The bacterial etiology and antimicrobial susceptibility of lower respiratory tract infections in Vietnam.

IF 3.6 2区 医学 Q1 MICROBIOLOGY
Tran Thi Ngoc Dung, Chau Vinh, Pham Hong Anh, Vo Kim Phuong Linh, Ha Thanh Tuyen, Pham Thanh Tam, Nguyen Phu Huong Lan, Truong Thien Phu, Nguyen Su Minh Tuyet, Pham Hong Nhung, Van Dinh Trang, Nguyen Thi Van, Quynh Nguyen, Nguyen Thi Thanh, Thomas Kesteman, H Rogier van Doorn, Guy Thwaites, Pham Thanh Duy
{"title":"The bacterial etiology and antimicrobial susceptibility of lower respiratory tract infections in Vietnam.","authors":"Tran Thi Ngoc Dung, Chau Vinh, Pham Hong Anh, Vo Kim Phuong Linh, Ha Thanh Tuyen, Pham Thanh Tam, Nguyen Phu Huong Lan, Truong Thien Phu, Nguyen Su Minh Tuyet, Pham Hong Nhung, Van Dinh Trang, Nguyen Thi Van, Quynh Nguyen, Nguyen Thi Thanh, Thomas Kesteman, H Rogier van Doorn, Guy Thwaites, Pham Thanh Duy","doi":"10.1186/s12941-025-00818-3","DOIUrl":null,"url":null,"abstract":"<p><strong>Background: </strong>Lower respiratory tract infection (LRTI) remains the leading infectious cause of morbidity and mortality globally. Key bacterial pathogens include Acinetobacter baumannii, Pseudomonas aeruginosa, Klebsiella pneumoniae, Escherichia coli, Staphylococcus aureus and Streptococcus pneumoniae. This study examined the prevalence and antimicrobial resistance patterns of major bacterial pathogens from community- and hospital-acquired LRTIs across six major hospitals in Vietnam.</p><p><strong>Methods: </strong>Between January 2022 and May 2023, 1000 bacterial isolates were collected through an isolate-based surveillance. Species identification and antimicrobial susceptibility testing were performed by VITEK-2/Phoenix M50, with MICs determined by E-test or broth microdilution. Multiplex PCRs were used to detect common AMR genes.</p><p><strong>Results: </strong>A. baumannii (49.6%), P. aeruginosa (21%), K. pneumoniae (18.6%) were predominant, followed by S. aureus (6.7%), E. coli (3.9%) and S. pneumoniae (0.2%). Most isolates (94.4%) were identified from hospital-acquired cases. High prevalence of MDR and carbapenem resistance were identified in A. baumannii (96% and 95%), P. aeruginosa (56.7% and 57.1%), and K. pneumoniae (78% and 69.2%), respectively. Notably, resistance to ceftazidime-avibactam was detected in K. pneumoniae (34.3%), P. aeruginosa (29%), and E. coli (7.7%), while colistin resistance was found in K. pneumoniae (18.2%) and A. baumannii (2.8%). MRSA prevalence was 79.1%, though S. aureus remained susceptible to vancomycin, linezolid and ceftaroline. Most bla<sub>NDM</sub>-positive K. pneumoniae (62/71, 87.3%), E. coli (2/2, 100%), and P. aeruginosa (23/25, 85.2%) showed resistance to ceftazidime-avibactam. Whole genome sequencing revealed that the bla<sub>NDM</sub>-positive but ceftazidime-avibactam susceptible isolates (9 K. pneumoniae and 2 P. aeruginosa) carried truncated bla<sub>NDM</sub>. Overall, ceftazidime-avibactam was effective against K. pneumoniae, E. coli, and P. aeruginosa isolates carrying ESBL, ESBL and bla<sub>OXA-48</sub>, or ESBL and bla<sub>KPC</sub>. Alternatively, no detectable AMR genes were found in 35 ceftazidime-avibactam resistant P. aeruginosa isolates.</p><p><strong>Conclusions: </strong>Carbapenem-resistant Gram-negative pathogens were predominant among hospital-acquired LRTIs in Vietnam, with notable resistance to ceftazidime-avibactam and colistin. The lack of effective treatment for A. baumannii remains a major concern. We found a strong correlation between AMR phenotype and genotype among K. pneumoniae and E. coli, supporting gene-based therapy to guide ceftazidime-avibactam use. However, the presence of disrupted bla<sub>NDM</sub> underscores the need to re-evaluate commercial PCR assays for carbapenemase detection.</p>","PeriodicalId":8052,"journal":{"name":"Annals of Clinical Microbiology and Antimicrobials","volume":"24 1","pages":"50"},"PeriodicalIF":3.6000,"publicationDate":"2025-08-31","publicationTypes":"Journal Article","fieldsOfStudy":null,"isOpenAccess":false,"openAccessPdf":"https://www.ncbi.nlm.nih.gov/pmc/articles/PMC12400722/pdf/","citationCount":"0","resultStr":null,"platform":"Semanticscholar","paperid":null,"PeriodicalName":"Annals of Clinical Microbiology and Antimicrobials","FirstCategoryId":"3","ListUrlMain":"https://doi.org/10.1186/s12941-025-00818-3","RegionNum":2,"RegionCategory":"医学","ArticlePicture":[],"TitleCN":null,"AbstractTextCN":null,"PMCID":null,"EPubDate":"","PubModel":"","JCR":"Q1","JCRName":"MICROBIOLOGY","Score":null,"Total":0}
引用次数: 0

