Coagulation markers as independent predictors of colorectal cancer aggressiveness.

IF 2.5 3区 医学 Q2 GASTROENTEROLOGY & HEPATOLOGY
Hanaa Ali El-Sayed, Doaa H Sakr, Mostafa Abdelhakiem, Mohamed Awad Ebrahim, Maha Othman, Hanan Azzam
{"title":"Coagulation markers as independent predictors of colorectal cancer aggressiveness.","authors":"Hanaa Ali El-Sayed, Doaa H Sakr, Mostafa Abdelhakiem, Mohamed Awad Ebrahim, Maha Othman, Hanan Azzam","doi":"10.1186/s12876-025-04249-4","DOIUrl":null,"url":null,"abstract":"","PeriodicalId":9129,"journal":{"name":"BMC Gastroenterology","volume":"25 1","pages":"634"},"PeriodicalIF":2.5000,"publicationDate":"2025-09-02","publicationTypes":"Journal Article","fieldsOfStudy":null,"isOpenAccess":false,"openAccessPdf":"https://www.ncbi.nlm.nih.gov/pmc/articles/PMC12403284/pdf/","citationCount":"0","resultStr":null,"platform":"Semanticscholar","paperid":null,"PeriodicalName":"BMC Gastroenterology","FirstCategoryId":"3","ListUrlMain":"https://doi.org/10.1186/s12876-025-04249-4","RegionNum":3,"RegionCategory":"医学","ArticlePicture":[],"TitleCN":null,"AbstractTextCN":null,"PMCID":null,"EPubDate":"","PubModel":"","JCR":"Q2","JCRName":"GASTROENTEROLOGY & HEPATOLOGY","Score":null,"Total":0}
引用次数: 0

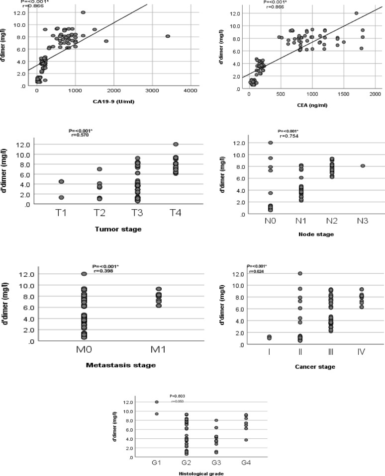
Abstract Image

Abstract Image

凝血指标作为结直肠癌侵袭性的独立预测指标。
本文章由计算机程序翻译,如有差异,请以英文原文为准。
求助全文
约1分钟内获得全文 求助全文
来源期刊
BMC Gastroenterology
BMC Gastroenterology 医学-胃肠肝病学
CiteScore
4.20
自引率
0.00%
发文量
465
审稿时长
6 months
期刊介绍: BMC Gastroenterology is an open access, peer-reviewed journal that considers articles on all aspects of the prevention, diagnosis and management of gastrointestinal and hepatobiliary disorders, as well as related molecular genetics, pathophysiology, and epidemiology.
×
引用
GB/T 7714-2015
复制
MLA
复制
APA
复制
导出至
BibTeX EndNote RefMan NoteFirst NoteExpress
×
提示
您的信息不完整,为了账户安全,请先补充。
现在去补充
×
提示
您因"违规操作"
具体请查看互助需知
我知道了
×
提示
确定
请完成安全验证×
copy
已复制链接
快去分享给好友吧!
我知道了
右上角分享
点击右上角分享
0
联系我们:info@booksci.cn Book学术提供免费学术资源搜索服务,方便国内外学者检索中英文文献。致力于提供最便捷和优质的服务体验。 Copyright © 2023 布克学术 All rights reserved.
京ICP备2023020795号-1
ghs 京公网安备 11010802042870号
Book学术文献互助
Book学术文献互助群
群 号:604180095
Book学术官方微信