引用
GB/T 7714-2015
复制
MLA
复制
APA
复制
导出至
BibTeX EndNote RefMan NoteFirst NoteExpress
×
提示
您的信息不完整,为了账户安全,请先补充。
现在去补充
×
提示
您因"违规操作"
具体请查看互助需知
我知道了
×
提示
确定
请完成安全验证×
copy
已复制链接
快去分享给好友吧!
我知道了
右上角分享
点击右上角分享
0
联系我们:info@booksci.cn Book学术提供免费学术资源搜索服务,方便国内外学者检索中英文文献。致力于提供最便捷和优质的服务体验。 Copyright © 2023 布克学术 All rights reserved.
京ICP备2023020795号-1
ghs 京公网安备 11010802042870号
Book学术文献互助
Book学术文献互助群
群 号:604180095
Book学术官方微信