Abstract

Background: Lower respiratory tract infection (LRTI) remains the leading infectious cause of morbidity and mortality globally. Key bacterial pathogens include Acinetobacter baumannii, Pseudomonas aeruginosa, Klebsiella pneumoniae, Escherichia coli, Staphylococcus aureus and Streptococcus pneumoniae. This study examined the prevalence and antimicrobial resistance patterns of major bacterial pathogens from community- and hospital-acquired LRTIs across six major hospitals in Vietnam.

Methods: Between January 2022 and May 2023, 1000 bacterial isolates were collected through an isolate-based surveillance. Species identification and antimicrobial susceptibility testing were performed by VITEK-2/Phoenix M50, with MICs determined by E-test or broth microdilution. Multiplex PCRs were used to detect common AMR genes.

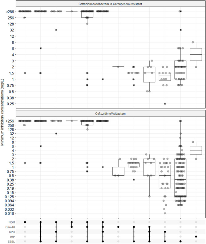
Results: A. baumannii (49.6%), P. aeruginosa (21%), K. pneumoniae (18.6%) were predominant, followed by S. aureus (6.7%), E. coli (3.9%) and S. pneumoniae (0.2%). Most isolates (94.4%) were identified from hospital-acquired cases. High prevalence of MDR and carbapenem resistance were identified in A. baumannii (96% and 95%), P. aeruginosa (56.7% and 57.1%), and K. pneumoniae (78% and 69.2%), respectively. Notably, resistance to ceftazidime-avibactam was detected in K. pneumoniae (34.3%), P. aeruginosa (29%), and E. coli (7.7%), while colistin resistance was found in K. pneumoniae (18.2%) and A. baumannii (2.8%). MRSA prevalence was 79.1%, though S. aureus remained susceptible to vancomycin, linezolid and ceftaroline. Most blaNDM-positive K. pneumoniae (62/71, 87.3%), E. coli (2/2, 100%), and P. aeruginosa (23/25, 85.2%) showed resistance to ceftazidime-avibactam. Whole genome sequencing revealed that the blaNDM-positive but ceftazidime-avibactam susceptible isolates (9 K. pneumoniae and 2 P. aeruginosa) carried truncated blaNDM. Overall, ceftazidime-avibactam was effective against K. pneumoniae, E. coli, and P. aeruginosa isolates carrying ESBL, ESBL and blaOXA-48, or ESBL and blaKPC. Alternatively, no detectable AMR genes were found in 35 ceftazidime-avibactam resistant P. aeruginosa isolates.

Conclusions: Carbapenem-resistant Gram-negative pathogens were predominant among hospital-acquired LRTIs in Vietnam, with notable resistance to ceftazidime-avibactam and colistin. The lack of effective treatment for A. baumannii remains a major concern. We found a strong correlation between AMR phenotype and genotype among K. pneumoniae and E. coli, supporting gene-based therapy to guide ceftazidime-avibactam use. However, the presence of disrupted blaNDM underscores the need to re-evaluate commercial PCR assays for carbapenemase detection.

