Prevalence and clinical significance of evacuation disorders in patients with low anterior resection syndrome.

IF 2.1 Q2 GASTROENTEROLOGY & HEPATOLOGY
Annals of Coloproctology Pub Date : 2025-08-01 Epub Date: 2025-08-25 DOI:10.3393/ac.2024.00934.0133
Yuko Homma, Toshiki Mimura, Koji Koinuma, Hisanaga Horie, Naohiro Sata
{"title":"Prevalence and clinical significance of evacuation disorders in patients with low anterior resection syndrome.","authors":"Yuko Homma, Toshiki Mimura, Koji Koinuma, Hisanaga Horie, Naohiro Sata","doi":"10.3393/ac.2024.00934.0133","DOIUrl":null,"url":null,"abstract":"<p><strong>Purpose: </strong>Low anterior resection syndrome (LARS) manifests with evacuation disorder symptoms and continence problems. However, no prior study has focused on evacuation disorders in patients with LARS. This study investigated the prevalence of evacuation disorders and their association with the LARS score.</p><p><strong>Methods: </strong>This study included patients with defecation per anus at the time of the survey, which was conducted between November 2020 and April 2021. These patients had undergone anus-preserving surgery for rectal tumors between 2014 and 2019 at a tertiary university hospital. The severity of evacuation disorders and LARS was evaluated using the Constipation Scoring System and the LARS score, respectively. The primary endpoint was the prevalence of evacuation disorders, defined as evacuation difficulty, feeling of incomplete evacuation, and abnormally long time on the toilet. The secondary endpoints were the associations between these symptoms and the LARS score.</p><p><strong>Results: </strong>Of 332 eligible patients, 238 (71.7%) completed the questionnaire. The overall prevalence of evacuation disorders was 48.3%. The rates of feeling incomplete evacuation, evacuation difficulty, and prolonged time on the toilet were 45.6%, 15.5%, and 8.4%, respectively. Patients with minor or major LARS had a significantly higher prevalence of evacuation disorders than those with no LARS, particularly regarding feeling incomplete evacuation.</p><p><strong>Conclusions: </strong>Evacuation disorders were present in 48.3% of patients following anus-preserving surgery. Greater severity of LARS was associated with a higher prevalence of evacuation disorders, especially a feeling of incomplete evacuation. Patients should be informed about the potential for both evacuation disorders and continence-related symptoms following anus-preserving surgery.</p>","PeriodicalId":8267,"journal":{"name":"Annals of Coloproctology","volume":"41 4","pages":"271-278"},"PeriodicalIF":2.1000,"publicationDate":"2025-08-01","publicationTypes":"Journal Article","fieldsOfStudy":null,"isOpenAccess":false,"openAccessPdf":"https://www.ncbi.nlm.nih.gov/pmc/articles/PMC12399313/pdf/","citationCount":"0","resultStr":null,"platform":"Semanticscholar","paperid":null,"PeriodicalName":"Annals of Coloproctology","FirstCategoryId":"1085","ListUrlMain":"https://doi.org/10.3393/ac.2024.00934.0133","RegionNum":0,"RegionCategory":null,"ArticlePicture":[],"TitleCN":null,"AbstractTextCN":null,"PMCID":null,"EPubDate":"2025/8/25 0:00:00","PubModel":"Epub","JCR":"Q2","JCRName":"GASTROENTEROLOGY & HEPATOLOGY","Score":null,"Total":0}
引用次数: 0

Abstract

Purpose: Low anterior resection syndrome (LARS) manifests with evacuation disorder symptoms and continence problems. However, no prior study has focused on evacuation disorders in patients with LARS. This study investigated the prevalence of evacuation disorders and their association with the LARS score.

Methods: This study included patients with defecation per anus at the time of the survey, which was conducted between November 2020 and April 2021. These patients had undergone anus-preserving surgery for rectal tumors between 2014 and 2019 at a tertiary university hospital. The severity of evacuation disorders and LARS was evaluated using the Constipation Scoring System and the LARS score, respectively. The primary endpoint was the prevalence of evacuation disorders, defined as evacuation difficulty, feeling of incomplete evacuation, and abnormally long time on the toilet. The secondary endpoints were the associations between these symptoms and the LARS score.

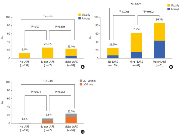
Results: Of 332 eligible patients, 238 (71.7%) completed the questionnaire. The overall prevalence of evacuation disorders was 48.3%. The rates of feeling incomplete evacuation, evacuation difficulty, and prolonged time on the toilet were 45.6%, 15.5%, and 8.4%, respectively. Patients with minor or major LARS had a significantly higher prevalence of evacuation disorders than those with no LARS, particularly regarding feeling incomplete evacuation.

Conclusions: Evacuation disorders were present in 48.3% of patients following anus-preserving surgery. Greater severity of LARS was associated with a higher prevalence of evacuation disorders, especially a feeling of incomplete evacuation. Patients should be informed about the potential for both evacuation disorders and continence-related symptoms following anus-preserving surgery.

Abstract Image

Abstract Image

Abstract Image

下前切除术综合征患者排空障碍的患病率及临床意义。
目的:低位前切除术综合征(LARS)表现为排空障碍症状和失禁问题。然而,之前没有研究关注LARS患者的排空障碍。本研究调查了排空障碍的患病率及其与LARS评分的关系。方法:本研究纳入了调查时肛门排便的患者,调查时间为2020年11月至2021年4月。这些患者在2014年至2019年期间在一家三级大学医院接受了直肠肿瘤保肛手术。使用便秘评分系统和LARS评分分别评估排便障碍和LARS的严重程度。主要终点是排便障碍的患病率,定义为排便困难、排便不完全的感觉和上厕所时间异常长。次要终点是这些症状与LARS评分之间的关联。结果:332例患者中,238例(71.7%)完成了问卷调查。疏散障碍的总体患病率为48.3%。感觉排便不完全、排便困难和排便时间延长的比例分别为45.6%、15.5%和8.4%。轻度或重度LARS患者的排空障碍发生率明显高于无LARS患者,尤其是感觉排空不完全方面。结论:48.3%的保肛手术患者存在排便障碍。LARS的严重程度越高,排便障碍的发生率越高,尤其是排便不完全的感觉。应告知患者保留肛门手术后可能出现的排泄障碍和失禁相关症状。
本文章由计算机程序翻译,如有差异,请以英文原文为准。
求助全文
约1分钟内获得全文 求助全文
来源期刊
CiteScore
3.30
自引率
3.20%
发文量
73
×
引用
GB/T 7714-2015
复制
MLA
复制
APA
复制
导出至
BibTeX EndNote RefMan NoteFirst NoteExpress
×
提示
您的信息不完整,为了账户安全,请先补充。
现在去补充
×
提示
您因"违规操作"
具体请查看互助需知
我知道了
×
提示
确定
请完成安全验证×
copy
已复制链接
快去分享给好友吧!
我知道了
右上角分享
点击右上角分享
0
联系我们:info@booksci.cn Book学术提供免费学术资源搜索服务,方便国内外学者检索中英文文献。致力于提供最便捷和优质的服务体验。 Copyright © 2023 布克学术 All rights reserved.
京ICP备2023020795号-1
ghs 京公网安备 11010802042870号
Book学术文献互助
Book学术文献互助群
群 号:604180095
Book学术官方微信