Abstract Image

Abstract Image

越南下呼吸道感染的细菌病原学和抗菌药物敏感性。
背景:下呼吸道感染(LRTI)仍然是全球发病率和死亡率的主要感染性原因。主要病原菌包括鲍曼不动杆菌、铜绿假单胞菌、肺炎克雷伯菌、大肠杆菌、金黄色葡萄球菌和肺炎链球菌。本研究调查了越南六家主要医院社区和医院获得性下呼吸道感染的主要细菌病原体的流行情况和抗微生物药物耐药性模式。方法:于2022年1月至2023年5月,采用分离监测方法收集1000株细菌。采用VITEK-2/Phoenix M50进行菌种鉴定和药敏试验,mic采用E-test或肉汤微量稀释法测定。多重pcr检测常见AMR基因。结果:以鲍曼假单胞菌(49.6%)、铜绿假单胞菌(21%)、肺炎克雷伯菌(18.6%)为主,其次为金黄色葡萄球菌(6.7%)、大肠杆菌(3.9%)和肺炎链球菌(0.2%)。大多数分离株(94.4%)是从医院获得性病例中鉴定出来的。鲍曼假单胞菌(96%和95%)、铜绿假单胞菌(56.7%和57.1%)和肺炎克雷伯菌(78%和69.2%)的耐多药和碳青霉烯类耐药率较高。肺炎克雷伯菌(34.3%)、铜绿假单胞菌(29%)和大肠杆菌(7.7%)对头孢他啶-阿维巴坦耐药,肺炎克雷伯菌(18.2%)和鲍曼假单胞菌(2.8%)对粘菌素耐药。MRSA患病率为79.1%,但金黄色葡萄球菌对万古霉素、利奈唑胺和头孢他林仍敏感。大多数blandm阳性肺炎克雷伯菌(62/71,87.3%)、大肠杆菌(2/2,100%)和铜绿假单胞菌(23/25,85.2%)对头孢他啶-阿维巴坦耐药。全基因组测序结果显示,blaNDM阳性但头孢他啶-阿维巴坦敏感的分离株(9株肺炎克雷伯菌和2株铜绿假单胞菌)携带截断的blaNDM。总体而言,头孢他啶-阿维巴坦对携带ESBL、ESBL和blaOXA-48或ESBL和blaKPC的肺炎克雷伯菌、大肠杆菌和铜绿假单胞菌分离株有效。另外,在35株对头孢他啶-阿维巴坦耐药的铜绿假单胞菌中未发现可检测到的AMR基因。结论:越南医院获得性下呼吸道感染以耐碳青霉烯革兰氏阴性病原菌为主,对头孢他啶-阿维巴坦和粘菌素耐药显著。鲍曼不动杆菌缺乏有效治疗仍然是一个主要问题。我们发现肺炎克雷伯菌和大肠杆菌的AMR表型和基因型之间存在很强的相关性,支持基于基因的治疗指导头孢他啶-阿维巴坦的使用。然而,存在被破坏的blaNDM强调需要重新评估用于碳青霉烯酶检测的商业PCR分析。
本文章由计算机程序翻译,如有差异,请以英文原文为准。
求助全文
约1分钟内获得全文 求助全文
来源期刊
CiteScore
8.60
自引率
0.00%
发文量
49
审稿时长
>12 weeks
期刊介绍: Annals of Clinical Microbiology and Antimicrobials considers good quality, novel and international research of more than regional relevance. Research must include epidemiological and/or clinical information about isolates, and the journal covers the clinical microbiology of bacteria, viruses and fungi, as well as antimicrobial treatment of infectious diseases. Annals of Clinical Microbiology and Antimicrobials is an open access, peer-reviewed journal focusing on information concerning clinical microbiology, infectious diseases and antimicrobials. The management of infectious disease is dependent on correct diagnosis and appropriate antimicrobial treatment, and with this in mind, the journal aims to improve the communication between laboratory and clinical science in the field of clinical microbiology and antimicrobial treatment. Furthermore, the journal has no restrictions on space or access; this ensures that the journal can reach the widest possible audience.
×
引用
GB/T 7714-2015
复制
MLA
复制
APA
复制
导出至
BibTeX EndNote RefMan NoteFirst NoteExpress
×
提示
您的信息不完整,为了账户安全,请先补充。
现在去补充
×
提示
您因"违规操作"
具体请查看互助需知
我知道了
×
提示
确定
请完成安全验证×
copy
已复制链接
快去分享给好友吧!
我知道了
右上角分享
点击右上角分享
0
联系我们:info@booksci.cn Book学术提供免费学术资源搜索服务,方便国内外学者检索中英文文献。致力于提供最便捷和优质的服务体验。 Copyright © 2023 布克学术 All rights reserved.
京ICP备2023020795号-1
ghs 京公网安备 11010802042870号
Book学术文献互助
Book学术文献互助群
群 号:604180095
Book学术官方微信